Страница 182, часть 1 - гдз по алгебре 10-11 класс задачник часть 1, 2 Мордкович, Семенов

Авторы: Мордкович А. Г., Семенов П. В., Денищева Л. О., Корешкова Т. А., Мишустина Т. Н., Тульчинская Е. Е.
Тип: Задачник
Издательство: Мнемозина
Год издания: 2019 - 2025
Уровень обучения: базовый
Часть: 1
Цвет обложки:
ISBN: 978-5-346-04509-0 (общ.), 978-5-346-04510-6 (ч. 1), 978-5-346-04511-3 (ч. 2)
Рекомендовано Министерством образования и науки Российской Федерации
Математика: алгебра и начала математического анализа, геометрия
Популярные ГДЗ в 10 классе
ч. 1. Cтраница 182

№44.16 (с. 182)
Условие. №44.16 (с. 182)
скриншот условия

Решите уравнение:
44.16 a) $x^{\log_3 x} = 81;$
б) $x^{\log_{0.5} x} = \frac{1}{16};$
В) $x^{\log_2 x} = 16;$
Г) $x^{\log_{\frac{1}{3}} x} = \frac{1}{81}.$
Решение 1. №44.16 (с. 182)

Решение 2. №44.16 (с. 182)


Решение 5. №44.16 (с. 182)



Решение 6. №44.16 (с. 182)
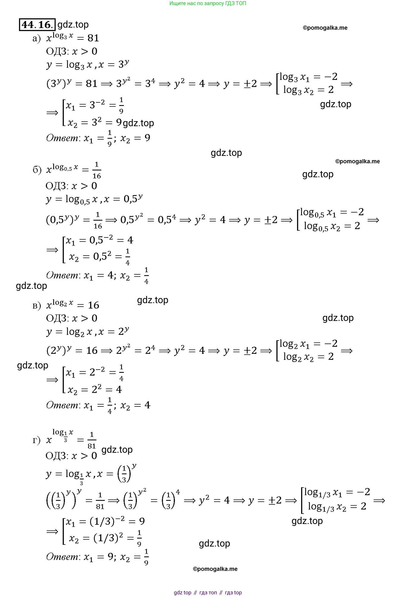
а) $x^{\log_3 x} = 81$
Область допустимых значений (ОДЗ) для данного уравнения: $x > 0$.
Прологарифмируем обе части уравнения по основанию 3:
$\log_3(x^{\log_3 x}) = \log_3(81)$
Воспользуемся свойством логарифма степени $\log_a(b^c) = c \cdot \log_a b$. Получим:
$(\log_3 x) \cdot (\log_3 x) = \log_3(3^4)$
$(\log_3 x)^2 = 4$
Введем замену $y = \log_3 x$. Уравнение примет вид:
$y^2 = 4$
Корни этого уравнения: $y_1 = 2$ и $y_2 = -2$.
Выполним обратную замену:
1) $\log_3 x = 2 \implies x = 3^2 = 9$.
2) $\log_3 x = -2 \implies x = 3^{-2} = \frac{1}{9}$.
Оба корня удовлетворяют ОДЗ ($x>0$).
Ответ: $9; \frac{1}{9}$.
б) $x^{\log_{0,5} x} = \frac{1}{16}$
ОДЗ: $x > 0$.
Прологарифмируем обе части уравнения по основанию 0,5:
$\log_{0,5}(x^{\log_{0,5} x}) = \log_{0,5}(\frac{1}{16})$
Используя свойство логарифма степени:
$(\log_{0,5} x) \cdot (\log_{0,5} x) = \log_{0,5}((\frac{1}{2})^4) = \log_{0,5}((0,5)^4)$
$(\log_{0,5} x)^2 = 4$
Пусть $y = \log_{0,5} x$. Тогда $y^2 = 4$, откуда $y_1 = 2$ и $y_2 = -2$.
Выполним обратную замену:
1) $\log_{0,5} x = 2 \implies x = (0,5)^2 = 0,25 = \frac{1}{4}$.
2) $\log_{0,5} x = -2 \implies x = (0,5)^{-2} = (\frac{1}{2})^{-2} = 2^2 = 4$.
Оба корня удовлетворяют ОДЗ ($x>0$).
Ответ: $4; \frac{1}{4}$.
в) $x^{\log_2 x} = 16$
ОДЗ: $x > 0$.
Прологарифмируем обе части уравнения по основанию 2:
$\log_2(x^{\log_2 x}) = \log_2(16)$
Используя свойство логарифма степени:
$(\log_2 x) \cdot (\log_2 x) = \log_2(2^4)$
$(\log_2 x)^2 = 4$
Пусть $y = \log_2 x$. Тогда $y^2 = 4$, откуда $y_1 = 2$ и $y_2 = -2$.
Выполним обратную замену:
1) $\log_2 x = 2 \implies x = 2^2 = 4$.
2) $\log_2 x = -2 \implies x = 2^{-2} = \frac{1}{4}$.
Оба корня удовлетворяют ОДЗ ($x>0$).
Ответ: $4; \frac{1}{4}$.
г) $x^{\log_{\frac{1}{3}} x} = \frac{1}{81}$
ОДЗ: $x > 0$.
Прологарифмируем обе части уравнения по основанию $\frac{1}{3}$:
$\log_{\frac{1}{3}}(x^{\log_{\frac{1}{3}} x}) = \log_{\frac{1}{3}}(\frac{1}{81})$
Используя свойство логарифма степени:
$(\log_{\frac{1}{3}} x) \cdot (\log_{\frac{1}{3}} x) = \log_{\frac{1}{3}}((\frac{1}{3})^4)$
$(\log_{\frac{1}{3}} x)^2 = 4$
Пусть $y = \log_{\frac{1}{3}} x$. Тогда $y^2 = 4$, откуда $y_1 = 2$ и $y_2 = -2$.
Выполним обратную замену:
1) $\log_{\frac{1}{3}} x = 2 \implies x = (\frac{1}{3})^2 = \frac{1}{9}$.
2) $\log_{\frac{1}{3}} x = -2 \implies x = (\frac{1}{3})^{-2} = 3^2 = 9$.
Оба корня удовлетворяют ОДЗ ($x>0$).
Ответ: $9; \frac{1}{9}$.
№44.19 (с. 182)
Условие. №44.19 (с. 182)
скриншот условия

