Номер 7.33, страница 151, часть 2 - гдз по математике 5 класс учебник Виленкин, Жохов


Авторы: Виленкин Н. Я., Жохов В. И., Чесноков А. С., Александрова Л. А., Шварцбурд С. И.
Тип: Учебник
Издательство: Просвещение
Год издания: 2023 - 2025
Уровень обучения: базовый
Часть: 2
Цвет обложки: белый, красный, синий с пазлами
Допущено Министерством просвещения Российской Федерации
Популярные ГДЗ в 5 классе
50. Виды углов. Чертёжный треугольник. § 7. Инструменты для вычислений и измерений. Глава 2. Дробные числа. ч. 2 - номер 7.33, страница 151.
№7.33 (с. 151)
Условие. №7.33 (с. 151)
скриншот условия

7.33 Вычислите.

Решение 1. №7.33 (с. 151)
Решение 2. №7.33 (с. 151)
а)
Для решения данного примера необходимо выполнить действия в столбик последовательно сверху вниз:
1) Сложение: $2,8 + 0,7 = 3,5$
2) Деление: $3,5 : 5 = 0,7$
3) Умножение: $0,7 \cdot 90 = 63$
4) Вычитание: $63 - 3,5 = 59,5$
Ответ: 59,5
б)
Для решения данного примера необходимо выполнить действия в столбик последовательно сверху вниз:
1) Вычитание: $6 - 1,2 = 4,8$
2) Деление: $4,8 : 8 = 0,6$
3) Умножение: $0,6 \cdot 9 = 5,4$
4) Сложение: $5,4 + 1,9 = 7,3$
Ответ: 7,3
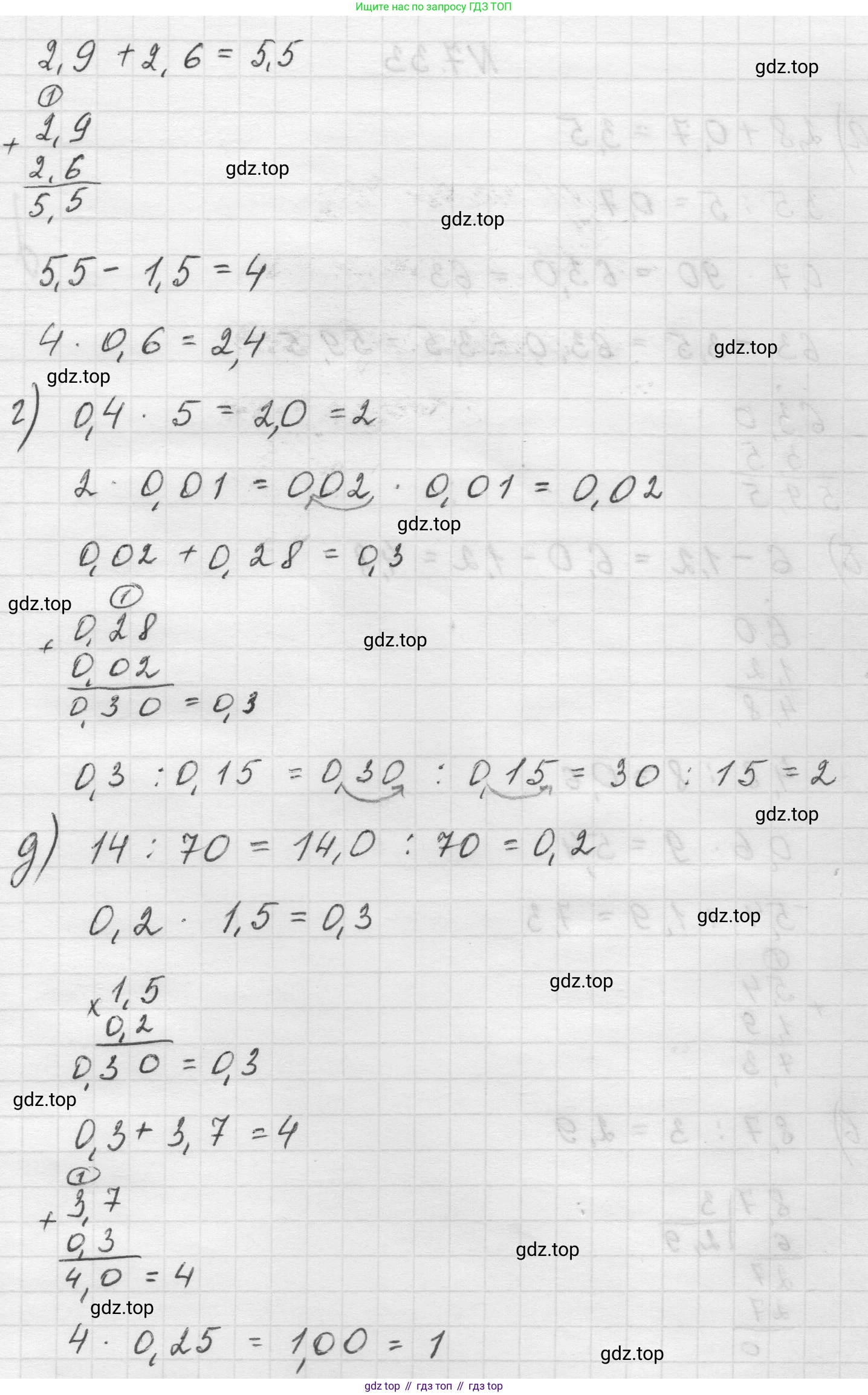
в)
Для решения данного примера необходимо выполнить действия в столбик последовательно сверху вниз:
1) Деление: $8,7 : 3 = 2,9$
2) Сложение: $2,9 + 2,6 = 5,5$
3) Вычитание: $5,5 - 1,5 = 4$
4) Умножение: $4 \cdot 0,6 = 2,4$
Ответ: 2,4
г)
Для решения данного примера необходимо выполнить действия в столбик последовательно сверху вниз:
1) Умножение: $0,4 \cdot 5 = 2$
2) Умножение: $2 \cdot 0,01 = 0,02$
3) Сложение: $0,02 + 0,28 = 0,3$
4) Деление: $0,3 : 0,15 = 2$
Ответ: 2
д)
Для решения данного примера необходимо выполнить действия в столбик последовательно сверху вниз:
1) Деление: $14 : 70 = 0,2$
2) Умножение: $0,2 \cdot 1,5 = 0,3$
3) Сложение: $0,3 + 3,7 = 4$
4) Умножение: $4 \cdot 0,25 = 1$
Ответ: 1
Решение 3. №7.33 (с. 151)

Решение 4. №7.33 (с. 151)



Другие задания:
Помогло решение? Оставьте отзыв в комментариях ниже.
Мы подготовили для вас ответ c подробным объяснением домашего задания по математике за 5 класс, для упражнения номер 7.33 расположенного на странице 151 для 2-й части к учебнику 2023 года издания для учащихся школ и гимназий.
Теперь на нашем сайте ГДЗ.ТОП вы всегда легко и бесплатно найдёте условие с правильным ответом на вопрос «Как решить ДЗ» и «Как сделать» задание по математике к упражнению №7.33 (с. 151), авторов: Виленкин (Наум Яковлевич), Жохов (Владимир Иванович), Чесноков (Александр Семёнович), Александрова (Лилия Александровна), Шварцбурд (Семён Исаакович), 2-й части ФГОС (новый, красный) базовый уровень обучения учебного пособия издательства Просвещение.