Страница 122, часть 1 - гдз по алгебре 10-11 класс задачник часть 1, 2 Мордкович, Семенов

Авторы: Мордкович А. Г., Семенов П. В., Денищева Л. О., Корешкова Т. А., Мишустина Т. Н., Тульчинская Е. Е.
Тип: Задачник
Издательство: Мнемозина
Год издания: 2019 - 2025
Уровень обучения: базовый
Часть: 1
Цвет обложки:
ISBN: 978-5-346-04509-0 (общ.), 978-5-346-04510-6 (ч. 1), 978-5-346-04511-3 (ч. 2)
Рекомендовано Министерством образования и науки Российской Федерации
Математика: алгебра и начала математического анализа, геометрия
Популярные ГДЗ в 10 классе
ч. 1. Cтраница 122

№31.7 (с. 122)
Условие. №31.7 (с. 122)
скриншот условия

31.7 Постройте график функции:
а) $y = -x^4 + 5x^2 - 4;$
б) $y = x^5 - 5x;$
В) $y = 2x^4 - 9x^2 + 7;$
Г) $y = 5x^3 - 3x^5.$
Решение 1. №31.7 (с. 122)

Решение 2. №31.7 (с. 122)





Решение 3. №31.7 (с. 122)

Решение 5. №31.7 (с. 122)