44.19 a) $$\begin{cases} \log_5(x + y) = 1, \\ \log_6 x + \log_6 y = 1; \end{cases}$$
б) $$\begin{cases} \log_{0.5}(x + 2y) = \log_{0.5}(3x + y), \\ \log_7(x^2 - y) = \log_7 x. \end{cases}$$
Решение 1. №44.19 (с. 182)

Решение 2. №44.19 (с. 182)


Решение 5. №44.19 (с. 182)


Решение 6. №44.19 (с. 182)
а)
Дана система уравнений: $$ \begin{cases} \log_5(x + y) = 1, \\ \log_6 x + \log_6 y = 1; \end{cases} $$
Найдем область допустимых значений (ОДЗ). Аргументы логарифмов должны быть строго положительными: $$ \begin{cases} x + y > 0, \\ x > 0, \\ y > 0. \end{cases} $$ Из условий $x > 0$ и $y > 0$ следует, что $x + y > 0$. Таким образом, ОДЗ системы: $x > 0$ и $y > 0$.
Преобразуем каждое уравнение системы, используя определение и свойства логарифмов. Из первого уравнения, по определению логарифма ($ \log_a b = c \iff b = a^c $): $x + y = 5^1$, что дает $x + y = 5$.
Второе уравнение преобразуем, используя свойство суммы логарифмов $\log_a b + \log_a c = \log_a (bc)$: $\log_6 (xy) = 1$. По определению логарифма: $xy = 6^1$, что дает $xy = 6$.
В результате получаем равносильную систему алгебраических уравнений: $$ \begin{cases} x + y = 5, \\ xy = 6. \end{cases} $$
Данная система является обратной теоремой Виета для квадратного уравнения $t^2 - 5t + 6 = 0$. Корнями этого уравнения будут искомые значения $x$ и $y$. Найдем корни уравнения: $D = (-5)^2 - 4 \cdot 1 \cdot 6 = 25 - 24 = 1$. $t_1 = \frac{5 - \sqrt{1}}{2} = \frac{4}{2} = 2$. $t_2 = \frac{5 + \sqrt{1}}{2} = \frac{6}{2} = 3$.
Следовательно, решениями системы являются пары чисел $(2, 3)$ и $(3, 2)$.
Проверим, удовлетворяют ли найденные решения ОДЗ ($x > 0, y > 0$). Для пары $(2, 3)$: $x = 2 > 0$ и $y = 3 > 0$. Решение подходит. Для пары $(3, 2)$: $x = 3 > 0$ и $y = 2 > 0$. Решение также подходит.
Ответ: $(2, 3), (3, 2)$.
б)
Дана система уравнений: $$ \begin{cases} \log_{0,5}(x + 2y) = \log_{0,5}(3x + y), \\ \log_7(x^2 - y) = \log_7 x. \end{cases} $$
Найдем область допустимых значений (ОДЗ). Аргументы всех логарифмов должны быть строго положительными: $$ \begin{cases} x + 2y > 0, \\ 3x + y > 0, \\ x^2 - y > 0, \\ x > 0. \end{cases} $$
Так как в каждом уравнении основания логарифмов равны, мы можем приравнять их аргументы. Это преобразование является равносильным при учете ОДЗ. Из первого уравнения: $x + 2y = 3x + y$ $y = 2x$.
Из второго уравнения: $x^2 - y = x$.
Получаем систему алгебраических уравнений: $$ \begin{cases} y = 2x, \\ x^2 - y = x. \end{cases} $$
Решим эту систему методом подстановки. Подставим выражение для $y$ из первого уравнения во второе: $x^2 - (2x) = x$ $x^2 - 3x = 0$ $x(x - 3) = 0$.
Отсюда получаем два возможных значения для $x$: $x_1 = 0$ и $x_2 = 3$.
Проверим найденные значения на соответствие ОДЗ. 1. Если $x = 0$, это противоречит условию ОДЗ $x > 0$. Следовательно, $x=0$ не является решением. 2. Если $x = 3$, найдем соответствующее значение $y$ из уравнения $y = 2x$: $y = 2 \cdot 3 = 6$. Получили пару $(3, 6)$. Проверим ее по всем условиям ОДЗ:
- $x > 0 \implies 3 > 0$ (верно)
- $x + 2y > 0 \implies 3 + 2(6) = 15 > 0$ (верно)
- $3x + y > 0 \implies 3(3) + 6 = 15 > 0$ (верно)
- $x^2 - y > 0 \implies 3^2 - 6 = 9 - 6 = 3 > 0$ (верно)
Все условия ОДЗ выполнены, значит пара $(3, 6)$ является решением системы.
Ответ: $(3, 6)$.
№44.22 (с. 182)
Условие. №44.22 (с. 182)
скриншот условия

44.22 a) $\begin{cases} (\frac{1}{3})^{2x} \cdot (\frac{1}{3})^{-y} = \frac{1}{27}, \\ \log_2 2x - \log_2 y = 2; \end{cases}$
б) $\begin{cases} (\frac{1}{2})^{x} \cdot (\sqrt{2})^{y} = \log_9 3, \\ \log_4 y - \log_4 x = 1. \end{cases}$
Решение 1. №44.22 (с. 182)

Решение 2. №44.22 (с. 182)


Решение 5. №44.22 (с. 182)


