Номер 6.85, страница 106, часть 2 - гдз по математике 5 класс учебник Виленкин, Жохов


Авторы: Виленкин Н. Я., Жохов В. И., Чесноков А. С., Александрова Л. А., Шварцбурд С. И.
Тип: Учебник
Издательство: Просвещение
Год издания: 2023 - 2025
Уровень обучения: базовый
Часть: 2
Цвет обложки: белый, красный, синий с пазлами
Допущено Министерством просвещения Российской Федерации
Популярные ГДЗ в 5 классе
43. Сложение и вычитание десятичных дробей. § 6. Десятичные дроби. Глава 2. Дробные числа. ч. 2 - номер 6.85, страница 106.
№6.85 (с. 106)
Условие. №6.85 (с. 106)
скриншот условия

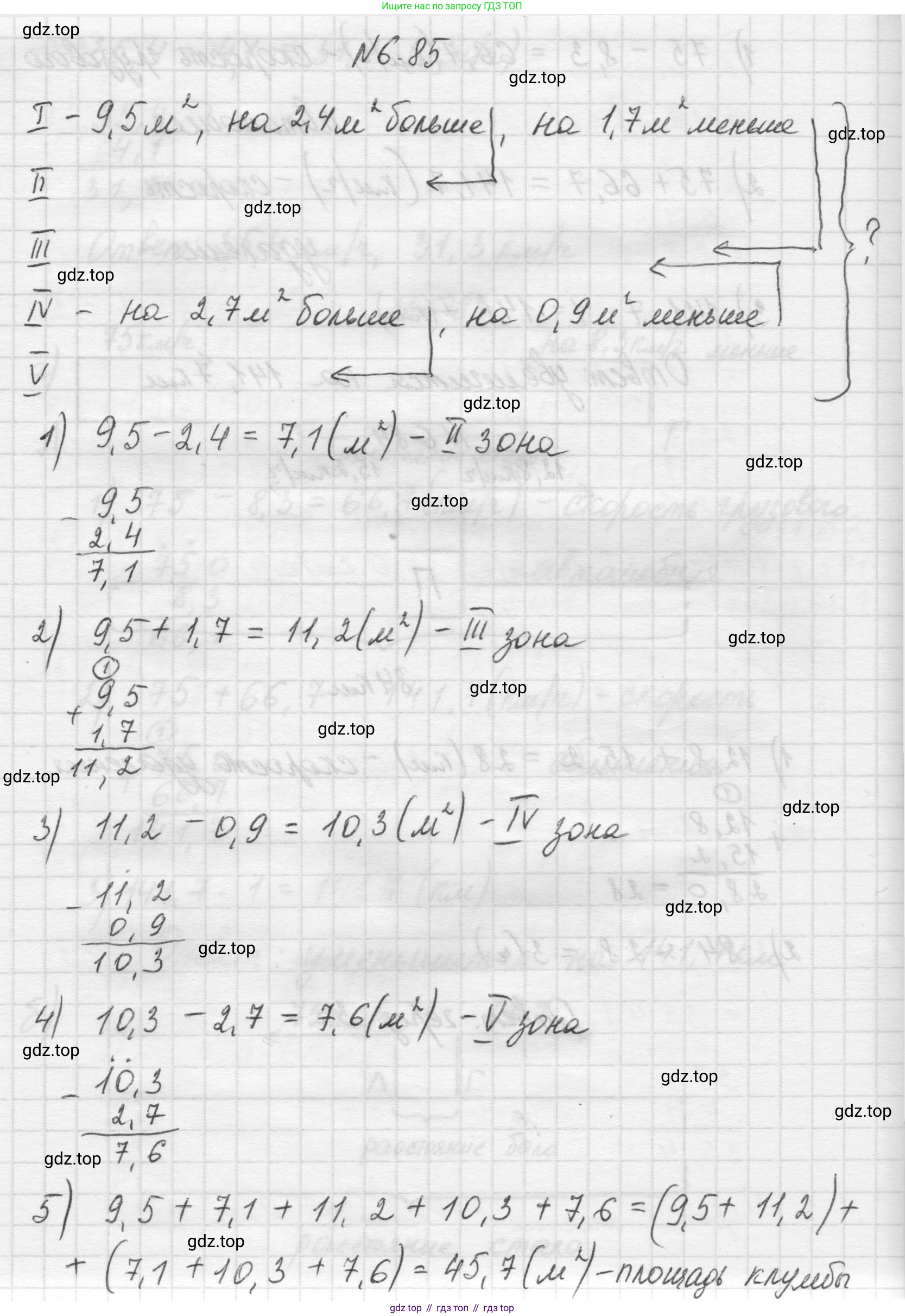
6.85 Клумбу разделили под посадку разных цветов на 5 зон. Четвёртая зона больше пятой на 2,7 м2, но меньше третьей на 0,9 м². Первая зона больше второй на 2,4 м², но меньше третьей на 1,7 м². Найдите площадь клумбы, если площадь первой зоны 9,5 м².
Решение 1. №6.85 (с. 106)
Решение 2. №6.85 (с. 106)
Для решения задачи обозначим площади пяти зон клумбы как $S_1, S_2, S_3, S_4$ и $S_5$.
Согласно условию, площадь первой зоны известна:
$S_1 = 9,5 \text{ м}^2$.
Теперь, используя данные из условия, найдем площади остальных зон шаг за шагом.
1. Нахождение площади третьей зоны ($S_3$)
В условии сказано, что первая зона меньше третьей на $1,7 \text{ м}^2$. Следовательно, площадь третьей зоны больше площади первой на эту же величину:
$S_3 = S_1 + 1,7 = 9,5 + 1,7 = 11,2 \text{ м}^2$.
2. Нахождение площади второй зоны ($S_2$)
Известно, что первая зона больше второй на $2,4 \text{ м}^2$. Это означает, что площадь второй зоны меньше площади первой на $2,4 \text{ м}^2$:
$S_2 = S_1 - 2,4 = 9,5 - 2,4 = 7,1 \text{ м}^2$.
