Номер 2.167, страница 65, часть 1 - гдз по математике 5 класс учебник Виленкин, Жохов

Авторы: Виленкин Н. Я., Жохов В. И., Чесноков А. С., Александрова Л. А., Шварцбурд С. И.
Тип: Учебник
Издательство: Просвещение
Год издания: 2023 - 2025
Уровень обучения: базовый
Часть: 1
Цвет обложки: белый, красный, синий с пазлами
Допущено Министерством просвещения Российской Федерации
Популярные ГДЗ в 5 классе
10. Числовые и буквенные выражения. § 2. Сложение и вычитание натуральных чисел. Глава 1. Натуральные числа. ч. 1 - номер 2.167, страница 65.
№2.167 (с. 65)
Условие. №2.167 (с. 65)
скриншот условия

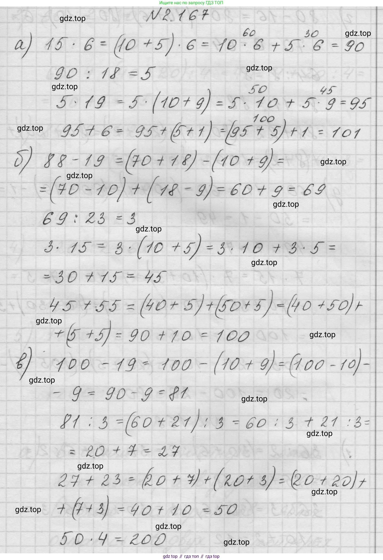
2.167 Вычислите.

