Номер 3.41, страница 83, часть 1 - гдз по математике 5 класс учебник Виленкин, Жохов

Авторы: Виленкин Н. Я., Жохов В. И., Чесноков А. С., Александрова Л. А., Шварцбурд С. И.
Тип: Учебник
Издательство: Просвещение
Год издания: 2023 - 2025
Уровень обучения: базовый
Часть: 1
Цвет обложки: белый, красный, синий с пазлами
Допущено Министерством просвещения Российской Федерации
Популярные ГДЗ в 5 классе
12. Действие умножения. Свойства умножения. § 3. Умножение и деление натуральных чисел. Глава 1. Натуральные числа. ч. 1 - номер 3.41, страница 83.
№3.41 (с. 83)
Условие. №3.41 (с. 83)
скриншот условия

3.41 Вычислите.

Решение 1. №3.41 (с. 83)
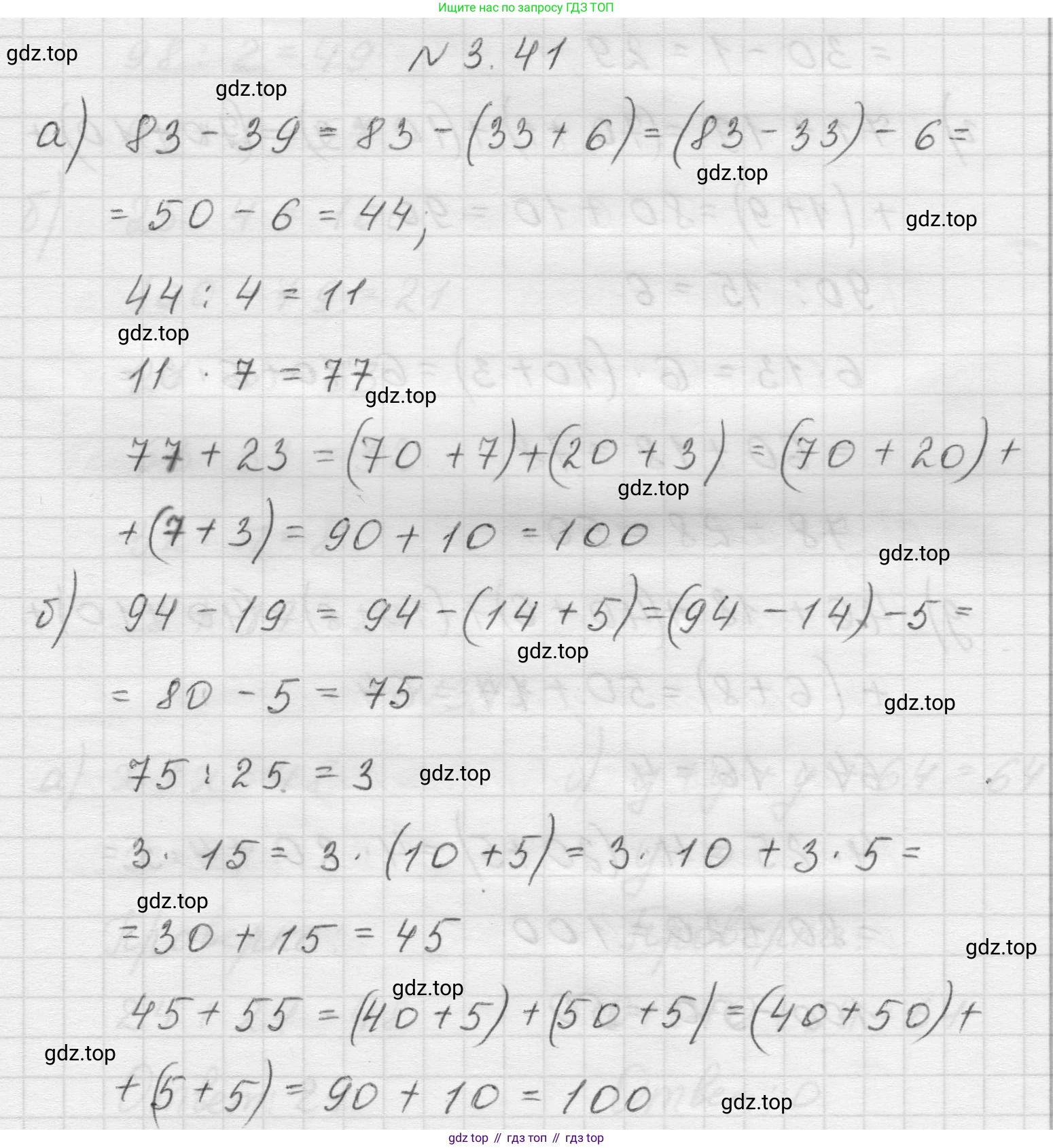
а) 83 - 39 = 83 - (33 + 6) = (83 - 33) - 6 = 50 - 6 = 44;
44 : 4 = 11;
11 · 7 = 77;
77 + 23 = (70 + 7) + (20 + 3) = (70 + 20) + (7 + 3) = 90 + 10 = 100.
б) 94 - 19 = 94 - (14 + 5) = (94 - 14) - 5 = 80 - 5 = 75;
75 : 25 = 3;
3 · 15 = 3 · (10 + 5) = 3 · 10 + 3 · 5 = 30 + 15 = 45;
45 + 55 = (40 + 5) + (50 + 5) = (40 + 50) + (5 + 5) = 90 + 10 = 100.
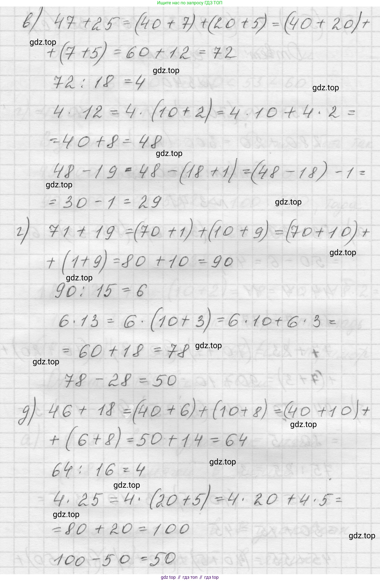
в) 47 + 25 = (40 + 7) + (20 + 5) = (40 + 20) + (7 + 5) = 60 + 12 = 72;
72 : 18 = 4;
4 · 12 = 4 · (10 + 2) = 4 · 10 + 4 · 2 = 40 + 8 = 48;
48 - 19 = 48 - (18 + 1) = (48 - 18) - 1 = 30 - 1 = 29.
г) 71 + 19 = (70 + 1) + (10 + 9) = (70 + 10) + (1 + 9) = 80 + 10 = 90;
90 : 15 = 6;
6 · 13 = 6 · (10 + 3) = 6 · 10 + 6 · 3 = 60 + 18 = 78;
78 - 28 = 50.
д) 46 + 18 = (40 + 6) + (10 + 8) = (40 + 10) + (6 + 8) = 50 + 14 = 64;
64 : 16 = 4;
4 · 25 = 4 · (20 + 5) = 4 · 20 + 4 · 5 = 80 + 20 = 100;
100 - 50 = 50.
Решение 2. №3.41 (с. 83)
а)
Для решения данного примера необходимо выполнить действия последовательно сверху вниз:
1. Выполняем вычитание: $83 - 39 = 44$.
2. Результат делим на 4: $44 : 4 = 11$.
3. Полученное число умножаем на 7: $11 \cdot 7 = 77$.