Решение 6. №44.22 (с. 182)
Решим систему уравнений:
$$ \begin{cases} (\frac{1}{3})^{2x} \cdot (\frac{1}{3})^{-y} = \frac{1}{27} \\ \log_2 2x - \log_2 y = 2 \end{cases} $$
Найдем область допустимых значений (ОДЗ). Аргументы логарифмов должны быть положительными:
$2x > 0 \Rightarrow x > 0$
$y > 0$
Преобразуем первое уравнение системы. Используя свойство степеней $a^m \cdot a^n = a^{m+n}$, получим:
$(\frac{1}{3})^{2x - y} = \frac{1}{27}$
Так как $\frac{1}{27} = (\frac{1}{3})^3$, уравнение принимает вид:
$(\frac{1}{3})^{2x - y} = (\frac{1}{3})^3$
Приравнивая показатели степени, получаем:
$2x - y = 3$
Теперь преобразуем второе уравнение системы. Используя свойство логарифмов $\log_a b - \log_a c = \log_a(\frac{b}{c})$, получим:
$\log_2(\frac{2x}{y}) = 2$
По определению логарифма:
$\frac{2x}{y} = 2^2$
$\frac{2x}{y} = 4$
$2x = 4y$
$x = 2y$
Теперь у нас есть система двух линейных уравнений:
$$ \begin{cases} 2x - y = 3 \\ x = 2y \end{cases} $$
Подставим второе уравнение в первое:
$2(2y) - y = 3$
$4y - y = 3$
$3y = 3$
$y = 1$
Теперь найдем $x$, подставив значение $y$ в уравнение $x=2y$:
$x = 2 \cdot 1 = 2$
Проверим, удовлетворяет ли найденное решение $(2, 1)$ ОДЗ:
$x=2 > 0$ и $y=1 > 0$. Условия выполнены.
Ответ: $(2, 1)$
б)Решим систему уравнений:
$$ \begin{cases} (\frac{1}{2})^x \cdot (\sqrt{2})^y = \log_9 3 \\ \log_4 y - \log_4 x = 1 \end{cases} $$
Найдем область допустимых значений (ОДЗ). Аргументы логарифмов должны быть положительными:
$x > 0$
$y > 0$
Преобразуем первое уравнение системы. Сначала упростим правую часть:
$\log_9 3 = \log_{3^2} 3 = \frac{1}{2} \log_3 3 = \frac{1}{2}$
Теперь преобразуем левую часть уравнения, приведя все к основанию 2:
$(\frac{1}{2})^x = (2^{-1})^x = 2^{-x}$
$(\sqrt{2})^y = (2^{1/2})^y = 2^{y/2}$
Тогда первое уравнение принимает вид:
$2^{-x} \cdot 2^{y/2} = \frac{1}{2}$
Используя свойство степеней $a^m \cdot a^n = a^{m+n}$:
$2^{-x + \frac{y}{2}} = 2^{-1}$
Приравнивая показатели степени, получаем:
$-x + \frac{y}{2} = -1$
Умножим обе части на 2:
$-2x + y = -2$ или $y = 2x - 2$
Теперь преобразуем второе уравнение системы. Используя свойство логарифмов $\log_a b - \log_a c = \log_a(\frac{b}{c})$, получим:
$\log_4(\frac{y}{x}) = 1$
По определению логарифма:
$\frac{y}{x} = 4^1$
$\frac{y}{x} = 4$
$y = 4x$
Теперь у нас есть система двух линейных уравнений:
$$ \begin{cases} y = 2x - 2 \\ y = 4x \end{cases} $$
Приравняем правые части уравнений:
$4x = 2x - 2$
$2x = -2$
$x = -1$
Теперь найдем $y$, подставив значение $x$ в уравнение $y=4x$:
$y = 4 \cdot (-1) = -4$
Мы получили решение $(-1, -4)$. Однако это решение не удовлетворяет ОДЗ, так как требуется, чтобы $x > 0$ и $y > 0$.
Поскольку $x = -1 < 0$ и $y = -4 < 0$, данная пара чисел не является решением исходной системы.
Ответ: нет решений.
№44.17 (с. 182)
Условие. №44.17 (с. 182)
скриншот условия

44.17 a) $x^{1+\log_3 x} = 9;$
б) $x^{\log_{0.5} x-2} = 0.125;$
В) $x^{5+\log_2 x} = \frac{1}{16};$
Г) $x^{\log_{\frac{1}{3}} x-4} = 27.$
Решение 1. №44.17 (с. 182)

Решение 2. №44.17 (с. 182)



Решение 5. №44.17 (с. 182)