Решение 6. №31.7 (с. 122)
а) $y = -x^4 + 5x^2 - 4$
Для построения графика проведем полное исследование функции.
Область определения.
Функция является многочленом, поэтому область ее определения — все действительные числа: $D(y) = (-\infty; +\infty)$.
Четность и нечетность.
Проверим функцию на четность: $y(-x) = -(-x)^4 + 5(-x)^2 - 4 = -x^4 + 5x^2 - 4 = y(x)$.
Так как $y(-x) = y(x)$, функция является четной. Ее график симметричен относительно оси ординат (оси Oy).
Точки пересечения с осями координат.
Пересечение с осью Oy: при $x=0$ имеем $y = -0^4 + 5 \cdot 0^2 - 4 = -4$. Точка пересечения $(0, -4)$.
Пересечение с осью Ox: при $y=0$ имеем $-x^4 + 5x^2 - 4 = 0$. Сделаем замену $t = x^2$, где $t \ge 0$.
$-t^2 + 5t - 4 = 0$ или $t^2 - 5t + 4 = 0$.
По теореме Виета, корни уравнения $t_1 = 1$ и $t_2 = 4$. Оба корня удовлетворяют условию $t \ge 0$.
Возвращаемся к замене:
$x^2 = 1 \implies x_1 = -1, x_2 = 1$.
$x^2 = 4 \implies x_3 = -2, x_4 = 2$.
Точки пересечения с осью Ox: $(-2, 0)$, $(-1, 0)$, $(1, 0)$, $(2, 0)$.
Промежутки монотонности и точки экстремума.
Найдем первую производную функции: $y' = (-x^4 + 5x^2 - 4)' = -4x^3 + 10x$.
Приравняем производную к нулю для нахождения критических точек: $y' = 0 \implies -4x^3 + 10x = 0 \implies -2x(2x^2 - 5) = 0$.
Отсюда $x=0$ или $2x^2 - 5 = 0 \implies x^2 = 5/2 \implies x = \pm \sqrt{5/2} \approx \pm 1.58$.
Исследуем знак производной на интервалах, на которые критические точки делят числовую ось: $(-\infty; -\sqrt{5/2})$, $(-\sqrt{5/2}; 0)$, $(0; \sqrt{5/2})$, $(\sqrt{5/2}; +\infty)$.
- При $x \in (-\infty; -\sqrt{5/2})$, $y' > 0$, функция возрастает.
- При $x \in (-\sqrt{5/2}; 0)$, $y' < 0$, функция убывает.
- При $x \in (0; \sqrt{5/2})$, $y' > 0$, функция возрастает.
- При $x \in (\sqrt{5/2}; +\infty)$, $y' < 0$, функция убывает.
Точка $x = -\sqrt{5/2}$ — точка локального максимума. $y(-\sqrt{5/2}) = -(-\sqrt{5/2})^4 + 5(-\sqrt{5/2})^2 - 4 = -25/4 + 25/2 - 4 = 9/4 = 2.25$.
Точка $x = 0$ — точка локального минимума. $y(0) = -4$.
Точка $x = \sqrt{5/2}$ — точка локального максимума. $y(\sqrt{5/2}) = 9/4 = 2.25$.
Промежутки выпуклости и точки перегиба.
Найдем вторую производную: $y'' = (-4x^3 + 10x)' = -12x^2 + 10$.
Приравняем вторую производную к нулю: $y'' = 0 \implies -12x^2 + 10 = 0 \implies x^2 = 10/12 = 5/6 \implies x = \pm \sqrt{5/6} \approx \pm 0.91$.
Исследуем знак второй производной:
- При $x \in (-\infty; -\sqrt{5/6})$, $y'' < 0$, график выпуклый вверх (вогнутый).
- При $x \in (-\sqrt{5/6}; \sqrt{5/6})$, $y'' > 0$, график выпуклый вниз (выпуклый).
- При $x \in (\sqrt{5/6}; +\infty)$, $y'' < 0$, график выпуклый вверх (вогнутый).
Точки $x = \pm \sqrt{5/6}$ являются точками перегиба.
$y(\pm \sqrt{5/6}) = -(\pm \sqrt{5/6})^4 + 5(\pm \sqrt{5/6})^2 - 4 = -25/36 + 25/6 - 4 = (-25 + 150 - 144)/36 = -19/36 \approx -0.53$.
График функции имеет форму перевернутой буквы W, симметричен относительно оси Oy. Он убывает от $+\infty$ до локального минимума в точке $(0, -4)$, а затем возрастает до локальных максимумов в точках $(\pm \sqrt{5/2}, 9/4)$, после чего снова убывает к $-\infty$.
Ответ: График функции — кривая, симметричная относительно оси Oy. Точки пересечения с осью Ox: $(\pm 1, 0)$, $(\pm 2, 0)$. Точка пересечения с осью Oy: $(0, -4)$, которая также является точкой локального минимума. Точки локального максимума: $(-\sqrt{5/2}, 9/4)$ и $(\sqrt{5/2}, 9/4)$. Точки перегиба: $(-\sqrt{5/6}, -19/36)$ и $(\sqrt{5/6}, -19/36)$. При $x \to \pm \infty$, $y \to -\infty$.
б) $y = x^5 - 5x$
Для построения графика проведем полное исследование функции.
Область определения.
Функция является многочленом, $D(y) = (-\infty; +\infty)$.
Четность и нечетность.
$y(-x) = (-x)^5 - 5(-x) = -x^5 + 5x = -(x^5 - 5x) = -y(x)$.
Так как $y(-x) = -y(x)$, функция является нечетной. Ее график симметричен относительно начала координат $(0, 0)$.
Точки пересечения с осями координат.
Пересечение с осью Oy: при $x=0$ имеем $y=0$. Точка $(0, 0)$.
Пересечение с осью Ox: при $y=0$ имеем $x^5 - 5x = 0 \implies x(x^4 - 5) = 0$.
Корни: $x=0$ или $x^4=5 \implies x = \pm \sqrt[4]{5} \approx \pm 1.5$.
Точки пересечения: $(-\sqrt[4]{5}, 0)$, $(0, 0)$, $(\sqrt[4]{5}, 0)$.
Промежутки монотонности и точки экстремума.
$y' = (x^5 - 5x)' = 5x^4 - 5 = 5(x^4 - 1) = 5(x^2 - 1)(x^2 + 1) = 5(x-1)(x+1)(x^2+1)$.
$y' = 0 \implies x = \pm 1$. Критические точки: $x=-1, x=1$.
- При $x \in (-\infty; -1)$, $y' > 0$, функция возрастает.
- При $x \in (-1; 1)$, $y' < 0$, функция убывает.
- При $x \in (1; +\infty)$, $y' > 0$, функция возрастает.
$x = -1$ — точка локального максимума. $y(-1) = (-1)^5 - 5(-1) = -1 + 5 = 4$.
$x = 1$ — точка локального минимума. $y(1) = 1^5 - 5(1) = 1 - 5 = -4$.
Промежутки выпуклости и точки перегиба.
$y'' = (5x^4 - 5)' = 20x^3$.
$y'' = 0 \implies x = 0$.
- При $x < 0$, $y'' < 0$, график выпуклый вверх (вогнутый).
- При $x > 0$, $y'' > 0$, график выпуклый вниз (выпуклый).
$x = 0$ — точка перегиба. $y(0) = 0$.
График функции симметричен относительно начала координат. Он возрастает из $-\infty$ до локального максимума в точке $(-1, 4)$, затем убывает, проходя через точку перегиба $(0, 0)$, до локального минимума в точке $(1, -4)$, после чего снова возрастает к $+\infty$.
Ответ: График функции — кривая, симметричная относительно начала координат. Точки пересечения с осями: $(-\sqrt[4]{5}, 0)$, $(0, 0)$ и $(\sqrt[4]{5}, 0)$. Точка локального максимума: $(-1, 4)$. Точка локального минимума: $(1, -4)$. Точка перегиба: $(0, 0)$. При $x \to +\infty$, $y \to +\infty$; при $x \to -\infty$, $y \to -\infty$.