4. К результату прибавляем 23: $77 + 23 = 100$.
Ответ: 100.
б)
Выполним вычисления по шагам в указанном порядке:
1. Первое действие — вычитание: $94 - 19 = 75$.
2. Второе действие — деление: $75 : 25 = 3$.
3. Третье действие — умножение: $3 \cdot 15 = 45$.
4. Четвертое действие — сложение: $45 + 55 = 100$.
Ответ: 100.
в)
Решим пример, следуя порядку действий:
1. Сначала выполним сложение: $47 + 25 = 72$.
2. Затем результат разделим на 18: $72 : 18 = 4$.
3. Далее умножим на 12: $4 \cdot 12 = 48$.
4. В конце выполним вычитание: $48 - 19 = 29$.
Ответ: 29.
г)
Произведем вычисления в указанном порядке:
1. Выполняем сложение: $71 + 19 = 90$.
2. Делим полученную сумму на 15: $90 : 15 = 6$.
3. Результат умножаем на 13: $6 \cdot 13 = 78$.
4. Из полученного числа вычитаем 28: $78 - 28 = 50$.
Ответ: 50.
д)
Решение примера по действиям:
1. Первое действие — сложение: $46 + 18 = 64$.
2. Второе действие — деление: $64 : 16 = 4$.
3. Третье действие — умножение: $4 \cdot 25 = 100$.
4. Четвертое действие — вычитание: $100 - 50 = 50$.
Ответ: 50.
Решение 3. №3.41 (с. 83)

Решение 4. №3.41 (с. 83)

Другие задания:
Помогло решение? Оставьте отзыв в комментариях ниже.
Мы подготовили для вас ответ c подробным объяснением домашего задания по математике за 5 класс, для упражнения номер 3.41 расположенного на странице 83 для 1-й части к учебнику 2023 года издания для учащихся школ и гимназий.
Теперь на нашем сайте ГДЗ.ТОП вы всегда легко и бесплатно найдёте условие с правильным ответом на вопрос «Как решить ДЗ» и «Как сделать» задание по математике к упражнению №3.41 (с. 83), авторов: Виленкин (Наум Яковлевич), Жохов (Владимир Иванович), Чесноков (Александр Семёнович), Александрова (Лилия Александровна), Шварцбурд (Семён Исаакович), 1-й части ФГОС (новый, красный) базовый уровень обучения учебного пособия издательства Просвещение.