Номер 36, страница 164, часть 2 - гдз по математике 5 класс учебник Виленкин, Жохов


Авторы: Виленкин Н. Я., Жохов В. И., Чесноков А. С., Александрова Л. А., Шварцбурд С. И.
Тип: Учебник
Издательство: Просвещение
Год издания: 2023 - 2025
Уровень обучения: базовый
Часть: 2
Цвет обложки: белый, красный, синий с пазлами
Допущено Министерством просвещения Российской Федерации
Популярные ГДЗ в 5 классе
Задачи. Вопросы и задачи на повторение. Глава 2. Дробные числа. ч. 2 - номер 36, страница 164.
№36 (с. 164)
Условие. №36 (с. 164)
скриншот условия

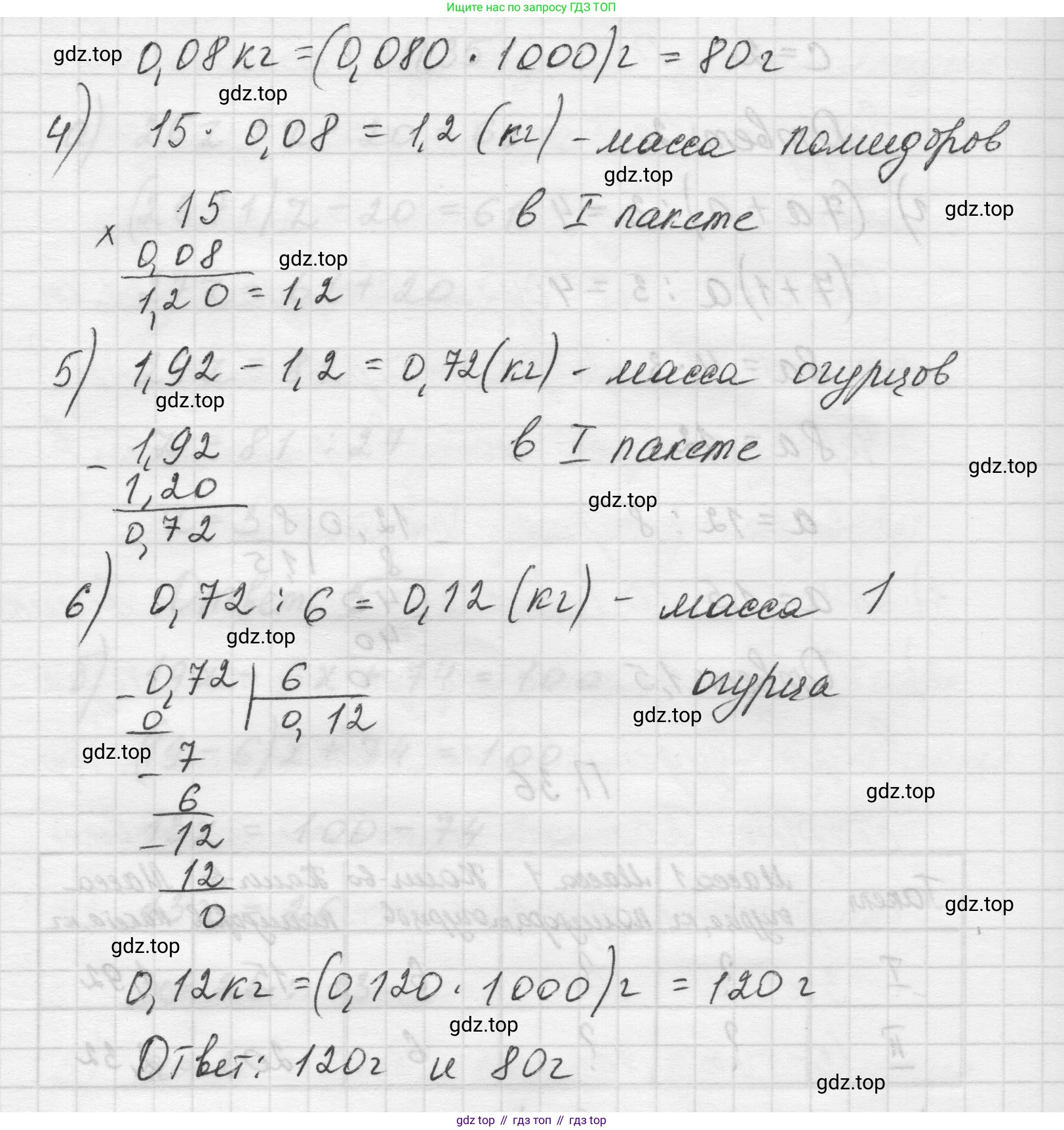
П.36 Масса первого пакета с огурцами и помидорами 1,92 кг, а второго — 2,32 кг. Найдите массу огурца и массу помидора, если в каждом пакете по 6 огурцов, но в первом пакете 15 помидоров, а во втором — 20 помидоров. В пакетах лежат одинаковые огурцы и одинаковые помидоры.
Решение 1. №36 (с. 164)
Решение 2. №36 (с. 164)
Для решения этой задачи введем переменные и составим систему уравнений. Пусть масса одного огурца равна $x$ кг, а масса одного помидора — $y$ кг. Согласно условию, все огурцы имеют одинаковую массу, и все помидоры также имеют одинаковую массу.
Исходя из данных о первом пакете, мы можем составить первое уравнение. В нем 6 огурцов и 15 помидоров, а общая масса составляет 1,92 кг:
$6x + 15y = 1,92$
Из данных о втором пакете составим второе уравнение. В нем 6 огурцов и 20 помидоров, а общая масса — 2,32 кг:
$6x + 20y = 2,32$
Теперь у нас есть система из двух линейных уравнений:
$\begin{cases} 6x + 15y = 1,92 \\ 6x + 20y = 2,32 \end{cases}$
Чтобы найти массу одного помидора, можно вычесть первое уравнение из второго. Это позволит нам избавиться от переменной $x$, так как количество огурцов в пакетах одинаково.
