Номер 6.184, страница 120, часть 2 - гдз по математике 5 класс учебник Виленкин, Жохов


Авторы: Виленкин Н. Я., Жохов В. И., Чесноков А. С., Александрова Л. А., Шварцбурд С. И.
Тип: Учебник
Издательство: Просвещение
Год издания: 2023 - 2025
Уровень обучения: базовый
Часть: 2
Цвет обложки: белый, красный, синий с пазлами
Допущено Министерством просвещения Российской Федерации
Популярные ГДЗ в 5 классе
45. Умножение десятичной дроби на натуральное число. § 6. Десятичные дроби. Глава 2. Дробные числа. ч. 2 - номер 6.184, страница 120.
№6.184 (с. 120)
Условие. №6.184 (с. 120)
скриншот условия

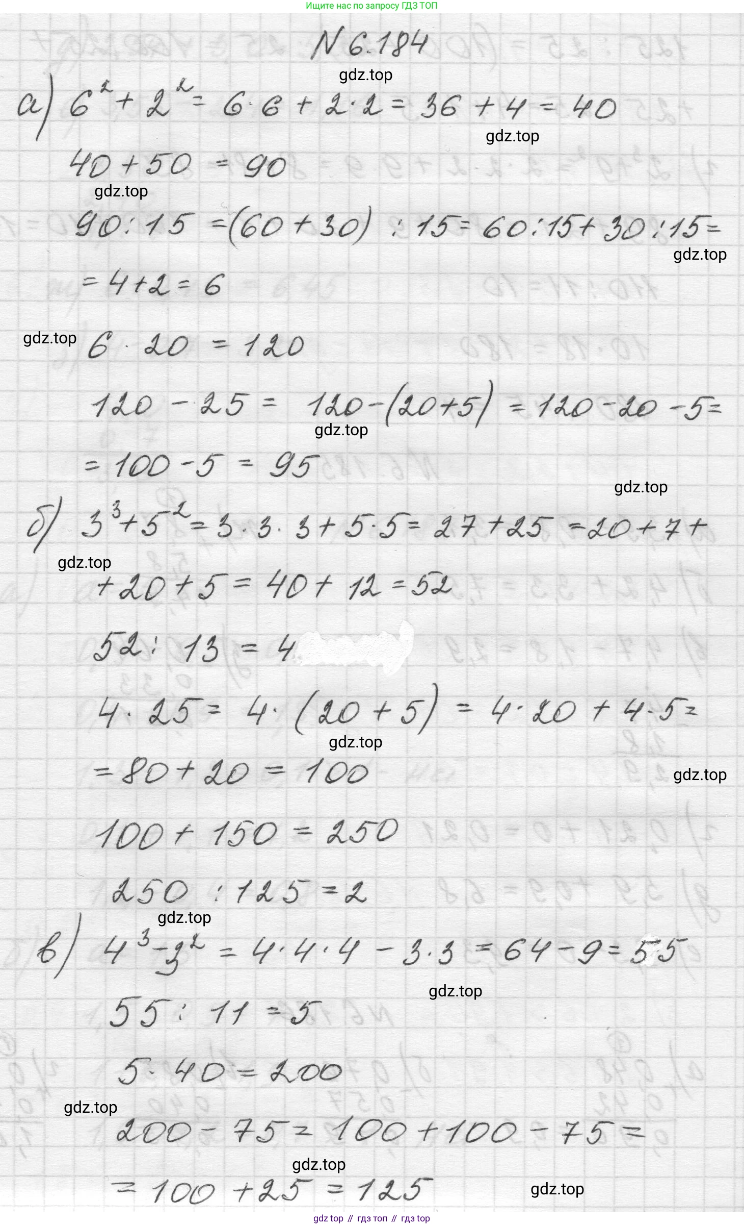
6.184 Вычислите.

Решение 1. №6.184 (с. 120)
Решение 2. №6.184 (с. 120)
а)
Чтобы найти конечный результат, выполним все действия по порядку, начиная с выражения в первой строке:
1. Вычисляем сумму квадратов: $6^2 + 2^2 = 36 + 4 = 40$.
2. К полученному результату прибавляем 50: $40 + 50 = 90$.
3. Делим результат на 15: $90 : 15 = 6$.
4. Умножаем полученное число на 20: $6 \cdot 20 = 120$.
5. Из результата вычитаем 25: $120 - 25 = 95$.
Ответ: 95
б)
Выполним последовательно все арифметические операции для данного примера:
1. Вычисляем значение начального выражения: $3^3 + 5^2 = 27 + 25 = 52$.
2. Делим результат на 13: $52 : 13 = 4$.
3. Умножаем полученное число на 25: $4 \cdot 25 = 100$.
4. К результату прибавляем 150: $100 + 150 = 250$.
5. Делим полученное число на 125: $250 : 125 = 2$.
Ответ: 2
в)
Решим данный пример по действиям, двигаясь сверху вниз:
1. Находим значение выражения в первой строке: $4^3 - 3^2 = 64 - 9 = 55$.
2. Делим полученный результат на 11: $55 : 11 = 5$.
3. Умножаем результат на 40: $5 \cdot 40 = 200$.
4. Из полученного числа вычитаем 75: $200 - 75 = 125$.
5. Делим результат на 25: $125 : 25 = 5$.
Ответ: 5
г)
Проведем вычисления по порядку для последней цепочки действий:
1. Сначала вычислим сумму степеней: $2^3 + 9^2 = 8 + 81 = 89$.
2. К полученному результату прибавляем 21: $89 + 21 = 110$.
3. Делим результат на 11: $110 : 11 = 10$.
4. Умножаем полученное число на 18: $10 \cdot 18 = 180$.
5. Делим результат на 45: $180 : 45 = 4$.
Ответ: 4
Решение 3. №6.184 (с. 120)

Решение 4. №6.184 (с. 120)

Другие задания:
Помогло решение? Оставьте отзыв в комментариях ниже.
Мы подготовили для вас ответ c подробным объяснением домашего задания по математике за 5 класс, для упражнения номер 6.184 расположенного на странице 120 для 2-й части к учебнику 2023 года издания для учащихся школ и гимназий.
Теперь на нашем сайте ГДЗ.ТОП вы всегда легко и бесплатно найдёте условие с правильным ответом на вопрос «Как решить ДЗ» и «Как сделать» задание по математике к упражнению №6.184 (с. 120), авторов: Виленкин (Наум Яковлевич), Жохов (Владимир Иванович), Чесноков (Александр Семёнович), Александрова (Лилия Александровна), Шварцбурд (Семён Исаакович), 2-й части ФГОС (новый, красный) базовый уровень обучения учебного пособия издательства Просвещение.