Номер 6.72, страница 105, часть 2 - гдз по математике 5 класс учебник Виленкин, Жохов


Авторы: Виленкин Н. Я., Жохов В. И., Чесноков А. С., Александрова Л. А., Шварцбурд С. И.
Тип: Учебник
Издательство: Просвещение
Год издания: 2023 - 2025
Уровень обучения: базовый
Часть: 2
Цвет обложки: белый, красный, синий с пазлами
Допущено Министерством просвещения Российской Федерации
Популярные ГДЗ в 5 классе
43. Сложение и вычитание десятичных дробей. § 6. Десятичные дроби. Глава 2. Дробные числа. ч. 2 - номер 6.72, страница 105.
№6.72 (с. 105)
Условие. №6.72 (с. 105)
скриншот условия

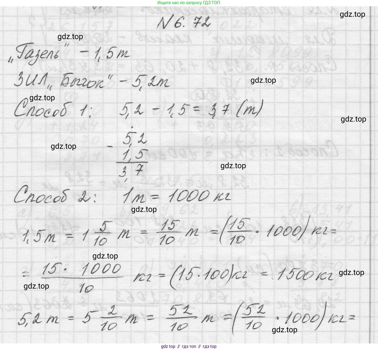
6.72 Грузоподъёмность автомобиля «Газель» 1,5 т, а автомобиля ЗИЛ «Бычок» — 5,2 т. На сколько грузоподъёмность автомобиля ЗИЛ «Бычок» больше грузоподъёмности «Газели»? Выполните вычисление двумя способами: с переходом к более мелким единицам массы и без перехода к ним.
Решение 1. №6.72 (с. 105)
Решение 2. №6.72 (с. 105)
Чтобы найти, на сколько грузоподъемность одного автомобиля больше другого, нужно из большей грузоподъемности вычесть меньшую. В задаче даны грузоподъемность автомобиля ЗИЛ «Бычок» — $5,2$ т и автомобиля «Газель» — $1,5$ т. Выполним вычисления двумя предложенными способами.
с переходом к более мелким единицам массы
Переведем грузоподъемность автомобилей из тонн в килограммы. Мы знаем, что в одной тонне содержится 1000 килограммов ($1 \text{ т} = 1000 \text{ кг}$).
1. Найдем грузоподъемность «Газели» в килограммах:
$1,5 \text{ т} = 1,5 \times 1000 \text{ кг} = 1500 \text{ кг}$
2. Найдем грузоподъемность ЗИЛ «Бычок» в килограммах:
$5,2 \text{ т} = 5,2 \times 1000 \text{ кг} = 5200 \text{ кг}$
3. Теперь найдем разницу в грузоподъемности в килограммах:
$5200 \text{ кг} - 1500 \text{ кг} = 3700 \text{ кг}$
4. Переведем полученный результат обратно в тонны:
$3700 \text{ кг} = 3700 / 1000 \text{ т} = 3,7 \text{ т}$
Ответ: грузоподъемность автомобиля ЗИЛ «Бычок» больше грузоподъемности «Газели» на $3,7$ т.
без перехода к ним
В этом способе мы будем вычитать десятичные дроби, выраженные в тоннах, напрямую, без перевода в другие единицы измерения.
1. Для нахождения разницы вычтем из грузоподъемности ЗИЛ «Бычок» грузоподъемность «Газели»:
$5,2 \text{ т} - 1,5 \text{ т}$
2. Выполним вычитание десятичных дробей:
$5,2 - 1,5 = 3,7$
Таким образом, разница составляет $3,7$ т.
Ответ: грузоподъемность автомобиля ЗИЛ «Бычок» больше грузоподъемности «Газели» на $3,7$ т.
Решение 3. №6.72 (с. 105)

Решение 4. №6.72 (с. 105)

Другие задания:
Помогло решение? Оставьте отзыв в комментариях ниже.
Мы подготовили для вас ответ c подробным объяснением домашего задания по математике за 5 класс, для упражнения номер 6.72 расположенного на странице 105 для 2-й части к учебнику 2023 года издания для учащихся школ и гимназий.
Теперь на нашем сайте ГДЗ.ТОП вы всегда легко и бесплатно найдёте условие с правильным ответом на вопрос «Как решить ДЗ» и «Как сделать» задание по математике к упражнению №6.72 (с. 105), авторов: Виленкин (Наум Яковлевич), Жохов (Владимир Иванович), Чесноков (Александр Семёнович), Александрова (Лилия Александровна), Шварцбурд (Семён Исаакович), 2-й части ФГОС (новый, красный) базовый уровень обучения учебного пособия издательства Просвещение.