Решение 6. №44.17 (с. 182)
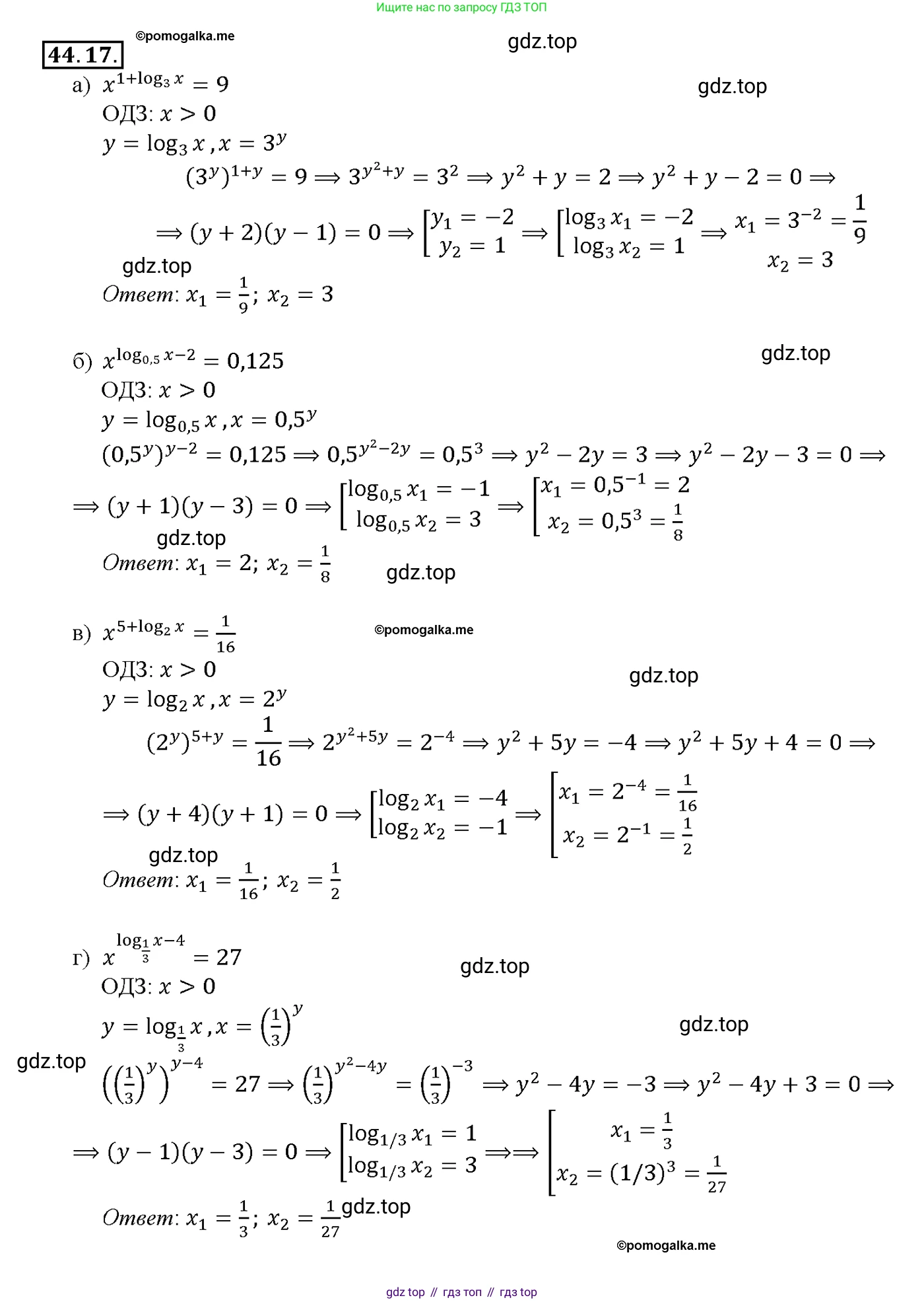
а) $x^{1+\log_3 x} = 9$
Данное уравнение является показательно-логарифмическим. Область допустимых значений (ОДЗ) для этого уравнения определяется условием $x > 0$, так как $x$ является основанием степени и аргументом логарифма.
Для решения прологарифмируем обе части уравнения по основанию 3, так как в показателе степени находится логарифм по основанию 3.
$\log_3(x^{1+\log_3 x}) = \log_3(9)$
Используем свойство логарифма степени $\log_a(b^p) = p \cdot \log_a(b)$:
$(1+\log_3 x) \cdot \log_3 x = \log_3(3^2)$
$(1+\log_3 x) \cdot \log_3 x = 2$
Введем замену переменной. Пусть $t = \log_3 x$. Тогда уравнение примет вид квадратного уравнения относительно $t$:
$(1+t)t = 2$
$t + t^2 = 2$
$t^2 + t - 2 = 0$
Решим это квадратное уравнение. Можно использовать теорему Виета: произведение корней равно -2, а их сумма равна -1. Корни: $t_1 = 1$ и $t_2 = -2$.
Теперь выполним обратную замену:
1. Если $t_1 = 1$, то $\log_3 x = 1$. Отсюда $x = 3^1 = 3$.
2. Если $t_2 = -2$, то $\log_3 x = -2$. Отсюда $x = 3^{-2} = \frac{1}{9}$.
Оба найденных значения $x=3$ и $x=\frac{1}{9}$ положительны, следовательно, они удовлетворяют ОДЗ.
Ответ: $3, \frac{1}{9}$.
б) $x^{\log_{0,5} x - 2} = 0,125$
ОДЗ: $x > 0$.
Преобразуем правую часть уравнения: $0,125 = \frac{125}{1000} = \frac{1}{8}$. Так как основание логарифма в показателе степени равно 0,5, представим $\frac{1}{8}$ как степень 0,5: $\frac{1}{8} = (\frac{1}{2})^3 = (0,5)^3$.
Уравнение принимает вид:
$x^{\log_{0,5} x - 2} = (0,5)^3$
Прологарифмируем обе части уравнения по основанию 0,5:
$\log_{0,5}(x^{\log_{0,5} x - 2}) = \log_{0,5}((0,5)^3)$
$(\log_{0,5} x - 2) \cdot \log_{0,5} x = 3$
Пусть $t = \log_{0,5} x$. Уравнение становится квадратным:
$(t-2)t = 3$
$t^2 - 2t - 3 = 0$
По теореме Виета, $t_1 = 3$ и $t_2 = -1$.
Выполняем обратную замену:
1. Если $t_1 = 3$, то $\log_{0,5} x = 3$. Отсюда $x = (0,5)^3 = (\frac{1}{2})^3 = \frac{1}{8}$.
2. Если $t_2 = -1$, то $\log_{0,5} x = -1$. Отсюда $x = (0,5)^{-1} = (\frac{1}{2})^{-1} = 2$.
Оба корня $x=\frac{1}{8}$ и $x=2$ удовлетворяют ОДЗ.
Ответ: $\frac{1}{8}, 2$.
в) $x^{5+\log_2 x} = \frac{1}{16}$
ОДЗ: $x > 0$.
Представим правую часть как степень с основанием 2: $\frac{1}{16} = \frac{1}{2^4} = 2^{-4}$.
$x^{5+\log_2 x} = 2^{-4}$
Прологарифмируем обе части по основанию 2:
$\log_2(x^{5+\log_2 x}) = \log_2(2^{-4})$
$(5+\log_2 x) \cdot \log_2 x = -4$
Пусть $t = \log_2 x$.
$(5+t)t = -4$
$t^2 + 5t + 4 = 0$
По теореме Виета, $t_1 = -1$ и $t_2 = -4$.
Обратная замена:
1. Если $t_1 = -1$, то $\log_2 x = -1$. Отсюда $x = 2^{-1} = \frac{1}{2}$.
2. Если $t_2 = -4$, то $\log_2 x = -4$. Отсюда $x = 2^{-4} = \frac{1}{16}$.
Оба корня $x=\frac{1}{2}$ и $x=\frac{1}{16}$ удовлетворяют ОДЗ.
Ответ: $\frac{1}{2}, \frac{1}{16}$.
г) $x^{\log_{1/3} x - 4} = 27$
ОДЗ: $x > 0$.
Представим правую часть как степень с основанием $\frac{1}{3}$: $27 = 3^3 = ((\frac{1}{3})^{-1})^3 = (\frac{1}{3})^{-3}$.
$x^{\log_{1/3} x - 4} = (\frac{1}{3})^{-3}$
Прологарифмируем обе части по основанию $\frac{1}{3}$:
$\log_{1/3}(x^{\log_{1/3} x - 4}) = \log_{1/3}((\frac{1}{3})^{-3})$
$(\log_{1/3} x - 4) \cdot \log_{1/3} x = -3$
Пусть $t = \log_{1/3} x$.
$(t-4)t = -3$
$t^2 - 4t + 3 = 0$
По теореме Виета, $t_1 = 1$ и $t_2 = 3$.
Обратная замена:
1. Если $t_1 = 1$, то $\log_{1/3} x = 1$. Отсюда $x = (\frac{1}{3})^1 = \frac{1}{3}$.
2. Если $t_2 = 3$, то $\log_{1/3} x = 3$. Отсюда $x = (\frac{1}{3})^3 = \frac{1}{27}$.
Оба корня $x=\frac{1}{3}$ и $x=\frac{1}{27}$ удовлетворяют ОДЗ.
Ответ: $\frac{1}{3}, \frac{1}{27}$.
№44.20 (с. 182)
Условие. №44.20 (с. 182)
скриншот условия