в) $y = 2x^4 - 9x^2 + 7$
Для построения графика проведем полное исследование функции.
Область определения.
Функция является многочленом, $D(y) = (-\infty; +\infty)$.
Четность и нечетность.
$y(-x) = 2(-x)^4 - 9(-x)^2 + 7 = 2x^4 - 9x^2 + 7 = y(x)$.
Функция четная, график симметричен относительно оси Oy.
Точки пересечения с осями координат.
Пересечение с осью Oy: при $x=0$, $y = 7$. Точка $(0, 7)$.
Пересечение с осью Ox: при $y=0$, $2x^4 - 9x^2 + 7 = 0$. Замена $t=x^2$ ($t \ge 0$).
$2t^2 - 9t + 7 = 0$. Дискриминант $D = 81 - 4 \cdot 2 \cdot 7 = 25$.
$t = \frac{9 \pm 5}{4}$, откуда $t_1 = 14/4 = 7/2$ и $t_2 = 4/4 = 1$.
$x^2 = 7/2 \implies x = \pm \sqrt{7/2} \approx \pm 1.87$.
$x^2 = 1 \implies x = \pm 1$.
Точки пересечения с Ox: $(\pm 1, 0)$, $(\pm \sqrt{7/2}, 0)$.
Промежутки монотонности и точки экстремума.
$y' = 8x^3 - 18x = 2x(4x^2 - 9)$.
$y' = 0 \implies x=0$ или $x^2 = 9/4 \implies x = \pm 3/2 = \pm 1.5$. Критические точки: $x=-3/2, 0, 3/2$.
- При $x \in (-\infty; -3/2)$, $y' < 0$, функция убывает.
- При $x \in (-3/2; 0)$, $y' > 0$, функция возрастает.
- При $x \in (0; 3/2)$, $y' < 0$, функция убывает.
- При $x \in (3/2; +\infty)$, $y' > 0$, функция возрастает.
$x = \pm 3/2$ — точки локального минимума. $y(\pm 3/2) = 2(81/16) - 9(9/4) + 7 = 81/8 - 81/4 + 7 = -25/8 = -3.125$.
$x = 0$ — точка локального максимума. $y(0) = 7$.
Промежутки выпуклости и точки перегиба.
$y'' = 24x^2 - 18 = 6(4x^2 - 3)$.
$y'' = 0 \implies x^2 = 3/4 \implies x = \pm \sqrt{3}/2 \approx \pm 0.87$.
- При $x \in (-\infty; -\sqrt{3}/2)$, $y'' > 0$, график выпуклый вниз.
- При $x \in (-\sqrt{3}/2; \sqrt{3}/2)$, $y'' < 0$, график выпуклый вверх.
- При $x \in (\sqrt{3}/2; +\infty)$, $y'' > 0$, график выпуклый вниз.
$x = \pm \sqrt{3}/2$ — точки перегиба. $y(\pm \sqrt{3}/2) = 2(9/16) - 9(3/4) + 7 = 9/8 - 27/4 + 7 = 11/8 = 1.375$.
График функции имеет W-образную форму, симметричен относительно оси Oy. Он убывает из $+\infty$ до локального минимума в точке $(-3/2, -25/8)$, затем возрастает до локального максимума в $(0, 7)$, снова убывает до минимума в $(3/2, -25/8)$, и затем возрастает к $+\infty$.
Ответ: График функции — симметричная относительно оси Oy W-образная кривая. Точки пересечения с осью Ox: $(\pm 1, 0)$, $(\pm \sqrt{7/2}, 0)$. Точка пересечения с осью Oy: $(0, 7)$, которая также является точкой локального максимума. Точки локального минимума: $(\pm 3/2, -25/8)$. Точки перегиба: $(\pm \sqrt{3}/2, 11/8)$. При $x \to \pm \infty$, $y \to +\infty$.
г) $y = 5x^3 - 3x^5$
Для построения графика проведем полное исследование функции.
Область определения.
Функция является многочленом, $D(y) = (-\infty; +\infty)$.
Четность и нечетность.
$y(-x) = 5(-x)^3 - 3(-x)^5 = -5x^3 + 3x^5 = -(5x^3 - 3x^5) = -y(x)$.
Функция нечетная, график симметричен относительно начала координат.
Точки пересечения с осями координат.
Пересечение с осью Oy: при $x=0$, $y=0$. Точка $(0, 0)$.
Пересечение с осью Ox: при $y=0$, $5x^3 - 3x^5 = 0 \implies x^3(5 - 3x^2) = 0$.
Корни: $x=0$ или $5 - 3x^2 = 0 \implies x^2 = 5/3 \implies x = \pm \sqrt{5/3} \approx \pm 1.29$.
Точки пересечения: $(-\sqrt{5/3}, 0)$, $(0, 0)$, $(\sqrt{5/3}, 0)$.
Промежутки монотонности и точки экстремума.
$y' = 15x^2 - 15x^4 = 15x^2(1 - x^2) = 15x^2(1-x)(1+x)$.
$y' = 0 \implies x=0$ или $x = \pm 1$. Критические точки: $x=-1, 0, 1$.
- При $x \in (-\infty; -1)$, $y' < 0$, функция убывает.
- При $x \in (-1; 1)$, $y' > 0$ (кроме $x=0$), функция возрастает.
- При $x \in (1; +\infty)$, $y' < 0$, функция убывает.
$x = -1$ — точка локального минимума. $y(-1) = 5(-1)^3 - 3(-1)^5 = -5 + 3 = -2$.
$x = 1$ — точка локального максимума. $y(1) = 5(1)^3 - 3(1)^5 = 5 - 3 = 2$.
В точке $x=0$ производная равна нулю, но знак производной не меняется, значит, это не экстремум, а точка перегиба с горизонтальной касательной.
Промежутки выпуклости и точки перегиба.
$y'' = 30x - 60x^3 = 30x(1 - 2x^2)$.
$y'' = 0 \implies x=0$ или $1-2x^2=0 \implies x^2 = 1/2 \implies x = \pm 1/\sqrt{2} \approx \pm 0.71$.
- При $x \in (-\infty; -1/\sqrt{2})$, $y'' > 0$, график выпуклый вниз.
- При $x \in (-1/\sqrt{2}; 0)$, $y'' < 0$, график выпуклый вверх.
- При $x \in (0; 1/\sqrt{2})$, $y'' > 0$, график выпуклый вниз.
- При $x \in (1/\sqrt{2}; +\infty)$, $y'' < 0$, график выпуклый вверх.
Точки перегиба: $x=0, x=\pm 1/\sqrt{2}$.
$y(0)=0$.
$y(\pm 1/\sqrt{2}) = 5(\pm 1/(2\sqrt{2})) - 3(\pm 1/(4\sqrt{2})) = \pm (10-3)/(4\sqrt{2}) = \pm 7/(4\sqrt{2}) = \pm 7\sqrt{2}/8 \approx \pm 1.24$.
График функции симметричен относительно начала координат. Он убывает от $+\infty$ до локального минимума в $(-1, -2)$, затем возрастает, проходя через точки перегиба $(-1/\sqrt{2}, -7\sqrt{2}/8)$, $(0,0)$ и $(1/\sqrt{2}, 7\sqrt{2}/8)$, достигает локального максимума в $(1, 2)$ и затем убывает к $-\infty$.
Ответ: График функции — кривая, симметричная относительно начала координат. Точки пересечения с осями: $(-\sqrt{5/3}, 0)$, $(0, 0)$, $(\sqrt{5/3}, 0)$. Точка локального минимума: $(-1, -2)$. Точка локального максимума: $(1, 2)$. Точки перегиба: $(-1/\sqrt{2}, -7\sqrt{2}/8)$, $(0, 0)$ и $(1/\sqrt{2}, 7\sqrt{2}/8)$. При $x \to +\infty$, $y \to -\infty$; при $x \to -\infty$, $y \to +\infty$.
№31.11 (с. 122)
Условие. №31.11 (с. 122)
скриншот условия

