Номер 6.183, страница 120, часть 2 - гдз по математике 5 класс учебник Виленкин, Жохов


Авторы: Виленкин Н. Я., Жохов В. И., Чесноков А. С., Александрова Л. А., Шварцбурд С. И.
Тип: Учебник
Издательство: Просвещение
Год издания: 2023 - 2025
Уровень обучения: базовый
Часть: 2
Цвет обложки: белый, красный, синий с пазлами
Допущено Министерством просвещения Российской Федерации
Популярные ГДЗ в 5 классе
45. Умножение десятичной дроби на натуральное число. § 6. Десятичные дроби. Глава 2. Дробные числа. ч. 2 - номер 6.183, страница 120.
№6.183 (с. 120)
Условие. №6.183 (с. 120)
скриншот условия

6.183 Найдите значение выражения:
а) 42,7a при a = 6; 38; 100;
б) 1000m + n при m = 4,5127 и n = 8,2;
в) 16y + 8z при y = 1,7 и z = 4,3;
г) 6,3c + 2,5c - 5,4c при c = 5; 15; 30; 150;
д) 9,5x + 4,8x + 5,7x при x = 1,0023; 6,2345;
е) 11,6z + 12,9z - 4,5z при z = 2,0207; 5,3467.
Решение 1. №6.183 (с. 120)
Решение 2. №6.183 (с. 120)
а) Чтобы найти значение выражения $42,7a$, нужно подставить вместо переменной $a$ её числовые значения.
При $a = 6$:
$42,7 \cdot 6 = 256,2$
При $a = 38$:
$42,7 \cdot 38 = 1622,6$
При $a = 100$:
$42,7 \cdot 100 = 4270$
Ответ: 256,2; 1622,6; 4270.
б) Подставим значения $m = 4,5127$ и $n = 8,2$ в выражение $1000m + n$:
$1000 \cdot 4,5127 + 8,2 = 4512,7 + 8,2 = 4520,9$
Ответ: 4520,9.
в) Подставим значения $y = 1,7$ и $z = 4,3$ в выражение $16y + 8z$:
$16y + 8z = 16 \cdot 1,7 + 8 \cdot 4,3 = 27,2 + 34,4 = 61,6$
Ответ: 61,6.
г) Сначала упростим выражение $6,3c + 2,5c - 5,4c$, вынеся общий множитель $c$ за скобки:
$6,3c + 2,5c - 5,4c = (6,3 + 2,5 - 5,4)c = (8,8 - 5,4)c = 3,4c$
Теперь подставим значения $c$ в полученное выражение $3,4c$:
При $c = 5$: $3,4 \cdot 5 = 17$
При $c = 15$: $3,4 \cdot 15 = 51$
При $c = 30$: $3,4 \cdot 30 = 102$
При $c = 150$: $3,4 \cdot 150 = 510$
Ответ: 17; 51; 102; 510.
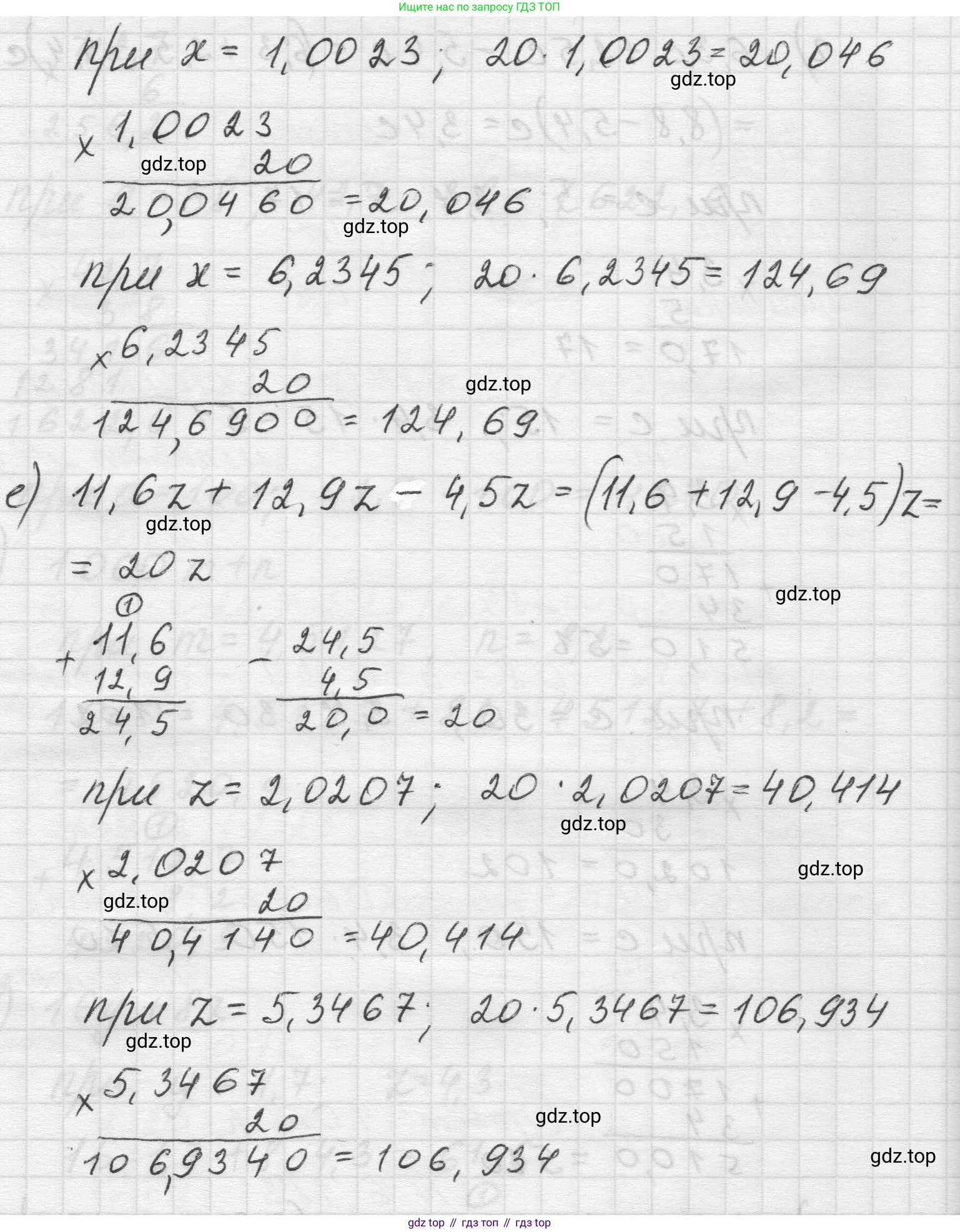
д) Сначала упростим выражение $9,5x + 4,8x + 5,7x$, вынеся общий множитель $x$ за скобки:
$9,5x + 4,8x + 5,7x = (9,5 + 4,8 + 5,7)x = (14,3 + 5,7)x = 20x$
Теперь подставим значения $x$ в полученное выражение $20x$:
При $x = 1,0023$: $20 \cdot 1,0023 = 20,046$
При $x = 6,2345$: $20 \cdot 6,2345 = 124,69$
Ответ: 20,046; 124,69.
е) Сначала упростим выражение $11,6z + 12,9z - 4,5z$, вынеся общий множитель $z$ за скобки:
$11,6z + 12,9z - 4,5z = (11,6 + 12,9 - 4,5)z = (24,5 - 4,5)z = 20z$
Теперь подставим значения $z$ в полученное выражение $20z$:
При $z = 2,0207$: $20 \cdot 2,0207 = 40,414$
При $z = 5,3467$: $20 \cdot 5,3467 = 106,934$
Ответ: 40,414; 106,934.
Решение 3. №6.183 (с. 120)



Решение 4. №6.183 (с. 120)


Другие задания:
Помогло решение? Оставьте отзыв в комментариях ниже.
Мы подготовили для вас ответ c подробным объяснением домашего задания по математике за 5 класс, для упражнения номер 6.183 расположенного на странице 120 для 2-й части к учебнику 2023 года издания для учащихся школ и гимназий.
Теперь на нашем сайте ГДЗ.ТОП вы всегда легко и бесплатно найдёте условие с правильным ответом на вопрос «Как решить ДЗ» и «Как сделать» задание по математике к упражнению №6.183 (с. 120), авторов: Виленкин (Наум Яковлевич), Жохов (Владимир Иванович), Чесноков (Александр Семёнович), Александрова (Лилия Александровна), Шварцбурд (Семён Исаакович), 2-й части ФГОС (новый, красный) базовый уровень обучения учебного пособия издательства Просвещение.