Номер 6.173, страница 119, часть 2 - гдз по математике 5 класс учебник Виленкин, Жохов


Авторы: Виленкин Н. Я., Жохов В. И., Чесноков А. С., Александрова Л. А., Шварцбурд С. И.
Тип: Учебник
Издательство: Просвещение
Год издания: 2023 - 2025
Уровень обучения: базовый
Часть: 2
Цвет обложки: белый, красный, синий с пазлами
Допущено Министерством просвещения Российской Федерации
Популярные ГДЗ в 5 классе
45. Умножение десятичной дроби на натуральное число. § 6. Десятичные дроби. Глава 2. Дробные числа. ч. 2 - номер 6.173, страница 119.
№6.173 (с. 119)
Условие. №6.173 (с. 119)
скриншот условия

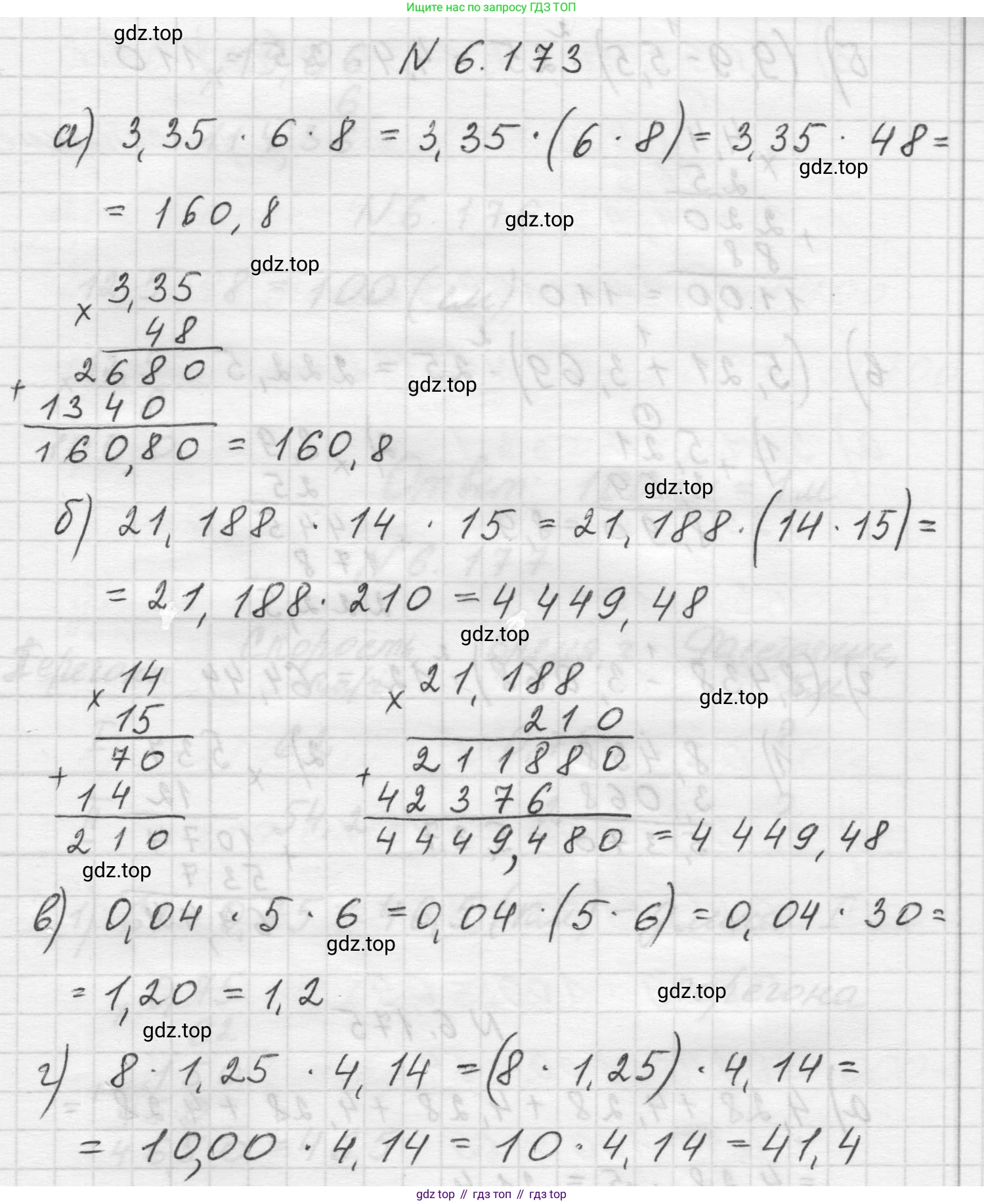
6.173 Выполните умножение:
а) 3,35 • 6 • 8;
б) 21,188 • 14 • 15;
в) 0,04 • 5 • 6;
г) 8 • 1,25 • 4,14.
Решение 1. №6.173 (с. 119)
Решение 2. №6.173 (с. 119)
Чтобы найти произведение $3,35 \cdot 6 \cdot 8$, воспользуемся сочетательным свойством умножения $(a \cdot b) \cdot c = a \cdot (b \cdot c)$ и сгруппируем множители для удобства вычислений. Сначала перемножим целые числа.
1) Выполним умножение $6$ на $8$:
$6 \cdot 8 = 48$
2) Теперь умножим $3,35$ на полученный результат $48$:
$3,35 \cdot 48 = 160,8$
Ответ: 160,8
б)Чтобы найти произведение $21,188 \cdot 14 \cdot 15$, применим сочетательное свойство умножения и выберем наиболее удобный порядок действий. Умножим сначала $14$ на $15$.
1) Выполним умножение $14$ на $15$:
$14 \cdot 15 = 210$
2) Теперь умножим $21,188$ на полученный результат $210$. Для удобства можно умножить $21,188$ на $21$, а затем результат умножить на $10$.