31.11 а) $y = \frac{2x+1}{x^2+2};$
б) $y = \frac{x-2}{x^2+5}.$
Решение 1. №31.11 (с. 122)

Решение 2. №31.11 (с. 122)




Решение 3. №31.11 (с. 122)

Решение 5. №31.11 (с. 122)



Решение 6. №31.11 (с. 122)
Чтобы найти область значений функции $y = \frac{2x + 1}{x^2 + 2}$, рассмотрим это выражение как уравнение относительно $x$ при заданном значении $y$.
$y = \frac{2x + 1}{x^2 + 2}$
Поскольку знаменатель $x^2 + 2 > 0$ для любого действительного $x$, мы можем умножить обе части уравнения на $x^2 + 2$:
$y(x^2 + 2) = 2x + 1$
$yx^2 + 2y = 2x + 1$
Перенесем все члены в левую часть, чтобы получить квадратное уравнение относительно $x$:
$yx^2 - 2x + (2y - 1) = 0$
Это уравнение имеет действительные решения для $x$ тогда и только тогда, когда его дискриминант $D$ неотрицателен, то есть $D \ge 0$.
Рассмотрим два случая.
1. Если $y = 0$, уравнение становится линейным: $-2x - 1 = 0$, откуда $x = -1/2$. Это означает, что $y=0$ входит в область значений функции.
2. Если $y \neq 0$, уравнение является квадратным. Вычислим его дискриминант $D = b^2 - 4ac$:
$D = (-2)^2 - 4 \cdot y \cdot (2y - 1) = 4 - 8y^2 + 4y$
Условие $D \ge 0$ дает нам неравенство:
$4 - 8y^2 + 4y \ge 0$
Разделим обе части на -4 и сменим знак неравенства:
$2y^2 - y - 1 \le 0$
Чтобы решить это квадратное неравенство, найдем корни соответствующего уравнения $2y^2 - y - 1 = 0$:
$y_{1,2} = \frac{-(-1) \pm \sqrt{(-1)^2 - 4 \cdot 2 \cdot (-1)}}{2 \cdot 2} = \frac{1 \pm \sqrt{1 + 8}}{4} = \frac{1 \pm \sqrt{9}}{4} = \frac{1 \pm 3}{4}$
Корни уравнения: $y_1 = \frac{1 - 3}{4} = -\frac{1}{2}$ и $y_2 = \frac{1 + 3}{4} = 1$.
Так как парабола $f(y) = 2y^2 - y - 1$ направлена ветвями вверх, неравенство $2y^2 - y - 1 \le 0$ выполняется между корнями (включая корни).
Следовательно, $-\frac{1}{2} \le y \le 1$.
Этот интервал включает значение $y=0$, рассмотренное ранее. Таким образом, область значений функции — это отрезок $[-\frac{1}{2}, 1]$.
Ответ: $E(y) = [-\frac{1}{2}, 1]$.
б)Для нахождения области значений функции $y = \frac{x - 2}{x^2 + 5}$ воспользуемся аналогичным методом.
Выразим $x$ через $y$.
$y = \frac{x - 2}{x^2 + 5}$
Знаменатель $x^2 + 5$ всегда положителен, поэтому умножим обе части на него:
$y(x^2 + 5) = x - 2$
$yx^2 + 5y = x - 2$
Приведем уравнение к стандартному виду квадратного уравнения относительно $x$:
$yx^2 - x + (5y + 2) = 0$
Это уравнение должно иметь действительные решения для $x$, что возможно, если его дискриминант $D \ge 0$.
1. Если $y = 0$, уравнение становится линейным: $-x + 2 = 0$, откуда $x = 2$. Значение $y=0$ принадлежит области значений.
2. Если $y \neq 0$, уравнение является квадратным. Найдем его дискриминант:
$D = (-1)^2 - 4 \cdot y \cdot (5y + 2) = 1 - 20y^2 - 8y$
Из условия $D \ge 0$ получаем:
$1 - 20y^2 - 8y \ge 0$
Умножим на -1 и поменяем знак неравенства:
$20y^2 + 8y - 1 \le 0$
Найдем корни уравнения $20y^2 + 8y - 1 = 0$:
$y_{1,2} = \frac{-8 \pm \sqrt{8^2 - 4 \cdot 20 \cdot (-1)}}{2 \cdot 20} = \frac{-8 \pm \sqrt{64 + 80}}{40} = \frac{-8 \pm \sqrt{144}}{40} = \frac{-8 \pm 12}{40}$
Корни: $y_1 = \frac{-8 - 12}{40} = \frac{-20}{40} = -\frac{1}{2}$ и $y_2 = \frac{-8 + 12}{40} = \frac{4}{40} = \frac{1}{10}$.
Парабола $f(y) = 20y^2 + 8y - 1$ направлена ветвями вверх, поэтому неравенство $20y^2 + 8y - 1 \le 0$ выполняется для значений $y$ между корнями.
Таким образом, $-\frac{1}{2} \le y \le \frac{1}{10}$.
Данный отрезок включает в себя $y=0$. Следовательно, область значений функции есть отрезок $[-\frac{1}{2}, \frac{1}{10}]$.
Ответ: $E(y) = [-\frac{1}{2}, \frac{1}{10}]$.
№31.8 (с. 122)
Условие. №31.8 (с. 122)
скриншот условия

31.8 a) $y = (x - 1)^2 (x + 2);$
б) $y = \frac{256}{9}x(x - 1)^3;$
В) $y = (x + 2)^2 (x - 3);$
Г) $y = x^3(2 - x).$
Решение 1. №31.8 (с. 122)

Решение 2. №31.8 (с. 122)





Решение 3. №31.8 (с. 122)

Решение 5. №31.8 (с. 122)






