Номер 84, страница 167, часть 2 - гдз по математике 5 класс учебник Виленкин, Жохов


Авторы: Виленкин Н. Я., Жохов В. И., Чесноков А. С., Александрова Л. А., Шварцбурд С. И.
Тип: Учебник
Издательство: Просвещение
Год издания: 2023 - 2025
Уровень обучения: базовый
Часть: 2
Цвет обложки: белый, красный, синий с пазлами
Допущено Министерством просвещения Российской Федерации
Популярные ГДЗ в 5 классе
Задачи. Вопросы и задачи на повторение. Глава 2. Дробные числа. ч. 2 - номер 84, страница 167.
№84 (с. 167)
Условие. №84 (с. 167)
скриншот условия

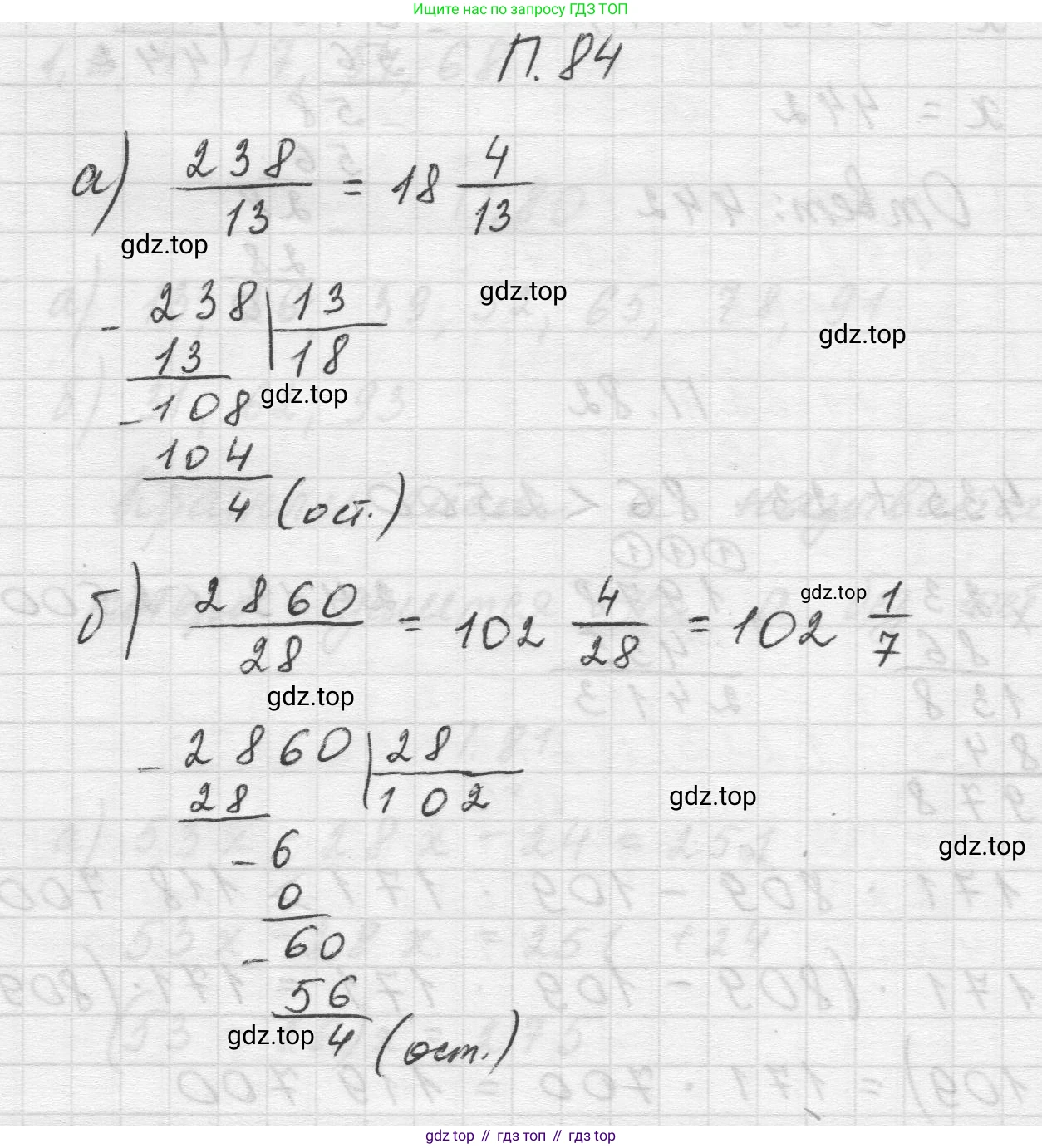
П.84 Выделите целую часть дроби:

Решение 1. №84 (с. 167)
Решение 2. №84 (с. 167)
а) Чтобы выделить целую часть из дроби $\frac{238}{13}$, разделим числитель 238 на знаменатель 13 с остатком.
$238 \div 13 = 18$ (остаток $4$), так как $18 \times 13 + 4 = 234 + 4 = 238$.
Целая часть равна 18, а остаток 4 становится числителем дробной части. Знаменатель остается прежним.
Таким образом, получаем смешанное число: $18\frac{4}{13}$.
Ответ: $18\frac{4}{13}$
б) Чтобы выделить целую часть из дроби $\frac{2860}{28}$, разделим числитель 2860 на знаменатель 28 с остатком.
$2860 \div 28 = 102$ (остаток $4$), так как $102 \times 28 + 4 = 2856 + 4 = 2860$.
Получаем смешанное число $102\frac{4}{28}$. Дробную часть $\frac{4}{28}$ можно сократить, разделив числитель и знаменатель на их наибольший общий делитель, равный 4.
$\frac{4 \div 4}{28 \div 4} = \frac{1}{7}$
В результате получаем: $102\frac{1}{7}$.
Ответ: $102\frac{1}{7}$
в) Чтобы выделить целую часть из дроби $\frac{601}{31}$, разделим числитель 601 на знаменатель 31 с остатком.
$601 \div 31 = 19$ (остаток $12$), так как $19 \times 31 + 12 = 589 + 12 = 601$.
Целая часть равна 19, а остаток 12 становится числителем дробной части. Знаменатель остается прежним.
Таким образом, получаем смешанное число: $19\frac{12}{31}$.
Ответ: $19\frac{12}{31}$
г) Чтобы выделить целую часть из дроби $\frac{5374}{53}$, разделим числитель 5374 на знаменатель 53 с остатком.
$5374 \div 53 = 101$ (остаток $21$), так как $101 \times 53 + 21 = 5353 + 21 = 5374$.
Целая часть равна 101, а остаток 21 становится числителем дробной части. Знаменатель остается прежним.
Таким образом, получаем смешанное число: $101\frac{21}{53}$.
Ответ: $101\frac{21}{53}$
Решение 3. №84 (с. 167)

Решение 4. №84 (с. 167)

Другие задания:
Помогло решение? Оставьте отзыв в комментариях ниже.
Мы подготовили для вас ответ c подробным объяснением домашего задания по математике за 5 класс, для упражнения номер 84 расположенного на странице 167 для 2-й части к учебнику 2023 года издания для учащихся школ и гимназий.
Теперь на нашем сайте ГДЗ.ТОП вы всегда легко и бесплатно найдёте условие с правильным ответом на вопрос «Как решить ДЗ» и «Как сделать» задание по математике к упражнению №84 (с. 167), авторов: Виленкин (Наум Яковлевич), Жохов (Владимир Иванович), Чесноков (Александр Семёнович), Александрова (Лилия Александровна), Шварцбурд (Семён Исаакович), 2-й части ФГОС (новый, красный) базовый уровень обучения учебного пособия издательства Просвещение.