Номер 6.290, страница 132, часть 2 - гдз по математике 5 класс учебник Виленкин, Жохов


Авторы: Виленкин Н. Я., Жохов В. И., Чесноков А. С., Александрова Л. А., Шварцбурд С. И.
Тип: Учебник
Издательство: Просвещение
Год издания: 2023 - 2025
Уровень обучения: базовый
Часть: 2
Цвет обложки: белый, красный, синий с пазлами
Допущено Министерством просвещения Российской Федерации
Популярные ГДЗ в 5 классе
47. Умножение на десятичную дробь. § 6. Десятичные дроби. Глава 2. Дробные числа. ч. 2 - номер 6.290, страница 132.
№6.290 (с. 132)
Условие. №6.290 (с. 132)
скриншот условия

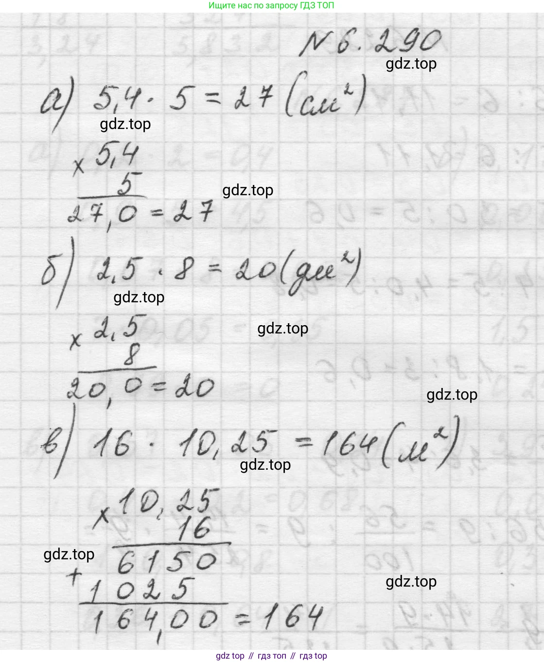
6.290 Найдите площадь прямоугольника со сторонами:
а) 5,4 см и 5 см;
б) 2,5 дм и 8 дм;
в) 16 м и 10,25 м.
Решение 1. №6.290 (с. 132)
Решение 2. №6.290 (с. 132)
Для того чтобы найти площадь прямоугольника, необходимо умножить его длину на ширину. Формула для вычисления площади прямоугольника ($S$) выглядит следующим образом: $S = a \cdot b$, где $a$ и $b$ — это длины его смежных сторон.
а) Даны стороны прямоугольника: $5,4$ см и $5$ см. Единицы измерения одинаковы, поэтому можем приступать к вычислению.
Подставляем значения в формулу:
$S = 5,4 \text{ см} \cdot 5 \text{ см} = 27 \text{ см}^2$.
Ответ: $27 \text{ см}^2$.
б) Даны стороны прямоугольника: $2,5$ дм и $8$ дм. Единицы измерения одинаковы.
Подставляем значения в формулу:
$S = 2,5 \text{ дм} \cdot 8 \text{ дм} = 20 \text{ дм}^2$.
Ответ: $20 \text{ дм}^2$.
в) Даны стороны прямоугольника: $16$ м и $10,25$ м. Единицы измерения одинаковы.
Подставляем значения в формулу:
$S = 16 \text{ м} \cdot 10,25 \text{ м} = 164 \text{ м}^2$.
Ответ: $164 \text{ м}^2$.
Решение 3. №6.290 (с. 132)

Решение 4. №6.290 (с. 132)

Другие задания:
Помогло решение? Оставьте отзыв в комментариях ниже.
Мы подготовили для вас ответ c подробным объяснением домашего задания по математике за 5 класс, для упражнения номер 6.290 расположенного на странице 132 для 2-й части к учебнику 2023 года издания для учащихся школ и гимназий.
Теперь на нашем сайте ГДЗ.ТОП вы всегда легко и бесплатно найдёте условие с правильным ответом на вопрос «Как решить ДЗ» и «Как сделать» задание по математике к упражнению №6.290 (с. 132), авторов: Виленкин (Наум Яковлевич), Жохов (Владимир Иванович), Чесноков (Александр Семёнович), Александрова (Лилия Александровна), Шварцбурд (Семён Исаакович), 2-й части ФГОС (новый, красный) базовый уровень обучения учебного пособия издательства Просвещение.