44.20 a) $\begin{cases} \log_9(x - y) = \frac{1}{2}, \\ \log_{64} x - \log_{64} y = \frac{1}{3} \end{cases}$
б) $\begin{cases} \log_{\frac{1}{3}}(3x - y) = \log_{\frac{1}{3}}(x + 4), \\ \log_9(x^2 + x - y) = \log_9 x^2 \end{cases}$
Решение 1. №44.20 (с. 182)

Решение 2. №44.20 (с. 182)


Решение 5. №44.20 (с. 182)


Решение 6. №44.20 (с. 182)
а)
Дана система уравнений:
$$ \begin{cases} \log_9(x - y) = \frac{1}{2} \\ \log_{64}x - \log_{64}y = \frac{1}{3} \end{cases} $$
1. Найдем область допустимых значений (ОДЗ). Аргументы логарифмов должны быть строго положительными:
$$ \begin{cases} x - y > 0 \\ x > 0 \\ y > 0 \end{cases} $$
Из первого неравенства следует, что $x > y$. Совмещая с остальными условиями, получаем ОДЗ: $x > y > 0$.
2. Преобразуем первое уравнение системы, используя определение логарифма ($\log_a b = c \Leftrightarrow a^c = b$):
$\log_9(x - y) = \frac{1}{2}$
$x - y = 9^{\frac{1}{2}}$
$x - y = \sqrt{9}$
$x - y = 3$
3. Преобразуем второе уравнение системы, используя свойство разности логарифмов ($\log_a b - \log_a c = \log_a \frac{b}{c}$):
$\log_{64}x - \log_{64}y = \frac{1}{3}$
$\log_{64}\left(\frac{x}{y}\right) = \frac{1}{3}$
По определению логарифма:
$\frac{x}{y} = 64^{\frac{1}{3}}$
$\frac{x}{y} = \sqrt[3]{64}$
$\frac{x}{y} = 4$
4. В результате преобразований мы получили систему линейных уравнений:
$$ \begin{cases} x - y = 3 \\ \frac{x}{y} = 4 \end{cases} $$
Из второго уравнения выразим $x$ через $y$: $x = 4y$.
Подставим это выражение в первое уравнение:
$4y - y = 3$
$3y = 3$
$y = 1$
Теперь найдем $x$:
$x = 4y = 4 \cdot 1 = 4$
5. Проверим, удовлетворяет ли найденное решение $(4; 1)$ области допустимых значений $x > y > 0$.
$4 > 1 > 0$. Условие выполняется, следовательно, решение корректно.
Ответ: $(4; 1)$.
б)
Дана система уравнений:
$$ \begin{cases} \log_{\frac{1}{3}}(3x - y) = \log_{\frac{1}{3}}(x + 4) \\ \log_9(x^2 + x - y) = \log_9 x^2 \end{cases} $$
1. Найдем область допустимых значений (ОДЗ). Аргументы всех логарифмов должны быть строго положительными:
$$ \begin{cases} 3x - y > 0 \\ x + 4 > 0 \\ x^2 + x - y > 0 \\ x^2 > 0 \end{cases} $$
Из второго неравенства получаем $x > -4$. Из четвертого неравенства следует, что $x \neq 0$.
2. Решим первое уравнение. Так как основания логарифмов одинаковы, мы можем приравнять их аргументы (потенцировать уравнение):
$3x - y = x + 4$
$2x - 4 = y$
3. Решим второе уравнение. Аналогично первому, приравняем аргументы:
$x^2 + x - y = x^2$
$x - y = 0$
$x = y$
4. Объединим полученные выражения в систему и решим ее:
$$ \begin{cases} y = 2x - 4 \\ y = x \end{cases} $$
Подставим $y=x$ в первое уравнение:
$x = 2x - 4$
$4 = 2x - x$
$x = 4$
Так как $y=x$, то $y = 4$.
5. Проверим, удовлетворяет ли найденное решение $(4; 4)$ всем условиям ОДЗ.
- $3x - y > 0 \Rightarrow 3(4) - 4 = 12 - 4 = 8 > 0$ (Верно)
- $x + 4 > 0 \Rightarrow 4 + 4 = 8 > 0$ (Верно)
- $x^2 + x - y > 0 \Rightarrow 4^2 + 4 - 4 = 16 > 0$ (Верно)
- $x^2 > 0 \Rightarrow 4^2 = 16 > 0$ (Верно)
Решение удовлетворяет всем условиям ОДЗ.
Ответ: $(4; 4)$.
№44.23 (с. 182)
Условие. №44.23 (с. 182)
скриншот условия

