Номер 1, страница 103, часть 2 - гдз по математике 5 класс учебник Виленкин, Жохов


Авторы: Виленкин Н. Я., Жохов В. И., Чесноков А. С., Александрова Л. А., Шварцбурд С. И.
Тип: Учебник
Издательство: Просвещение
Год издания: 2023 - 2025
Уровень обучения: базовый
Часть: 2
Цвет обложки: белый, красный, синий с пазлами
Допущено Министерством просвещения Российской Федерации
Популярные ГДЗ в 5 классе
Проверочная работа Nº2. Проверьте себя. § 6. Десятичные дроби. Глава 2. Дробные числа. ч. 2 - номер 1, страница 103.
№1 (с. 103)
Условие. №1 (с. 103)
скриншот условия

1 Сравните величины:
а) 0,24 кг и 240 г;
б) 5,73 м и 57,35 см;
в) 210,01 мм и 2,101 дм;
г) 2,35 га и 235 а;
д) 4 км² и 40,1 га;
е) 0,5 га и 500 а.
Решение 1. №1 (с. 103)
Решение 2. №1 (с. 103)
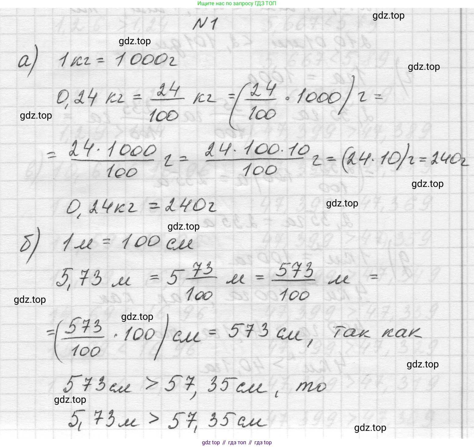
а) Для сравнения величин $0,24$ кг и $240$ г приведем их к одной единице измерения, например, к граммам (г). В одном килограмме (кг) содержится $1000$ граммов.
Переведем килограммы в граммы:
$0,24 \text{ кг} = 0,24 \times 1000 \text{ г} = 240 \text{ г}$.
Теперь сравним полученное значение с второй величиной:
$240 \text{ г} = 240 \text{ г}$.
Следовательно, данные величины равны.
Ответ: $0,24 \text{ кг} = 240 \text{ г}$.
б) Для сравнения величин $5,73$ м и $57,35$ см приведем их к одной единице измерения, например, к сантиметрам (см). В одном метре (м) содержится $100$ сантиметров.
Переведем метры в сантиметры:
$5,73 \text{ м} = 5,73 \times 100 \text{ см} = 573 \text{ см}$.
Теперь сравним полученное значение с второй величиной:
$573 \text{ см} > 57,35 \text{ см}$.
Следовательно, первая величина больше второй.
Ответ: $5,73 \text{ м} > 57,35 \text{ см}$.
в) Для сравнения величин $210,01$ мм и $2,101$ дм приведем их к одной единице измерения, например, к миллиметрам (мм). В одном дециметре (дм) содержится $100$ миллиметров ($1 \text{ дм} = 10 \text{ см} = 100 \text{ мм}$).
Переведем дециметры в миллиметры:
$2,101 \text{ дм} = 2,101 \times 100 \text{ мм} = 210,1 \text{ мм}$.
Теперь сравним полученное значение с первой величиной:
$210,01 \text{ мм} < 210,1 \text{ мм}$.
Следовательно, первая величина меньше второй.
Ответ: $210,01 \text{ мм} < 2,101 \text{ дм}$.
г) Для сравнения величин $2,35$ га и $235$ а приведем их к одной единице измерения, например, к арам (а). В одном гектаре (га) содержится $100$ аров.
Переведем гектары в ары:
$2,35 \text{ га} = 2,35 \times 100 \text{ а} = 235 \text{ а}$.
Теперь сравним полученное значение с второй величиной:
$235 \text{ а} = 235 \text{ а}$.
Следовательно, данные величины равны.
Ответ: $2,35 \text{ га} = 235 \text{ а}$.
д) Для сравнения величин $4$ км? и $40,1$ га приведем их к одной единице измерения, например, к гектарам (га). Один квадратный километр (км?) равен площади квадрата со стороной $1$ км ($1000$ м). Площадь такого квадрата составляет $1000 \text{ м} \times 1000 \text{ м} = 1 000 000 \text{ м}?$. Один гектар (га) равен $10 000 \text{ м}?$.
Таким образом, в одном квадратном километре содержится $1 000 000 / 10 000 = 100$ гектаров.
Переведем квадратные километры в гектары:
$4 \text{ км}? = 4 \times 100 \text{ га} = 400 \text{ га}$.
Теперь сравним полученное значение с второй величиной:
$400 \text{ га} > 40,1 \text{ га}$.
Следовательно, первая величина больше второй.
Ответ: $4 \text{ км}? > 40,1 \text{ га}$.
е) Для сравнения величин $0,5$ га и $500$ а приведем их к одной единице измерения, например, к арам (а). В одном гектаре (га) содержится $100$ аров.
Переведем гектары в ары:
$0,5 \text{ га} = 0,5 \times 100 \text{ а} = 50 \text{ а}$.
Теперь сравним полученное значение с второй величиной:
$50 \text{ а} < 500 \text{ а}$.
Следовательно, первая величина меньше второй.
Ответ: $0,5 \text{ га} < 500 \text{ а}$.
Решение 3. №1 (с. 103)

Решение 4. №1 (с. 103)

Другие задания:
Помогло решение? Оставьте отзыв в комментариях ниже.
Мы подготовили для вас ответ c подробным объяснением домашего задания по математике за 5 класс, для упражнения номер 1 расположенного на странице 103 для 2-й части к учебнику 2023 года издания для учащихся школ и гимназий.
Теперь на нашем сайте ГДЗ.ТОП вы всегда легко и бесплатно найдёте условие с правильным ответом на вопрос «Как решить ДЗ» и «Как сделать» задание по математике к упражнению №1 (с. 103), авторов: Виленкин (Наум Яковлевич), Жохов (Владимир Иванович), Чесноков (Александр Семёнович), Александрова (Лилия Александровна), Шварцбурд (Семён Исаакович), 2-й части ФГОС (новый, красный) базовый уровень обучения учебного пособия издательства Просвещение.