$21,188 \cdot 21 = 444,948$
$444,948 \cdot 10 = 4449,48$
Ответ: 4449,48
в)Для вычисления произведения $0,04 \cdot 5 \cdot 6$ сгруппируем множители так, чтобы вычисления были проще. Удобно сначала умножить $0,04$ на $5$.
1) Выполним умножение $0,04$ на $5$:
$0,04 \cdot 5 = 0,2$
2) Затем полученный результат $0,2$ умножим на $6$:
$0,2 \cdot 6 = 1,2$
Ответ: 1,2
г)В примере $8 \cdot 1,25 \cdot 4,14$ наиболее удобно сначала перемножить $8$ и $1,25$, так как их произведение является круглым числом.
1) Выполним умножение $8$ на $1,25$:
$8 \cdot 1,25 = 10$
2) Теперь умножим полученное число $10$ на $4,14$. Умножение на $10$ сводится к переносу запятой в десятичной дроби на один знак вправо.
$10 \cdot 4,14 = 41,4$
Ответ: 41,4
Решение 3. №6.173 (с. 119)


Решение 4. №6.173 (с. 119)

Другие задания:
Помогло решение? Оставьте отзыв в комментариях ниже.
Мы подготовили для вас ответ c подробным объяснением домашего задания по математике за 5 класс, для упражнения номер 6.173 расположенного на странице 119 для 2-й части к учебнику 2023 года издания для учащихся школ и гимназий.
Теперь на нашем сайте ГДЗ.ТОП вы всегда легко и бесплатно найдёте условие с правильным ответом на вопрос «Как решить ДЗ» и «Как сделать» задание по математике к упражнению №6.173 (с. 119), авторов: Виленкин (Наум Яковлевич), Жохов (Владимир Иванович), Чесноков (Александр Семёнович), Александрова (Лилия Александровна), Шварцбурд (Семён Исаакович), 2-й части ФГОС (новый, красный) базовый уровень обучения учебного пособия издательства Просвещение.