Номер 26, страница 163, часть 2 - гдз по математике 5 класс учебник Виленкин, Жохов


Авторы: Виленкин Н. Я., Жохов В. И., Чесноков А. С., Александрова Л. А., Шварцбурд С. И.
Тип: Учебник
Издательство: Просвещение
Год издания: 2023 - 2025
Уровень обучения: базовый
Часть: 2
Цвет обложки: белый, красный, синий с пазлами
Допущено Министерством просвещения Российской Федерации
Популярные ГДЗ в 5 классе
Задачи. Вопросы и задачи на повторение. Глава 2. Дробные числа. ч. 2 - номер 26, страница 163.
№26 (с. 163)
Условие. №26 (с. 163)
скриншот условия

П.26 Запишите координату какой-либо точки М, которая лежит между точками С и D на координатной прямой, если:

Решение 1. №26 (с. 163)
Решение 2. №26 (с. 163)
а) Чтобы найти координату точки M, которая лежит между точками C(3) и D(7), нужно выбрать любое число, которое больше 3 и меньше 7. Один из способов — найти среднее арифметическое координат этих точек. Координата M будет равна $m = \frac{3 + 7}{2} = \frac{10}{2} = 5$.Ответ: 5.
б) Координата точки M должна находиться между 1 и 2. Поскольку между этими числами нет целых, выберем дробное число. Найдем среднее арифметическое: $m = \frac{1 + 2}{2} = \frac{3}{2} = 1,5$.Ответ: 1,5.
в) Координата точки M должна быть больше 4,6 и меньше 5,3. Найдем среднее арифметическое этих координат: $m = \frac{4,6 + 5,3}{2} = \frac{9,9}{2} = 4,95$.Ответ: 4,95.
г) Координата точки M должна быть больше 9,9 и меньше 10. Найдем среднее арифметическое этих значений: $m = \frac{9,9 + 10}{2} = \frac{19,9}{2} = 9,95$.Ответ: 9,95.
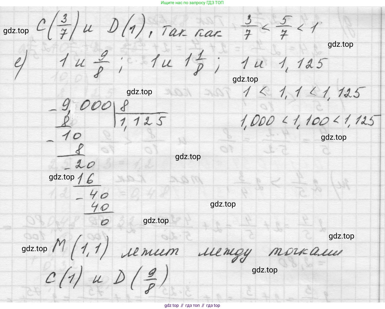
д) Требуется найти число между $C(\frac{3}{7})$ и $D(1)$. Представим 1 в виде дроби со знаменателем 7: $1 = \frac{7}{7}$. Теперь нужно найти число между $\frac{3}{7}$ и $\frac{7}{7}$. Найдем среднее арифметическое: $m = \frac{\frac{3}{7} + 1}{2} = \frac{\frac{3}{7} + \frac{7}{7}}{2} = \frac{\frac{10}{7}}{2} = \frac{10}{14} = \frac{5}{7}$.Ответ: $\frac{5}{7}$.
е) Требуется найти число между C(1) и $D(\frac{9}{8})$. Сначала сравним эти числа: $\frac{9}{8} = 1\frac{1}{8}$, что больше 1. Значит, координата точки M должна быть в интервале от 1 до $\frac{9}{8}$. Найдем среднее арифметическое: $m = \frac{1 + \frac{9}{8}}{2} = \frac{\frac{8}{8} + \frac{9}{8}}{2} = \frac{\frac{17}{8}}{2} = \frac{17}{16}$.Ответ: $\frac{17}{16}$.
Решение 3. №26 (с. 163)

Решение 4. №26 (с. 163)

Другие задания:
Помогло решение? Оставьте отзыв в комментариях ниже.
Мы подготовили для вас ответ c подробным объяснением домашего задания по математике за 5 класс, для упражнения номер 26 расположенного на странице 163 для 2-й части к учебнику 2023 года издания для учащихся школ и гимназий.
Теперь на нашем сайте ГДЗ.ТОП вы всегда легко и бесплатно найдёте условие с правильным ответом на вопрос «Как решить ДЗ» и «Как сделать» задание по математике к упражнению №26 (с. 163), авторов: Виленкин (Наум Яковлевич), Жохов (Владимир Иванович), Чесноков (Александр Семёнович), Александрова (Лилия Александровна), Шварцбурд (Семён Исаакович), 2-й части ФГОС (новый, красный) базовый уровень обучения учебного пособия издательства Просвещение.