Решение 6. №31.8 (с. 122)
а)
Проведем исследование функции $y = (x - 1)^2 (x + 2)$ на монотонность и экстремумы.
1. Область определения функции — все действительные числа, $D(y) = (-\infty; +\infty)$, так как это многочлен.
2. Для удобства дифференцирования раскроем скобки: $y = (x^2 - 2x + 1)(x + 2) = x^3 + 2x^2 - 2x^2 - 4x + x + 2 = x^3 - 3x + 2$.
3. Найдем производную функции: $y' = (x^3 - 3x + 2)' = 3x^2 - 3$.
4. Найдем критические точки, приравняв производную к нулю: $y' = 0$. Получаем $3x^2 - 3 = 0$, откуда $3(x^2 - 1) = 0$, $x^2 = 1$, и соответственно $x_1 = -1, x_2 = 1$.
5. Критические точки $x = -1$ и $x = 1$ разбивают числовую ось на три интервала: $(-\infty; -1)$, $(-1; 1)$ и $(1; +\infty)$. Определим знак производной $y' = 3(x - 1)(x + 1)$ на каждом интервале. На интервале $(-\infty; -1)$ производная положительна ($y' > 0$), значит, функция возрастает. На интервале $(-1; 1)$ производная отрицательна ($y' < 0$), значит, функция убывает. На интервале $(1; +\infty)$ производная положительна ($y' > 0$), значит, функция возрастает.
6. Найдем точки экстремума. В точке $x = -1$ производная меняет знак с «+» на «−», следовательно, это точка локального максимума. Значение функции в этой точке: $y_{max} = y(-1) = (-1 - 1)^2(-1 + 2) = (-2)^2(1) = 4$. В точке $x = 1$ производная меняет знак с «−» на «+», следовательно, это точка локального минимума. Значение функции в этой точке: $y_{min} = y(1) = (1 - 1)^2(1 + 2) = 0$.
Ответ: функция возрастает на промежутках $(-\infty; -1]$ и $[1; +\infty)$, убывает на промежутке $[-1; 1]$. Точка максимума $(-1; 4)$, точка минимума $(1; 0)$.
б)
Проведем исследование функции $y = \frac{256}{9}x(x - 1)^3$.
1. Область определения функции — все действительные числа, $D(y) = (-\infty; +\infty)$.
2. Найдем производную, используя правило дифференцирования произведения $(uv)'=u'v+uv'$: $y' = (\frac{256}{9}x)'(x-1)^3 + \frac{256}{9}x((x-1)^3)' = \frac{256}{9}(x-1)^3 + \frac{256}{9}x \cdot 3(x-1)^2$.
Вынесем общий множитель $\frac{256}{9}(x-1)^2$ за скобки: $y' = \frac{256}{9}(x-1)^2((x-1)+3x) = \frac{256}{9}(x-1)^2(4x-1)$.
3. Найдем критические точки из условия $y' = 0$: $\frac{256}{9}(x-1)^2(4x-1) = 0$. Отсюда $(x-1)^2 = 0$ или $4x-1=0$. Критические точки: $x_1 = 1$, $x_2 = \frac{1}{4}$.
4. Определим знаки производной на интервалах. Знак $y'$ зависит от знака выражения $(4x-1)$, так как множитель $(x-1)^2$ неотрицателен при всех $x$. На интервале $(-\infty; \frac{1}{4})$ выражение $4x-1 < 0$, поэтому $y' < 0$ и функция убывает. На интервалах $(\frac{1}{4}; 1)$ и $(1; +\infty)$ выражение $4x-1 > 0$, поэтому $y' > 0$ и функция возрастает.
5. Найдем точки экстремума. В точке $x = \frac{1}{4}$ производная меняет знак с «−» на «+», это точка локального минимума. $y_{min} = y(\frac{1}{4}) = \frac{256}{9} \cdot \frac{1}{4} (\frac{1}{4}-1)^3 = \frac{64}{9}(-\frac{3}{4})^3 = \frac{64}{9} \cdot (-\frac{27}{64}) = -3$. В точке $x=1$ производная не меняет знак, поэтому экстремума нет. Это стационарная точка, являющаяся точкой перегиба.
Ответ: функция убывает на промежутке $(-\infty; \frac{1}{4}]$ и возрастает на промежутке $[\frac{1}{4}; +\infty)$. Точка минимума $(\frac{1}{4}; -3)$.
в)
Проведем исследование функции $y = (x + 2)^2 (x - 3)$.
1. Область определения функции — $D(y) = (-\infty; +\infty)$.
2. Найдем производную по правилу произведения: $y' = ((x+2)^2)'(x-3) + (x+2)^2(x-3)' = 2(x+2)(x-3) + (x+2)^2$.
Вынесем общий множитель $(x+2)$: $y' = (x+2)(2(x-3) + (x+2)) = (x+2)(2x-6+x+2) = (x+2)(3x-4)$.
3. Найдем критические точки из условия $y' = 0$: $(x+2)(3x-4) = 0$. Критические точки: $x_1 = -2$, $x_2 = \frac{4}{3}$.
4. Определим знаки производной $y'=(x+2)(3x-4)$. Это парабола с ветвями вверх, пересекающая ось абсцисс в точках $x=-2$ и $x=\frac{4}{3}$. Следовательно, на интервале $(-\infty; -2)$ производная $y' > 0$ (функция возрастает), на интервале $(-2; \frac{4}{3})$ производная $y' < 0$ (функция убывает), на интервале $(\frac{4}{3}; +\infty)$ производная $y' > 0$ (функция возрастает).
5. Найдем точки экстремума. В точке $x = -2$ производная меняет знак с «+» на «−», это точка локального максимума. $y_{max} = y(-2) = (-2+2)^2(-2-3) = 0$. В точке $x = \frac{4}{3}$ производная меняет знак с «−» на «+», это точка локального минимума. $y_{min} = y(\frac{4}{3}) = (\frac{4}{3}+2)^2(\frac{4}{3}-3) = (\frac{10}{3})^2(-\frac{5}{3}) = \frac{100}{9} \cdot (-\frac{5}{3}) = -\frac{500}{27}$.
Ответ: функция возрастает на промежутках $(-\infty; -2]$ и $[\frac{4}{3}; +\infty)$, убывает на промежутке $[-2; \frac{4}{3}]$. Точка максимума $(-2; 0)$, точка минимума $(\frac{4}{3}; -\frac{500}{27})$.
г)
Проведем исследование функции $y = x^3(2-x)$.
1. Область определения функции — $D(y) = (-\infty; +\infty)$.
2. Раскроем скобки: $y = 2x^3 - x^4$.
3. Найдем производную: $y' = (2x^3 - x^4)' = 6x^2 - 4x^3$.
4. Найдем критические точки из условия $y' = 0$: $6x^2 - 4x^3 = 0 \implies 2x^2(3-2x) = 0$. Критические точки: $x_1 = 0$, $x_2 = \frac{3}{2}$.
5. Определим знаки производной $y' = 2x^2(3-2x)$ на интервалах. Знак $y'$ совпадает со знаком выражения $(3-2x)$, так как множитель $2x^2 \ge 0$. На интервалах $(-\infty; 0)$ и $(0; \frac{3}{2})$ выражение $3-2x > 0$, поэтому $y' > 0$ и функция возрастает. На интервале $(\frac{3}{2}; +\infty)$ выражение $3-2x < 0$, поэтому $y' < 0$ и функция убывает.
6. Найдем точки экстремума. В точке $x = \frac{3}{2}$ производная меняет знак с «+» на «−», это точка локального максимума. $y_{max} = y(\frac{3}{2}) = (\frac{3}{2})^3 (2 - \frac{3}{2}) = \frac{27}{8} \cdot \frac{1}{2} = \frac{27}{16}$. В точке $x = 0$ производная не меняет знак, поэтому экстремума нет. Это стационарная точка, являющаяся точкой перегиба.
Ответ: функция возрастает на промежутке $(-\infty; \frac{3}{2}]$ и убывает на промежутке $[\frac{3}{2}; +\infty)$. Точка максимума $(\frac{3}{2}; \frac{27}{16})$.
№31.12 (с. 122)
Условие. №31.12 (с. 122)
скриншот условия