Решите уравнение:
44.23 a) $\log_9(3^x + 2x - 20) = x - x\log_9 3;$
б) $0,4^{\lg^2 x - 1} = 6,25^{-2 - \lg x^2}.$
Решение 2. №44.23 (с. 182)

Решение 5. №44.23 (с. 182)


Решение 6. №44.23 (с. 182)
а) $\log_9(3^x + 2x - 20) = x - x\log_9 3$
Область допустимых значений (ОДЗ) уравнения определяется условием положительности аргумента логарифма:
$3^x + 2x - 20 > 0$
Преобразуем правую часть уравнения. Вынесем $x$ за скобки и представим $1$ как логарифм по основанию 9:
$x - x\log_9 3 = x(1 - \log_9 3) = x(\log_9 9 - \log_9 3) = x\log_9\frac{9}{3} = x\log_9 3$
Используя свойство логарифма $k \log_a b = \log_a b^k$, получаем:
$x\log_9 3 = \log_9 3^x$
Теперь исходное уравнение принимает вид:
$\log_9(3^x + 2x - 20) = \log_9 3^x$
Так как основания логарифмов одинаковы, приравниваем их аргументы:
$3^x + 2x - 20 = 3^x$
Вычитаем $3^x$ из обеих частей:
$2x - 20 = 0$
$2x = 20$
$x = 10$
Проверим, удовлетворяет ли найденный корень ОДЗ. Подставим $x=10$ в неравенство:
$3^{10} + 2 \cdot 10 - 20 > 0$
$3^{10} > 0$
Это неравенство верно, так как показательная функция с положительным основанием всегда положительна. Значит, $x=10$ является решением.
Ответ: $10$
б) $0.4^{\lg^2 x - 1} = 6.25^{-2 - \lg x^2}$
Найдем ОДЗ. Аргументы десятичных логарифмов должны быть положительными:
$x > 0$ и $x^2 > 0$. Второе условие означает $x \neq 0$. Объединяя, получаем ОДЗ: $x > 0$.
Преобразуем основания степеней к одному числу. Заметим, что $0.4 = \frac{4}{10} = \frac{2}{5}$ и $6.25 = \frac{625}{100} = \frac{25}{4} = (\frac{5}{2})^2$.
Поскольку $\frac{2}{5} = (\frac{5}{2})^{-1}$, приведем оба основания к $\frac{5}{2}$.
Левая часть:
$0.4^{\lg^2 x - 1} = ((\frac{5}{2})^{-1})^{\lg^2 x - 1} = (\frac{5}{2})^{-(\lg^2 x - 1)} = (\frac{5}{2})^{1 - \lg^2 x}$
Правая часть:
$6.25^{-2 - \lg x^2} = ((\frac{5}{2})^2)^{-2 - \lg x^2} = (\frac{5}{2})^{2(-2 - \lg x^2)} = (\frac{5}{2})^{-4 - 2\lg x^2}$
Теперь уравнение имеет вид:
$(\frac{5}{2})^{1 - \lg^2 x} = (\frac{5}{2})^{-4 - 2\lg x^2}$
Так как основания степеней равны, приравниваем показатели:
$1 - \lg^2 x = -4 - 2\lg x^2$
Используем свойство логарифма $\lg x^2 = 2\lg x$ (это справедливо, так как по ОДЗ $x > 0$):
$1 - \lg^2 x = -4 - 2(2\lg x)$
$1 - \lg^2 x = -4 - 4\lg x$
Для решения этого уравнения введем замену. Пусть $t = \lg x$. Тогда $\lg^2 x = t^2$.
$1 - t^2 = -4 - 4t$
Перенесем все члены в правую сторону, чтобы получить стандартное квадратное уравнение:
$t^2 - 4t - 5 = 0$
Решим это уравнение по теореме Виета. Сумма корней равна $4$, а произведение равно $-5$. Корни:
$t_1 = 5$
$t_2 = -1$
Теперь выполним обратную замену.
1) Если $t = 5$, то $\lg x = 5$. Отсюда $x = 10^5 = 100000$.
2) Если $t = -1$, то $\lg x = -1$. Отсюда $x = 10^{-1} = 0.1$.
Оба найденных корня, $100000$ и $0.1$, положительны, следовательно, они удовлетворяют ОДЗ.
Ответ: $0.1; 100000$
№44.18 (с. 182)
Условие. №44.18 (с. 182)
скриншот условия

