Номер 4, страница 331 - гдз по химии 10 класс учебник Еремин, Кузьменко

Авторы: Еремин В. В., Кузьменко Н. Е., Теренин В. И., Дроздов А. А., Лунин В. В.
Тип: Учебник
Издательство: Просвещение
Год издания: 2023 - 2025
Уровень обучения: углублённый
Цвет обложки: белый, зелёный с радугой
Допущено Министерством просвещения Российской Федерации
Популярные ГДЗ в 10 классе
Задания для повторения. Параграф 57. Шестичленные гетероциклы. Глава 5. Азот- и серосодержащие органические соединения - номер 4, страница 331.
№4 (с. 331)
Условие. №4 (с. 331)
скриншот условия

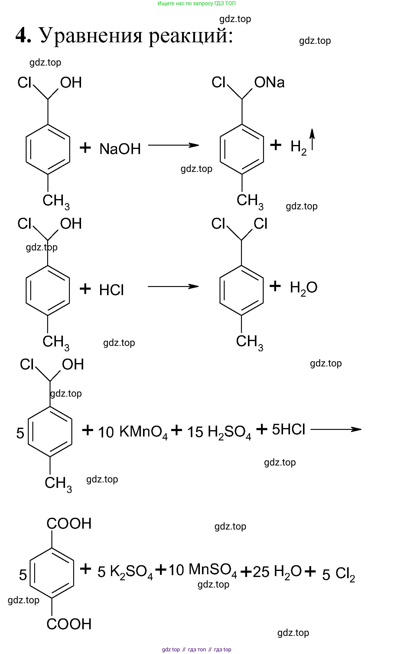
4. Некоторое вещество X состава $C_8H_9OCl$ реагирует как с соляной кислотой, так и с водным раствором гидроксида натрия. X обесцвечивает горячий подкисленный раствор перманганата калия, превращаясь в терефталевую кислоту. Установите строение X и напишите уравнения описанных реакций.
Решение. №4 (с. 331)

Решение 2. №4 (с. 331)
Решение
1. Проанализируем условия задачи для установления строения вещества X с формулой $C_8H_9OCl$.
2. Продукт окисления вещества X горячим подкисленным раствором $KMnO_4$ — терефталевая кислота. Терефталевая (бензол-1,4-дикарбоновая) кислота имеет формулу $p-HOOC-C_6H_4-COOH$. Это указывает на то, что вещество X содержит бензольное кольцо, замещенное в положениях 1 и 4 (пара-положение). При окислении перманганатом калия алкильные или некоторые другие функциональные группы, связанные с бензольным кольцом, превращаются в карбоксильные группы ($-COOH$).
3. Если отнять от брутто-формулы вещества X ($C_8H_9OCl$) атомы, входящие в пара-замещенное бензольное кольцо ($C_6H_4$), то на два заместителя (R₁ и R₂) останутся атомы: $C_2H_5OCl$. Оба заместителя должны быть окисляемыми до карбоксильной группы, следовательно, каждый из них должен содержать хотя бы один атом углерода, связанный с кольцом.
4. Наиболее вероятное распределение атомов $C_2H_5OCl$ между двумя заместителями — это спиртовая группа $-CH_2OH$ и хлорметильная группа $-CH_2Cl$. В этом случае структура вещества X будет (4-(хлорметил)фенил)метанол.
Структурная формула вещества X: $p-HOCH_2-C_6H_4-CH_2Cl$.
Проверим соответствие этой структуры всем условиям задачи:
- Брутто-формула: $C_6H_4$ (кольцо) + $CH_2OH$ (один заместитель) + $CH_2Cl$ (второй заместитель) = $C_{6+1+1}H_{4+3+2}O_1Cl_1 = C_8H_9OCl$. Формула совпадает.
- Реакция с $HCl$: бензиловый спирт (группа $-CH_2OH$) может реагировать с концентрированной соляной кислотой с замещением гидроксильной группы на хлор.
- Реакция с $NaOH$: бензилхлорид (группа $-CH_2Cl$) в водном растворе щелочи подвергается нуклеофильному замещению (гидролизу) с образованием спиртовой группы.
- Окисление $KMnO_4$: обе группы, $-CH_2OH$ и $-CH_2Cl$, находясь у бензольного кольца, окисляются до карбоксильных групп, образуя терефталевую кислоту.
Таким образом, предложенная структура полностью удовлетворяет всем условиям задачи.
Уравнения описанных реакций:
Реакция с соляной кислотой
Происходит замещение гидроксильной группы в бензиловом спирте на атом хлора:
$p-HOCH_2-C_6H_4-CH_2Cl + HCl \rightarrow p-ClCH_2-C_6H_4-CH_2Cl + H_2O$
Реакция с водным раствором гидроксида натрия
Происходит гидролиз хлорметильной группы до гидроксиметильной группы (реакция нуклеофильного замещения):
$p-HOCH_2-C_6H_4-CH_2Cl + NaOH \xrightarrow{t^\circ} p-HOCH_2-C_6H_4-CH_2OH + NaCl$
Реакция с горячим подкисленным раствором перманганата калия
Происходит окисление обеих боковых цепей до карбоксильных групп:
$5 p-HOCH_2-C_6H_4-CH_2Cl + 8 KMnO_4 + 12 H_2SO_4 \xrightarrow{t^\circ} 5 p-HOOC-C_6H_4-COOH + 8 MnSO_4 + 4 K_2SO_4 + 5 HCl + 17 H_2O$
Ответ:
Строение вещества X — (4-(хлорметил)фенил)метанол, формула $p-HOCH_2-C_6H_4-CH_2Cl$.
Уравнения реакций:
1. $p-HOCH_2-C_6H_4-CH_2Cl + HCl \rightarrow p-ClCH_2-C_6H_4-CH_2Cl + H_2O$
2. $p-HOCH_2-C_6H_4-CH_2Cl + NaOH \xrightarrow{t^\circ} p-HOCH_2-C_6H_4-CH_2OH + NaCl$
3. $5 p-HOCH_2-C_6H_4-CH_2Cl + 8 KMnO_4 + 12 H_2SO_4 \xrightarrow{t^\circ} 5 p-HOOC-C_6H_4-COOH + 8 MnSO_4 + 4 K_2SO_4 + 5 HCl + 17 H_2O$
Другие задания:
Помогло решение? Оставьте отзыв в комментариях ниже.
Присоединяйтесь к Телеграм-группе @top_gdz
ПрисоединитьсяМы подготовили для вас ответ c подробным объяснением домашего задания по химии за 10 класс, для упражнения номер 4 расположенного на странице 331 к учебнику 2023 года издания для учащихся школ и гимназий.
Теперь на нашем сайте ГДЗ.ТОП вы всегда легко и бесплатно найдёте условие с правильным ответом на вопрос «Как решить ДЗ» и «Как сделать» задание по химии к упражнению №4 (с. 331), авторов: Еремин (Вадим Владимирович), Кузьменко (Николай Егорович), Теренин (Владимир Ильич), Дроздов (Андрей Анатольевич), Лунин (Валерий Васильевич), ФГОС (старый) углублённый уровень обучения учебного пособия издательства Просвещение.