31.12 a) $y = \frac{x^2 + 4}{x^2 - 4}$
б) $y = \frac{x^2 + 1}{x^2 - 1}$
Решение 1. №31.12 (с. 122)

Решение 2. №31.12 (с. 122)



Решение 3. №31.12 (с. 122)

Решение 5. №31.12 (с. 122)



Решение 6. №31.12 (с. 122)
Для нахождения множества значений функции $y = \frac{x^2 + 4}{x^2 - 4}$ выразим переменную $x$ через $y$. Область определения функции: $x^2 - 4 \neq 0$, то есть $x \neq \pm 2$.
Преобразуем исходное уравнение:
$y(x^2 - 4) = x^2 + 4$
$yx^2 - 4y = x^2 + 4$
Сгруппируем члены, содержащие $x^2$:
$yx^2 - x^2 = 4y + 4$
$x^2(y - 1) = 4(y + 1)$
Если предположить, что $y=1$, то уравнение примет вид $x^2(1 - 1) = 4(1 + 1)$, что равносильно $0 = 8$. Это неверное равенство, следовательно, $y \neq 1$.
Теперь мы можем разделить обе части на $y - 1$:
$x^2 = \frac{4(y + 1)}{y - 1}$
Так как левая часть уравнения, $x^2$, не может быть отрицательной, то и правая часть должна быть неотрицательной:
$\frac{4(y + 1)}{y - 1} \ge 0$
Поскольку $4 > 0$, неравенство эквивалентно следующему:
$\frac{y + 1}{y - 1} \ge 0$
Решим это рациональное неравенство методом интервалов. Корни числителя и знаменателя: $y = -1$ и $y = 1$. Эти точки разбивают числовую прямую на три интервала: $(-\infty; -1)$, $(-1; 1)$ и $(1; +\infty)$.
Проверим знак выражения в каждом интервале:
- в интервале $(1; +\infty)$, например при $y=2$, получаем $\frac{2+1}{2-1} = 3 > 0$;
- в интервале $(-1; 1)$, например при $y=0$, получаем $\frac{0+1}{0-1} = -1 < 0$;
- в интервале $(-\infty; -1)$, например при $y=-2$, получаем $\frac{-2+1}{-2-1} = \frac{1}{3} > 0$.
Неравенство $\ge 0$ выполняется на интервалах $(-\infty; -1]$ и $(1; +\infty)$. Точка $y = -1$ (корень числителя) включается в решение, так как неравенство нестрогое. Точка $y = 1$ (корень знаменателя) исключается.
Таким образом, множество значений функции (обозначается $E(y)$) есть объединение этих промежутков.
Ответ: $E(y) = (-\infty; -1] \cup (1; +\infty)$.
б)Для нахождения множества значений функции $y = \frac{x^2 + 1}{x^2 - 1}$ поступим аналогично. Область определения функции: $x^2 - 1 \neq 0$, то есть $x \neq \pm 1$.
Выразим $x$ через $y$ из уравнения функции:
$y(x^2 - 1) = x^2 + 1$
$yx^2 - y = x^2 + 1$
$yx^2 - x^2 = y + 1$
$x^2(y - 1) = y + 1$
При $y=1$ получаем неверное равенство $0=2$, значит, $y \neq 1$. Разделим на $(y-1)$:
$x^2 = \frac{y + 1}{y - 1}$
Для существования действительного решения $x$, необходимо, чтобы правая часть была неотрицательной:
$\frac{y + 1}{y - 1} \ge 0$
Это неравенство совпадает с неравенством из предыдущего пункта. Его решение нам уже известно: $y \in (-\infty; -1] \cup (1; +\infty)$.
Это и есть множество значений данной функции.
Ответ: $E(y) = (-\infty; -1] \cup (1; +\infty)$.
№31.5 (с. 122)
Условие. №31.5 (с. 122)
скриншот условия

31.5 a) $y = x^3 - 3x^2 + 2;$
б) $y = -x^3 + 3x - 2;$
В) $y = -x^3 + 6x^2 - 5;$
Г) $y = x^3 - 3x + 2.$
Решение 1. №31.5 (с. 122)

Решение 2. №31.5 (с. 122)





Решение 3. №31.5 (с. 122)

Решение 5. №31.5 (с. 122)





