Номер 4, страница 129, часть 2 - гдз по математике 5 класс учебник Виленкин, Жохов


Авторы: Виленкин Н. Я., Жохов В. И., Чесноков А. С., Александрова Л. А., Шварцбурд С. И.
Тип: Учебник
Издательство: Просвещение
Год издания: 2023 - 2025
Уровень обучения: базовый
Часть: 2
Цвет обложки: белый, красный, синий с пазлами
Допущено Министерством просвещения Российской Федерации
Популярные ГДЗ в 5 классе
Проверочная работа Nº2. Проверьте себя. § 6. Десятичные дроби. Глава 2. Дробные числа. ч. 2 - номер 4, страница 129.
№4 (с. 129)
Условие. №4 (с. 129)
скриншот условия

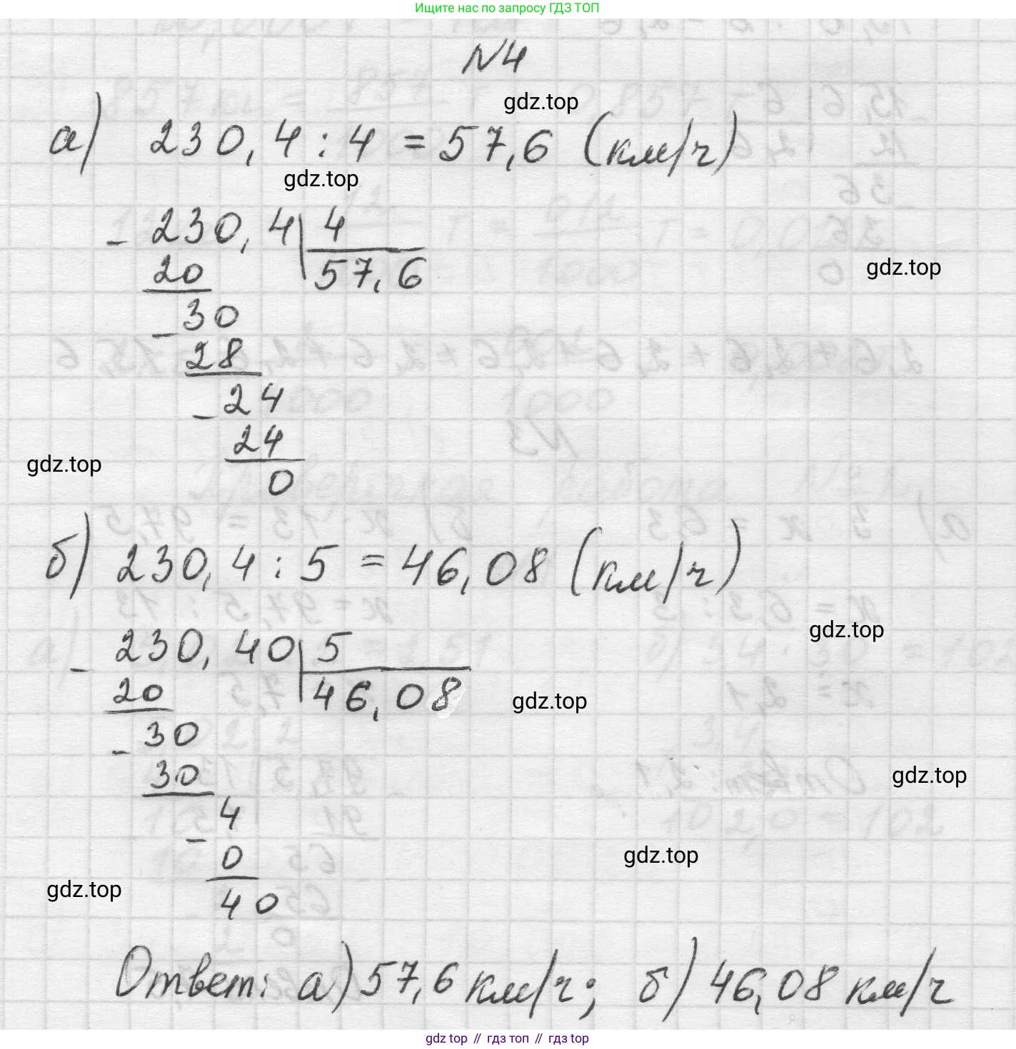
4 Поезд проходит расстояние 230,4 км за 4 ч.
а) Сколько километров он проходит в час?
б) С какой скоростью должен ехать поезд, чтобы преодолеть это же расстояние за 5 ч?
Решение 1. №4 (с. 129)
Решение 2. №4 (с. 129)
а) Чтобы найти, сколько километров поезд проходит в час, необходимо рассчитать его скорость. Скорость (v) — это отношение расстояния (S) ко времени (t), за которое это расстояние было пройдено. Формула для расчета скорости:
$v = S / t$
По условию задачи, расстояние $S = 230,4$ км, а время $t = 4$ ч. Подставим эти значения в формулу:
$v = 230,4 \text{ км} / 4 \text{ ч} = 57,6 \text{ км/ч}$
Это означает, что за один час поезд проходит 57,6 километра.
Ответ: 57,6 км.
б) Теперь нам нужно найти, с какой скоростью должен ехать поезд, чтобы преодолеть то же самое расстояние за другое время. Расстояние остается прежним, $S = 230,4$ км, а новое время $t = 5$ ч.
Снова используем формулу для расчета скорости:
$v = S / t$
Подставляем новые значения:
$v = 230,4 \text{ км} / 5 \text{ ч} = 46,08 \text{ км/ч}$
Таким образом, чтобы проехать то же расстояние за 5 часов, поезду необходимо двигаться со скоростью 46,08 км/ч.
Ответ: 46,08 км/ч.
Решение 3. №4 (с. 129)

Решение 4. №4 (с. 129)

Другие задания:
Помогло решение? Оставьте отзыв в комментариях ниже.
Мы подготовили для вас ответ c подробным объяснением домашего задания по математике за 5 класс, для упражнения номер 4 расположенного на странице 129 для 2-й части к учебнику 2023 года издания для учащихся школ и гимназий.
Теперь на нашем сайте ГДЗ.ТОП вы всегда легко и бесплатно найдёте условие с правильным ответом на вопрос «Как решить ДЗ» и «Как сделать» задание по математике к упражнению №4 (с. 129), авторов: Виленкин (Наум Яковлевич), Жохов (Владимир Иванович), Чесноков (Александр Семёнович), Александрова (Лилия Александровна), Шварцбурд (Семён Исаакович), 2-й части ФГОС (новый, красный) базовый уровень обучения учебного пособия издательства Просвещение.