Номер 85, страница 167, часть 2 - гдз по математике 5 класс учебник Виленкин, Жохов


Авторы: Виленкин Н. Я., Жохов В. И., Чесноков А. С., Александрова Л. А., Шварцбурд С. И.
Тип: Учебник
Издательство: Просвещение
Год издания: 2023 - 2025
Уровень обучения: базовый
Часть: 2
Цвет обложки: белый, красный, синий с пазлами
Допущено Министерством просвещения Российской Федерации
Популярные ГДЗ в 5 классе
Задачи. Вопросы и задачи на повторение. Глава 2. Дробные числа. ч. 2 - номер 85, страница 167.
№85 (с. 167)
Условие. №85 (с. 167)
скриншот условия

П.85 Вычислите:

Решение 1. №85 (с. 167)
Решение 2. №85 (с. 167)
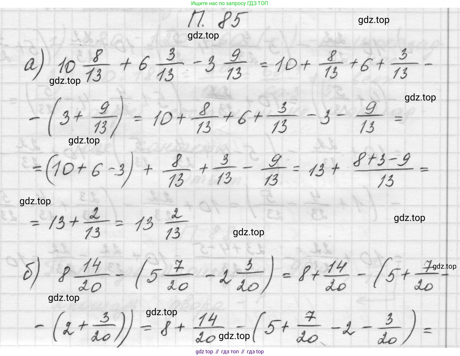
а)
Для вычисления значения выражения $10\frac{8}{13} + 6\frac{3}{13} - 3\frac{9}{13}$ необходимо выполнить действия со смешанными числами. Так как все дроби имеют одинаковый знаменатель, можно отдельно выполнить действия с целыми частями и отдельно с дробными.
Сначала сгруппируем и вычислим целые части:
$10 + 6 - 3 = 16 - 3 = 13$
Теперь выполним действия с дробными частями:
$\frac{8}{13} + \frac{3}{13} - \frac{9}{13} = \frac{8 + 3 - 9}{13} = \frac{11 - 9}{13} = \frac{2}{13}$
Осталось сложить полученную целую и дробную части:
$13 + \frac{2}{13} = 13\frac{2}{13}$
Ответ: $13\frac{2}{13}$
б)
В данном примере используется нестандартное обозначение. Стрелка вверх (^) указывает на действие вычитания, а скобки определяют порядок действий. Числа внутри скобок следует сложить. Таким образом, задание можно записать в более привычном виде: $8\frac{14}{20} - (5\frac{7}{20} + 2\frac{3}{20})$.
Сначала выполним действие в скобках — сложение смешанных чисел:
$5\frac{7}{20} + 2\frac{3}{20} = (5 + 2) + (\frac{7}{20} + \frac{3}{20}) = 7 + \frac{7+3}{20} = 7 + \frac{10}{20} = 7\frac{10}{20}$
Теперь выполним вычитание:
$8\frac{14}{20} - 7\frac{10}{20} = (8 - 7) + (\frac{14}{20} - \frac{10}{20}) = 1 + \frac{14-10}{20} = 1\frac{4}{20}$
Сократим дробную часть полученного числа. Разделим числитель и знаменатель на их наибольший общий делитель, который равен 4:
$\frac{4}{20} = \frac{4 \div 4}{20 \div 4} = \frac{1}{5}$
Таким образом, итоговый результат равен $1\frac{1}{5}$.
Ответ: $1\frac{1}{5}$
в)
Для вычисления значения выражения $14\frac{27}{45} - 3\frac{8}{45} + 5\frac{6}{45}$ будем выполнять действия последовательно слева направо. Также можно сгруппировать целые и дробные части.
Вычислим сумму и разность целых частей:
$14 - 3 + 5 = 11 + 5 = 16$
Вычислим сумму и разность дробных частей:
$\frac{27}{45} - \frac{8}{45} + \frac{6}{45} = \frac{27 - 8 + 6}{45} = \frac{19 + 6}{45} = \frac{25}{45}$
Объединим результат: $16\frac{25}{45}$
Теперь сократим дробную часть. Наибольший общий делитель для 25 и 45 равен 5:
$\frac{25}{45} = \frac{25 \div 5}{45 \div 5} = \frac{5}{9}$
Итоговый результат: $16\frac{5}{9}$.
Ответ: $16\frac{5}{9}$
г)
Как и в пункте б), стрелка вверх (^) означает вычитание, а выражение в скобках вычисляется в первую очередь путем сложения. Запишем пример в стандартном виде: $10\frac{22}{23} - (5\frac{4}{23} + 4\frac{5}{23})$.
Сначала выполним сложение в скобках:
$5\frac{4}{23} + 4\frac{5}{23} = (5+4) + (\frac{4}{23} + \frac{5}{23}) = 9 + \frac{4+5}{23} = 9\frac{9}{23}$
Теперь выполним вычитание из первого числа:
$10\frac{22}{23} - 9\frac{9}{23} = (10-9) + (\frac{22}{23} - \frac{9}{23}) = 1 + \frac{22-9}{23} = 1\frac{13}{23}$
Дробь $\frac{13}{23}$ является несократимой, так как числа 13 и 23 — простые.
Ответ: $1\frac{13}{23}$
Решение 3. №85 (с. 167)

Решение 4. №85 (с. 167)

Другие задания:
Помогло решение? Оставьте отзыв в комментариях ниже.
Мы подготовили для вас ответ c подробным объяснением домашего задания по математике за 5 класс, для упражнения номер 85 расположенного на странице 167 для 2-й части к учебнику 2023 года издания для учащихся школ и гимназий.
Теперь на нашем сайте ГДЗ.ТОП вы всегда легко и бесплатно найдёте условие с правильным ответом на вопрос «Как решить ДЗ» и «Как сделать» задание по математике к упражнению №85 (с. 167), авторов: Виленкин (Наум Яковлевич), Жохов (Владимир Иванович), Чесноков (Александр Семёнович), Александрова (Лилия Александровна), Шварцбурд (Семён Исаакович), 2-й части ФГОС (новый, красный) базовый уровень обучения учебного пособия издательства Просвещение.