Решение 6. №31.5 (с. 122)
а) $y = x^3 - 3x^2 + 2$
Для исследования функции выполним следующие шаги:
1. Область определения. Функция является многочленом, поэтому область определения — все действительные числа: $D(y) = (-\infty; +\infty)$.
2. Точки пересечения с осями координат.
- С осью OY: $x=0 \Rightarrow y = 0^3 - 3 \cdot 0^2 + 2 = 2$. Точка пересечения $(0; 2)$.
- С осью OX: $y=0 \Rightarrow x^3 - 3x^2 + 2 = 0$. Один из корней $x=1$. Разделив многочлен на $(x-1)$, получим $(x-1)(x^2-2x-2)=0$. Корни квадратного уравнения: $x = 1 \pm \sqrt{3}$. Точки пересечения: $(1; 0)$, $(1-\sqrt{3}; 0)$, $(1+\sqrt{3}; 0)$.
3. Четность и нечетность. $y(-x) = (-x)^3 - 3(-x)^2 + 2 = -x^3 - 3x^2 + 2$. Так как $y(-x) \neq y(x)$ и $y(-x) \neq -y(x)$, функция не является ни четной, ни нечетной.
4. Промежутки монотонности и точки экстремума.
Найдем первую производную: $y' = (x^3 - 3x^2 + 2)' = 3x^2 - 6x$.
Найдем критические точки, приравняв производную к нулю: $3x^2 - 6x = 0 \Rightarrow 3x(x-2)=0$. Корни: $x_1=0$, $x_2=2$.
Исследуем знак производной на интервалах $(-\infty; 0)$, $(0; 2)$, $(2; +\infty)$.
- При $x \in (-\infty; 0)$, $y' > 0$, функция возрастает.
- При $x \in (0; 2)$, $y' < 0$, функция убывает.
- При $x \in (2; +\infty)$, $y' > 0$, функция возрастает.
В точке $x=0$ производная меняет знак с «+» на «-», следовательно, это точка локального максимума. $y_{max} = y(0) = 2$.
В точке $x=2$ производная меняет знак с «-» на «+», следовательно, это точка локального минимума. $y_{min} = y(2) = 2^3 - 3 \cdot 2^2 + 2 = 8 - 12 + 2 = -2$.
5. Промежутки выпуклости и точки перегиба.
Найдем вторую производную: $y'' = (3x^2 - 6x)' = 6x - 6$.
Найдем точки возможного перегиба: $6x - 6 = 0 \Rightarrow x = 1$.
- При $x \in (-\infty; 1)$, $y'' < 0$, график функции выпуклый вверх (выпуклый).
- При $x \in (1; +\infty)$, $y'' > 0$, график функции выпуклый вниз (вогнутый).
В точке $x=1$ вторая производная меняет знак, значит, это точка перегиба. $y(1) = 1^3 - 3 \cdot 1^2 + 2 = 0$. Координаты точки перегиба $(1; 0)$.
Ответ: Функция возрастает на промежутках $(-\infty; 0]$ и $[2; +\infty)$, убывает на $[0; 2]$. Точка максимума: $(0; 2)$. Точка минимума: $(2; -2)$. График выпуклый вверх на $(-\infty; 1]$ и выпуклый вниз на $[1; +\infty)$. Точка перегиба: $(1; 0)$.
б) $y = -x^3 + 3x - 2$
1. Область определения: $D(y) = (-\infty; +\infty)$.
2. Точки пересечения с осями координат.
- С осью OY: $x=0 \Rightarrow y = -2$. Точка $(0; -2)$.
- С осью OX: $y=0 \Rightarrow -x^3 + 3x - 2 = 0$. Корни $x=1$ (кратный) и $x=-2$. Точки $(-2; 0)$ и $(1; 0)$.
3. Четность и нечетность. $y(-x) = -(-x)^3 + 3(-x) - 2 = x^3 - 3x - 2$. Функция не является ни четной, ни нечетной.
4. Промежутки монотонности и точки экстремума.
$y' = (-x^3 + 3x - 2)' = -3x^2 + 3$.
$y'=0 \Rightarrow -3x^2 + 3 = 0 \Rightarrow x^2 = 1 \Rightarrow x_1=-1, x_2=1$.
- При $x \in (-\infty; -1)$, $y' < 0$, функция убывает.
- При $x \in (-1; 1)$, $y' > 0$, функция возрастает.
- При $x \in (1; +\infty)$, $y' < 0$, функция убывает.
Точка минимума: $x=-1$, $y_{min} = y(-1) = -(-1)^3 + 3(-1) - 2 = 1 - 3 - 2 = -4$.
Точка максимума: $x=1$, $y_{max} = y(1) = -1^3 + 3(1) - 2 = 0$.
5. Промежутки выпуклости и точки перегиба.
$y'' = (-3x^2 + 3)' = -6x$.
$y''=0 \Rightarrow -6x = 0 \Rightarrow x=0$.
- При $x \in (-\infty; 0)$, $y'' > 0$, график выпуклый вниз (вогнутый).
- При $x \in (0; +\infty)$, $y'' < 0$, график выпуклый вверх (выпуклый).
Точка перегиба: $x=0$. $y(0) = -2$. Координаты $(0; -2)$.
Ответ: Функция возрастает на промежутке $[-1; 1]$, убывает на $(-\infty; -1]$ и $[1; +\infty)$. Точка минимума: $(-1; -4)$. Точка максимума: $(1; 0)$. График выпуклый вниз на $(-\infty; 0]$ и выпуклый вверх на $[0; +\infty)$. Точка перегиба: $(0; -2)$.
в) $y = -x^3 + 6x^2 - 5$
1. Область определения: $D(y) = (-\infty; +\infty)$.
2. Точки пересечения с осями координат.
- С осью OY: $x=0 \Rightarrow y = -5$. Точка $(0; -5)$.
- С осью OX: $y=0 \Rightarrow -x^3 + 6x^2 - 5 = 0$. Один из корней $x=1$. Другие корни иррациональны.
3. Четность и нечетность. $y(-x) = -(-x)^3 + 6(-x)^2 - 5 = x^3 + 6x^2 - 5$. Функция не является ни четной, ни нечетной.
4. Промежутки монотонности и точки экстремума.
$y' = (-x^3 + 6x^2 - 5)' = -3x^2 + 12x$.
$y'=0 \Rightarrow -3x^2 + 12x = 0 \Rightarrow -3x(x-4)=0$. Корни: $x_1=0$, $x_2=4$.
- При $x \in (-\infty; 0)$, $y' < 0$, функция убывает.
- При $x \in (0; 4)$, $y' > 0$, функция возрастает.
- При $x \in (4; +\infty)$, $y' < 0$, функция убывает.
Точка минимума: $x=0$, $y_{min} = y(0) = -5$.
Точка максимума: $x=4$, $y_{max} = y(4) = -(4^3) + 6(4^2) - 5 = -64 + 96 - 5 = 27$.
5. Промежутки выпуклости и точки перегиба.
$y'' = (-3x^2 + 12x)' = -6x + 12$.
$y''=0 \Rightarrow -6x + 12 = 0 \Rightarrow x=2$.
- При $x \in (-\infty; 2)$, $y'' > 0$, график выпуклый вниз (вогнутый).
- При $x \in (2; +\infty)$, $y'' < 0$, график выпуклый вверх (выпуклый).
Точка перегиба: $x=2$. $y(2) = -(2^3) + 6(2^2) - 5 = -8 + 24 - 5 = 11$. Координаты $(2; 11)$.
Ответ: Функция возрастает на промежутке $[0; 4]$, убывает на $(-\infty; 0]$ и $[4; +\infty)$. Точка минимума: $(0; -5)$. Точка максимума: $(4; 27)$. График выпуклый вниз на $(-\infty; 2]$ и выпуклый вверх на $[2; +\infty)$. Точка перегиба: $(2; 11)$.
г) $y = x^3 - 3x + 2$
1. Область определения: $D(y) = (-\infty; +\infty)$.
2. Точки пересечения с осями координат.
- С осью OY: $x=0 \Rightarrow y = 2$. Точка $(0; 2)$.
- С осью OX: $y=0 \Rightarrow x^3 - 3x + 2 = 0$. Корни $x=1$ (кратный) и $x=-2$. Точки $(-2; 0)$ и $(1; 0)$.
3. Четность и нечетность. $y(-x) = (-x)^3 - 3(-x) + 2 = -x^3 + 3x + 2$. Функция не является ни четной, ни нечетной.
4. Промежутки монотонности и точки экстремума.
$y' = (x^3 - 3x + 2)' = 3x^2 - 3$.
$y'=0 \Rightarrow 3x^2 - 3 = 0 \Rightarrow x^2 = 1 \Rightarrow x_1=-1, x_2=1$.
- При $x \in (-\infty; -1)$, $y' > 0$, функция возрастает.
- При $x \in (-1; 1)$, $y' < 0$, функция убывает.
- При $x \in (1; +\infty)$, $y' > 0$, функция возрастает.
Точка максимума: $x=-1$, $y_{max} = y(-1) = (-1)^3 - 3(-1) + 2 = -1 + 3 + 2 = 4$.
Точка минимума: $x=1$, $y_{min} = y(1) = 1^3 - 3(1) + 2 = 0$.
5. Промежутки выпуклости и точки перегиба.
$y'' = (3x^2 - 3)' = 6x$.
$y''=0 \Rightarrow 6x = 0 \Rightarrow x=0$.
- При $x \in (-\infty; 0)$, $y'' < 0$, график выпуклый вверх (выпуклый).
- При $x \in (0; +\infty)$, $y'' > 0$, график выпуклый вниз (вогнутый).
Точка перегиба: $x=0$. $y(0) = 2$. Координаты $(0; 2)$.
Ответ: Функция возрастает на промежутках $(-\infty; -1]$ и $[1; +\infty)$, убывает на $[-1; 1]$. Точка максимума: $(-1; 4)$. Точка минимума: $(1; 0)$. График выпуклый вверх на $(-\infty; 0]$ и выпуклый вниз на $[0; +\infty)$. Точка перегиба: $(0; 2)$.
№31.9 (с. 122)
Условие. №31.9 (с. 122)
скриншот условия