3. Нахождение площади четвёртой зоны ($S_4$)
По условию, четвёртая зона меньше третьей на $0,9 \text{ м}^2$. Так как мы уже вычислили площадь третьей зоны ($S_3 = 11,2 \text{ м}^2$), можем найти площадь четвёртой:
$S_4 = S_3 - 0,9 = 11,2 - 0,9 = 10,3 \text{ м}^2$.
4. Нахождение площади пятой зоны ($S_5$)
Сказано, что четвёртая зона больше пятой на $2,7 \text{ м}^2$. Значит, площадь пятой зоны меньше площади четвёртой на эту величину. Используя найденное значение $S_4$:
$S_5 = S_4 - 2,7 = 10,3 - 2,7 = 7,6 \text{ м}^2$.
5. Нахождение общей площади клумбы
Общая площадь клумбы равна сумме площадей всех пяти зон:
$S_{\text{общая}} = S_1 + S_2 + S_3 + S_4 + S_5$
$S_{\text{общая}} = 9,5 + 7,1 + 11,2 + 10,3 + 7,6$
$S_{\text{общая}} = 16,6 + 11,2 + 10,3 + 7,6 = 27,8 + 10,3 + 7,6 = 38,1 + 7,6 = 45,7 \text{ м}^2$.
Ответ: $45,7 \text{ м}^2$.
Решение 3. №6.85 (с. 106)

Решение 4. №6.85 (с. 106)

Другие задания:
Помогло решение? Оставьте отзыв в комментариях ниже.
Мы подготовили для вас ответ c подробным объяснением домашего задания по математике за 5 класс, для упражнения номер 6.85 расположенного на странице 106 для 2-й части к учебнику 2023 года издания для учащихся школ и гимназий.
Теперь на нашем сайте ГДЗ.ТОП вы всегда легко и бесплатно найдёте условие с правильным ответом на вопрос «Как решить ДЗ» и «Как сделать» задание по математике к упражнению №6.85 (с. 106), авторов: Виленкин (Наум Яковлевич), Жохов (Владимир Иванович), Чесноков (Александр Семёнович), Александрова (Лилия Александровна), Шварцбурд (Семён Исаакович), 2-й части ФГОС (новый, красный) базовый уровень обучения учебного пособия издательства Просвещение.