Решите систему уравнений:
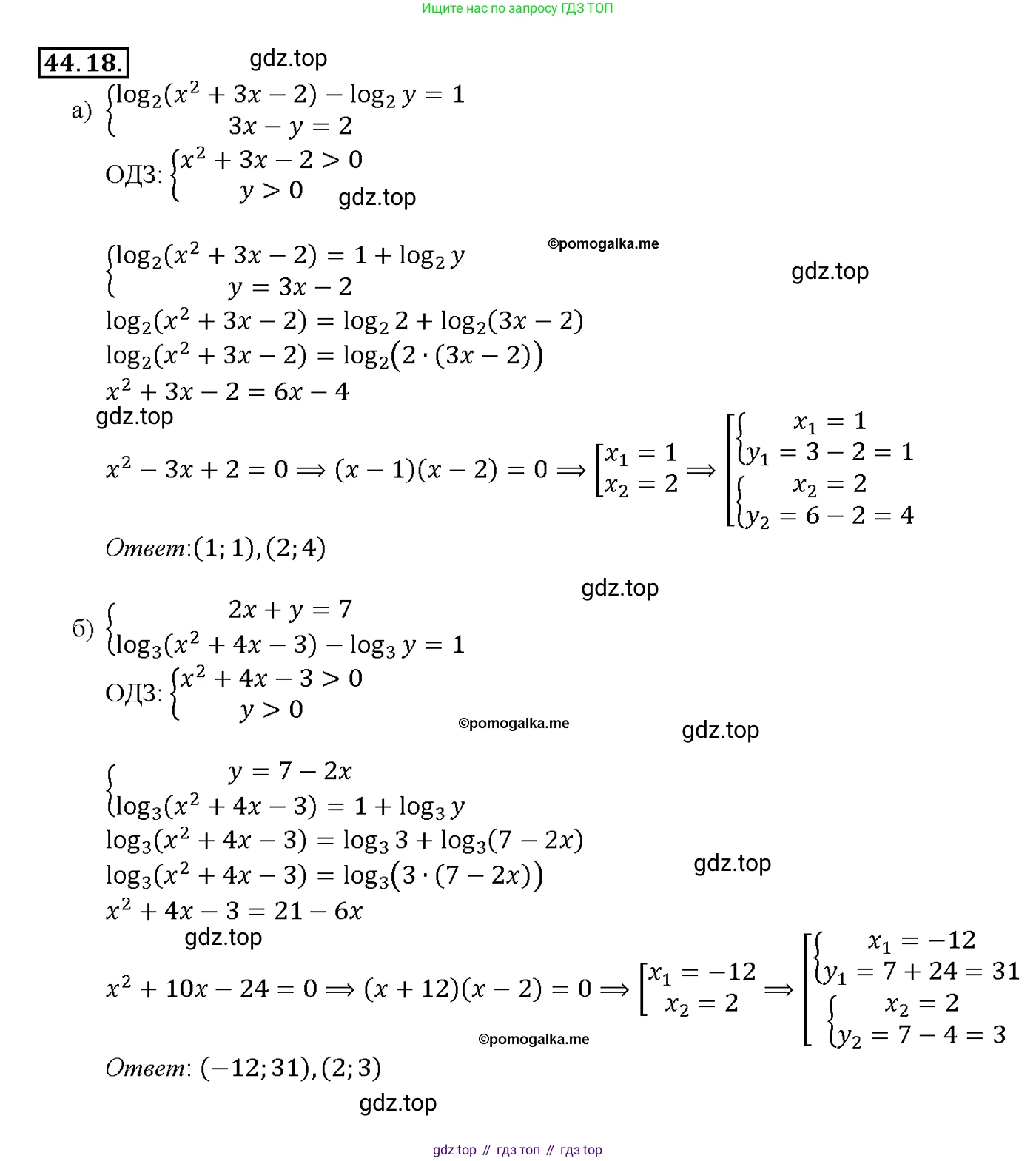
44.18 a) $\begin{cases} \log_2 (x^2 + 3x - 2) - \log_2 y = 1, \\ 3x - y = 2; \end{cases}$
б) $\begin{cases} 2x + y = 7, \\ \log_3 (x^2 + 4x - 3) - \log_3 y = 1. \end{cases}$
Решение 1. №44.18 (с. 182)

Решение 2. №44.18 (с. 182)


Решение 5. №44.18 (с. 182)


Решение 6. №44.18 (с. 182)
а)
Дана система уравнений:
$$ \begin{cases} \log_2(x^2 + 3x - 2) - \log_2 y = 1, \\ 3x - y = 2; \end{cases} $$
Сначала определим область допустимых значений (ОДЗ). Аргументы логарифмов должны быть строго положительны:
$$ \begin{cases} x^2 + 3x - 2 > 0, \\ y > 0. \end{cases} $$
Из второго уравнения системы выразим $y$:
$3x - y = 2 \implies y = 3x - 2$.
Подставим это выражение в первое уравнение системы:
$\log_2(x^2 + 3x - 2) - \log_2(3x - 2) = 1$.
Воспользуемся свойством разности логарифмов $\log_a b - \log_a c = \log_a (b/c)$:
$\log_2 \frac{x^2 + 3x - 2}{3x - 2} = 1$.
По определению логарифма:
$\frac{x^2 + 3x - 2}{3x - 2} = 2^1 = 2$.
Решим полученное уравнение:
$x^2 + 3x - 2 = 2(3x - 2)$
$x^2 + 3x - 2 = 6x - 4$
$x^2 - 3x + 2 = 0$.
Найдем корни этого квадратного уравнения. По теореме Виета, сумма корней равна 3, а произведение равно 2. Следовательно, корни:
$x_1 = 1$, $x_2 = 2$.
Теперь необходимо проверить, удовлетворяют ли найденные корни ОДЗ. Для этого найдем соответствующие значения $y$ и проверим все условия.
1. Для $x_1 = 1$:
$y_1 = 3x_1 - 2 = 3(1) - 2 = 1$.
Проверяем условия ОДЗ для пары $(1, 1)$:
$y_1 = 1 > 0$ (верно).
$x_1^2 + 3x_1 - 2 = 1^2 + 3(1) - 2 = 1+3-2 = 2 > 0$ (верно).
Следовательно, пара $(1, 1)$ является решением.
2. Для $x_2 = 2$:
$y_2 = 3x_2 - 2 = 3(2) - 2 = 4$.
Проверяем условия ОДЗ для пары $(2, 4)$:
$y_2 = 4 > 0$ (верно).
$x_2^2 + 3x_2 - 2 = 2^2 + 3(2) - 2 = 4+6-2 = 8 > 0$ (верно).
Следовательно, пара $(2, 4)$ также является решением.
Ответ: $(1, 1)$, $(2, 4)$.
б)
Дана система уравнений:
$$ \begin{cases} 2x + y = 7, \\ \log_3(x^2 + 4x - 3) - \log_3 y = 1. \end{cases} $$
Определим область допустимых значений (ОДЗ):
$$ \begin{cases} x^2 + 4x - 3 > 0, \\ y > 0. \end{cases} $$
Из первого уравнения системы выразим $y$:
$2x + y = 7 \implies y = 7 - 2x$.
Подставим это выражение во второе уравнение системы:
$\log_3(x^2 + 4x - 3) - \log_3(7 - 2x) = 1$.
Используем свойство разности логарифмов:
$\log_3 \frac{x^2 + 4x - 3}{7 - 2x} = 1$.
По определению логарифма:
$\frac{x^2 + 4x - 3}{7 - 2x} = 3^1 = 3$.
Решим полученное уравнение:
$x^2 + 4x - 3 = 3(7 - 2x)$
$x^2 + 4x - 3 = 21 - 6x$
$x^2 + 10x - 24 = 0$.
Найдем корни этого квадратного уравнения, используя формулу для корней:
$D = b^2 - 4ac = 10^2 - 4(1)(-24) = 100 + 96 = 196 = 14^2$.
$x = \frac{-b \pm \sqrt{D}}{2a} = \frac{-10 \pm 14}{2}$.
$x_1 = \frac{-10 + 14}{2} = \frac{4}{2} = 2$.
$x_2 = \frac{-10 - 14}{2} = \frac{-24}{2} = -12$.
Проверим найденные корни на соответствие ОДЗ. Найдем соответствующие значения $y$:
1. Для $x_1 = 2$:
$y_1 = 7 - 2x_1 = 7 - 2(2) = 3$.
Проверяем условия ОДЗ для пары $(2, 3)$:
$y_1 = 3 > 0$ (верно).
$x_1^2 + 4x_1 - 3 = 2^2 + 4(2) - 3 = 4+8-3 = 9 > 0$ (верно).
Следовательно, пара $(2, 3)$ является решением.
2. Для $x_2 = -12$:
$y_2 = 7 - 2x_2 = 7 - 2(-12) = 7 + 24 = 31$.
Проверяем условия ОДЗ для пары $(-12, 31)$:
$y_2 = 31 > 0$ (верно).
$x_2^2 + 4x_2 - 3 = (-12)^2 + 4(-12) - 3 = 144 - 48 - 3 = 93 > 0$ (верно).
Следовательно, пара $(-12, 31)$ также является решением.
Ответ: $(2, 3)$, $(-12, 31)$.
№44.21 (с. 182)
Условие. №44.21 (с. 182)
скриншот условия