$(6x + 20y) - (6x + 15y) = 2,32 - 1,92$
Раскрываем скобки и упрощаем:
$6x + 20y - 6x - 15y = 0,40$
$5y = 0,40$
Отсюда находим массу одного помидора ($y$):
$y = \frac{0,40}{5} = 0,08$ кг.
Итак, масса одного помидора составляет 0,08 кг (или 80 грамм).
Теперь, зная массу помидора, мы можем найти массу огурца. Подставим значение $y = 0,08$ в любое из исходных уравнений. Возьмем первое:
$6x + 15 \cdot 0,08 = 1,92$
$6x + 1,2 = 1,92$
Теперь выразим $6x$:
$6x = 1,92 - 1,2$
$6x = 0,72$
Отсюда находим массу одного огурца ($x$):
$x = \frac{0,72}{6} = 0,12$ кг.
Таким образом, масса одного огурца составляет 0,12 кг (или 120 грамм).
Проверим полученные результаты, подставив их во второе уравнение:
$6 \cdot 0,12 + 20 \cdot 0,08 = 0,72 + 1,60 = 2,32$ кг. Результат совпадает с условием задачи.
Ответ: масса огурца — 0,12 кг, масса помидора — 0,08 кг.
Решение 3. №36 (с. 164)

Решение 4. №36 (с. 164)

Другие задания:
Помогло решение? Оставьте отзыв в комментариях ниже.
Мы подготовили для вас ответ c подробным объяснением домашего задания по математике за 5 класс, для упражнения номер 36 расположенного на странице 164 для 2-й части к учебнику 2023 года издания для учащихся школ и гимназий.
Теперь на нашем сайте ГДЗ.ТОП вы всегда легко и бесплатно найдёте условие с правильным ответом на вопрос «Как решить ДЗ» и «Как сделать» задание по математике к упражнению №36 (с. 164), авторов: Виленкин (Наум Яковлевич), Жохов (Владимир Иванович), Чесноков (Александр Семёнович), Александрова (Лилия Александровна), Шварцбурд (Семён Исаакович), 2-й части ФГОС (новый, красный) базовый уровень обучения учебного пособия издательства Просвещение.