Решение 1. №2.167 (с. 65)
90 : 18 = 5;
5 · 19 = 5 · (10 + 9) =
95 + 6 = 95 + (5 + 1) =
69 : 23 = 3;
3 · 15 = 3 · (10 + 5) = 3 · 10 + 3 · 5 = 30 + 15 = 45;
45 + 55 = (40 + 5) + (50 + 5) = (40 + 50) + (5 + 5) = 90 + 10 = 100.
81 : 3 = (60 + 21) : 3 = 60 : 3 + 21 : 3 = 20 + 7 = 27;
27 + 23 = (20 + 7) + (20 + 3) = (20 + 20) + (7 + 3) = 40 + 10 = 50;
50 · 4 = 200.
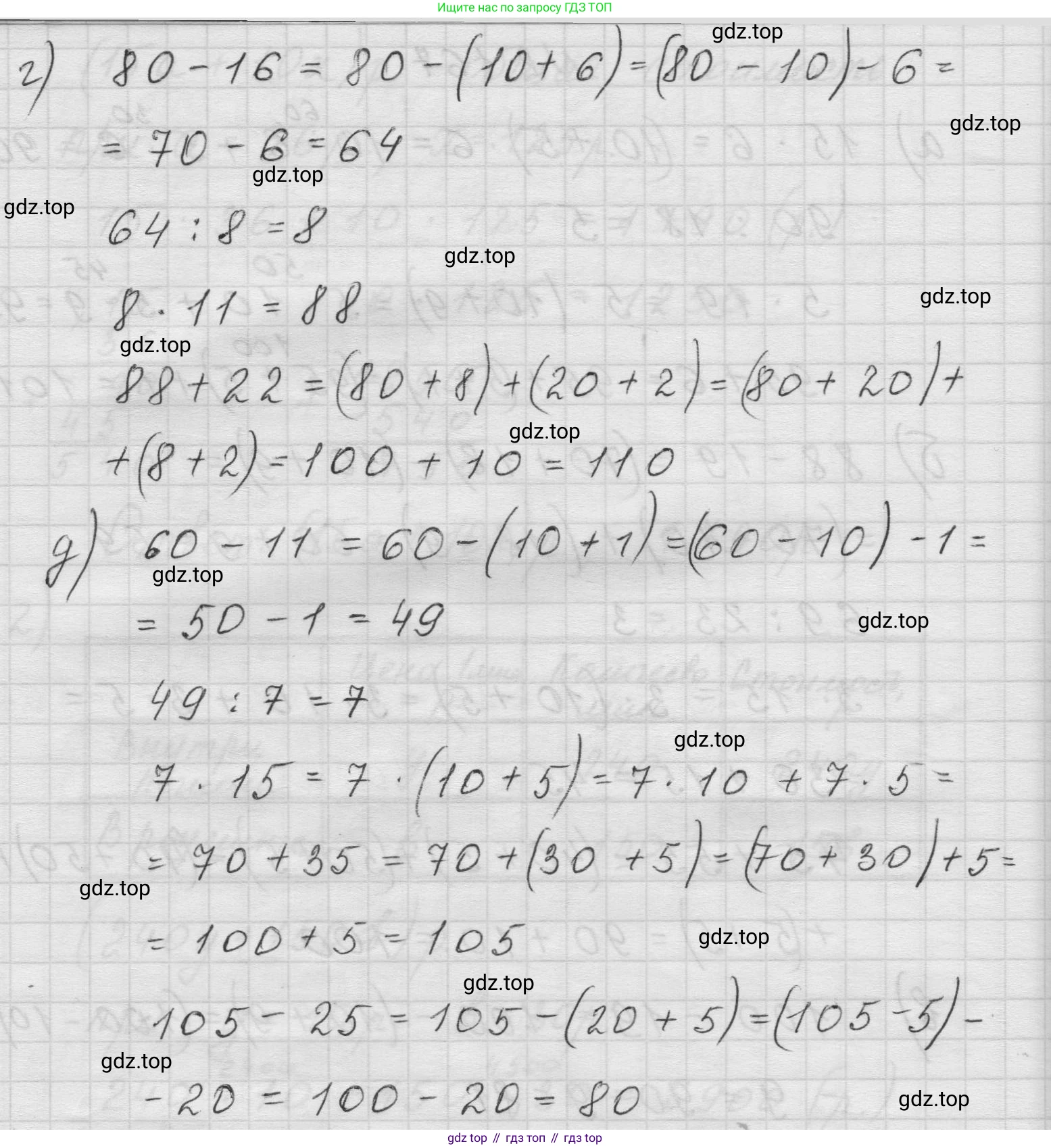
64 : 8 = 8;
8 · 11 = 88;
88 + 22 = (80 + 8) + (20 + 2) = (80 + 20) + (8 + 2) = 100 + 10 = 110.
49 : 7 = 7;
7 · 15 = 7 · (10 + 5) = 7 · 10 + 7 · 5 = 70 + 35 = 70 + (30 + 5) = (70 + 30) + 5 = 100 + 5 = 105;
105 - 25 = 105 - (20 + 5) = (105 - 5) - 20 = 100 - 20 = 80.
Решение 2. №2.167 (с. 65)
а) Для решения этого примера выполним последовательно все указанные действия:
1. Умножение: $15 \cdot 6 = 90$
2. Деление: $90 : 18 = 5$
3. Умножение: $5 \cdot 19 = 95$
4. Сложение: $95 + 6 = 101$
Ответ: 101
б) Для решения этого примера выполним последовательно все указанные действия:
1. Вычитание: $88 - 19 = 69$
2. Деление: $69 : 23 = 3$
3. Умножение: $3 \cdot 15 = 45$
4. Сложение: $45 + 55 = 100$
Ответ: 100
в) Для решения этого примера выполним последовательно все указанные действия:
1. Вычитание: $100 - 19 = 81$
2. Деление: $81 : 3 = 27$
3. Сложение: $27 + 23 = 50$
4. Умножение: $50 \cdot 4 = 200$
Ответ: 200
г) Для решения этого примера выполним последовательно все указанные действия:
1. Вычитание: $80 - 16 = 64$
2. Деление: $64 : 8 = 8$
3. Умножение: $8 \cdot 11 = 88$
4. Сложение: $88 + 22 = 110$
Ответ: 110
д) Для решения этого примера выполним последовательно все указанные действия:
1. Вычитание: $60 - 11 = 49$
2. Деление: $49 : 7 = 7$
3. Умножение: $7 \cdot 15 = 105$
4. Вычитание: $105 - 25 = 80$
Ответ: 80
Решение 3. №2.167 (с. 65)

Решение 4. №2.167 (с. 65)

Другие задания:
Помогло решение? Оставьте отзыв в комментариях ниже.
Мы подготовили для вас ответ c подробным объяснением домашего задания по математике за 5 класс, для упражнения номер 2.167 расположенного на странице 65 для 1-й части к учебнику 2023 года издания для учащихся школ и гимназий.
Теперь на нашем сайте ГДЗ.ТОП вы всегда легко и бесплатно найдёте условие с правильным ответом на вопрос «Как решить ДЗ» и «Как сделать» задание по математике к упражнению №2.167 (с. 65), авторов: Виленкин (Наум Яковлевич), Жохов (Владимир Иванович), Чесноков (Александр Семёнович), Александрова (Лилия Александровна), Шварцбурд (Семён Исаакович), 1-й части ФГОС (новый, красный) базовый уровень обучения учебного пособия издательства Просвещение.