44.21 a) $\begin{cases} 2^x \cdot 2^y = 16, \\ \log_3 x + \log_3 y = 1; \end{cases}$
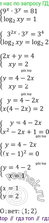
б) $\begin{cases} 9^x \cdot 3^y = 81, \\ \log_2 x + \log_2 y = 1. \end{cases}$
Решение 1. №44.21 (с. 182)

Решение 2. №44.21 (с. 182)


Решение 5. №44.21 (с. 182)


Решение 6. №44.21 (с. 182)
а)
Рассмотрим систему уравнений:
$ \begin{cases} 2^x \cdot 2^y = 16, \\ \log_3 x + \log_3 y = 1. \end{cases} $
Преобразуем первое уравнение, используя свойство степеней $a^m \cdot a^n = a^{m+n}$:
$2^{x+y} = 16$
Так как $16 = 2^4$, получаем:
$2^{x+y} = 2^4$
$x+y = 4$
Теперь преобразуем второе уравнение. Область допустимых значений (ОДЗ) для логарифмов: $x > 0$ и $y > 0$.
Используем свойство логарифмов $\log_a b + \log_a c = \log_a(bc)$:
$\log_3(xy) = 1$
По определению логарифма:
$xy = 3^1$
$xy = 3$
Теперь у нас есть система из двух более простых уравнений:
$ \begin{cases} x+y = 4, \\ xy = 3. \end{cases} $
Выразим $y$ из первого уравнения: $y = 4 - x$.
Подставим это выражение во второе уравнение:
$x(4-x) = 3$
$4x - x^2 = 3$
$x^2 - 4x + 3 = 0$
Это квадратное уравнение. Решим его. По теореме Виета или через дискриминант находим корни:
$x_1 = 1$, $x_2 = 3$.
Найдем соответствующие значения $y$:
Если $x_1 = 1$, то $y_1 = 4 - 1 = 3$.
Если $x_2 = 3$, то $y_2 = 4 - 3 = 1$.
Оба решения $(1, 3)$ и $(3, 1)$ удовлетворяют ОДЗ ($x > 0, y > 0$).
Ответ: $(1, 3), (3, 1)$.
б)
Рассмотрим систему уравнений:
$ \begin{cases} 9^x \cdot 3^y = 81, \\ \log_2 x + \log_2 y = 1. \end{cases} $
Преобразуем первое уравнение, приведя все степени к основанию 3:
$(3^2)^x \cdot 3^y = 3^4$
$3^{2x} \cdot 3^y = 3^4$
Используя свойство степеней $a^m \cdot a^n = a^{m+n}$:
$3^{2x+y} = 3^4$
$2x+y = 4$
Теперь преобразуем второе уравнение. ОДЗ: $x > 0$ и $y > 0$.
Используем свойство логарифмов $\log_a b + \log_a c = \log_a(bc)$:
$\log_2(xy) = 1$
По определению логарифма:
$xy = 2^1$
$xy = 2$
Получили систему:
$ \begin{cases} 2x+y = 4, \\ xy = 2. \end{cases} $
Выразим $y$ из первого уравнения: $y = 4 - 2x$.
Подставим это выражение во второе уравнение:
$x(4 - 2x) = 2$
$4x - 2x^2 = 2$
Разделим обе части на 2 и перенесем все в одну сторону:
$2x - x^2 = 1$
$x^2 - 2x + 1 = 0$
Свернем левую часть по формуле квадрата разности:
$(x-1)^2 = 0$
Отсюда $x = 1$.
Найдем соответствующее значение $y$:
$y = 4 - 2x = 4 - 2(1) = 2$.
Решение $(1, 2)$ удовлетворяет ОДЗ ($x > 0, y > 0$).
Ответ: $(1, 2)$.
Помогло решение? Оставьте отзыв в комментариях ниже.