Номер 30, страница 163, часть 2 - гдз по математике 5 класс учебник Виленкин, Жохов


Авторы: Виленкин Н. Я., Жохов В. И., Чесноков А. С., Александрова Л. А., Шварцбурд С. И.
Тип: Учебник
Издательство: Просвещение
Год издания: 2023 - 2025
Уровень обучения: базовый
Часть: 2
Цвет обложки: белый, красный, синий с пазлами
Допущено Министерством просвещения Российской Федерации
Популярные ГДЗ в 5 классе
Задачи. Вопросы и задачи на повторение. Глава 2. Дробные числа. ч. 2 - номер 30, страница 163.
№30 (с. 163)
Условие. №30 (с. 163)
скриншот условия

П.30 Выполните действия:
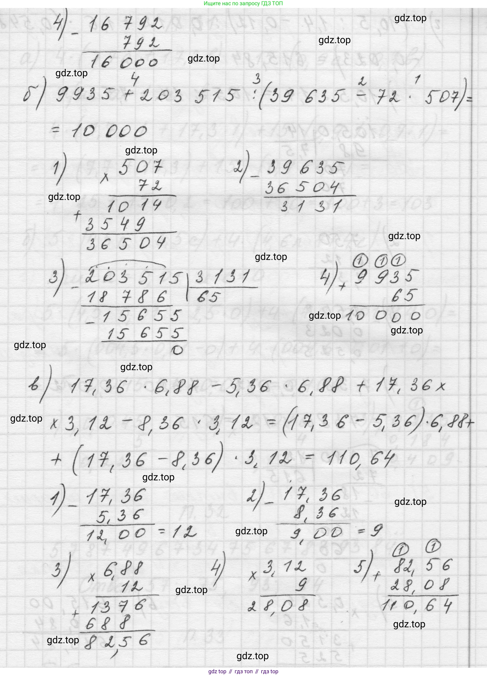
а) 124 301 - (73 645 + 83 • 408) - 792;
б) 9935 + 203 515 : (39 635 - 72 • 507);
в) 17,36 • 6,88 - 5,36 • 6,88 + 17,36 • 3,12 - 8,36 • 3,12;
г) (10,5 : 1,4 - 0,12) : 0,012 + 1,6 • (0,548 - 0,023).
Решение 1. №30 (с. 163)
Решение 2. №30 (с. 163)
а) $124301 - (73645 + 83 \cdot 408) - 792$
Решение по действиям:
1) Сначала выполняем действия в скобках, начиная с умножения: $83 \cdot 408 = 33864$.
2) Далее выполняем сложение в скобках: $73645 + 33864 = 107509$.
3) Теперь выражение имеет вид: $124301 - 107509 - 792$. Выполняем вычитание слева направо: $124301 - 107509 = 16792$.
4) Завершающее действие: $16792 - 792 = 16000$.
Ответ: 16000.
б) $9935 + 203515 : (39635 - 72 \cdot 507)$
Решение по действиям:
1) Сначала выполняем действия в скобках, начиная с умножения: $72 \cdot 507 = 36504$.
2) Далее вычитание в скобках: $39635 - 36504 = 3131$.
3) Выражение принимает вид: $9935 + 203515 : 3131$. Выполняем деление: $203515 : 3131 = 65$.
4) Последнее действие — сложение: $9935 + 65 = 10000$.
Ответ: 10000.
в) $17,36 \cdot 6,88 - 5,36 \cdot 6,88 + 17,36 \cdot 3,12 - 8,36 \cdot 3,12$
Для упрощения вычислений сгруппируем слагаемые и вынесем общие множители за скобки (используем распределительный закон):
$(17,36 \cdot 6,88 - 5,36 \cdot 6,88) + (17,36 \cdot 3,12 - 8,36 \cdot 3,12)$
1) Выносим общий множитель $6,88$ из первой группы:
$(17,36 - 5,36) \cdot 6,88 = 12 \cdot 6,88 = 82,56$.
2) Выносим общий множитель $3,12$ из второй группы:
$(17,36 - 8,36) \cdot 3,12 = 9 \cdot 3,12 = 28,08$.
3) Теперь сложим полученные результаты: $82,56 + 28,08 = 110,64$.
Ответ: 110,64.
г) $(10,5 : 1,4 - 0,12) : 0,012 + 1,6 \cdot (0,548 - 0,023)$
Решение по действиям:
1) Выполним деление в первой скобке: $10,5 : 1,4 = 105 : 14 = 7,5$.
2) Выполним вычитание в первой скобке: $7,5 - 0,12 = 7,38$.
3) Выполним деление полученного результата на $0,012$: $7,38 : 0,012 = 7380 : 12 = 615$.
4) Теперь выполним вычитание во второй скобке: $0,548 - 0,023 = 0,525$.
5) Выполним умножение: $1,6 \cdot 0,525 = 0,84$.
6) Сложим результаты, полученные в пунктах 3 и 5: $615 + 0,84 = 615,84$.
Ответ: 615,84.
Решение 3. №30 (с. 163)


Решение 4. №30 (с. 163)





Другие задания:
Помогло решение? Оставьте отзыв в комментариях ниже.
Мы подготовили для вас ответ c подробным объяснением домашего задания по математике за 5 класс, для упражнения номер 30 расположенного на странице 163 для 2-й части к учебнику 2023 года издания для учащихся школ и гимназий.
Теперь на нашем сайте ГДЗ.ТОП вы всегда легко и бесплатно найдёте условие с правильным ответом на вопрос «Как решить ДЗ» и «Как сделать» задание по математике к упражнению №30 (с. 163), авторов: Виленкин (Наум Яковлевич), Жохов (Владимир Иванович), Чесноков (Александр Семёнович), Александрова (Лилия Александровна), Шварцбурд (Семён Исаакович), 2-й части ФГОС (новый, красный) базовый уровень обучения учебного пособия издательства Просвещение.