31.9 а) $y = \frac{x+2}{x-3};$
б) $y = \frac{3x-4}{x-2};$
В) $y = \frac{x-3}{x+1};$
Г) $y = \frac{2x+1}{x+2}.$
Решение 1. №31.9 (с. 122)

Решение 2. №31.9 (с. 122)





Решение 3. №31.9 (с. 122)

Решение 5. №31.9 (с. 122)





Решение 6. №31.9 (с. 122)
а)
Дана функция $y = \frac{x+2}{x-3}$. Это дробно-линейная функция, график которой — гипербола. Чтобы проанализировать функцию и определить ее свойства, приведем ее к виду $y = \frac{k}{x-x_0} + y_0$. Для этого выделим целую часть из дроби.
Представим числитель $x+2$ через знаменатель $x-3$:
$x+2 = (x-3) + 3 + 2 = (x-3) + 5$
Теперь подставим это выражение в исходное уравнение функции:
$y = \frac{(x-3) + 5}{x-3} = \frac{x-3}{x-3} + \frac{5}{x-3} = 1 + \frac{5}{x-3}$
Таким образом, мы получили функцию в виде $y = \frac{5}{x-3} + 1$. График этой функции получается из графика $y = \frac{5}{x}$ путем сдвига на 3 единицы вправо и на 1 единицу вверх. Асимптотами графика являются прямые $x=3$ (вертикальная) и $y=1$ (горизонтальная).
Ответ: Функцию можно представить в виде $y = \frac{5}{x-3} + 1$. График — гипербола с асимптотами $x=3$ и $y=1$.
б)
Дана функция $y = \frac{3x-4}{x-2}$. Это также дробно-линейная функция. Выделим целую часть, чтобы привести ее к каноническому виду.
Представим числитель $3x-4$ через знаменатель $x-2$:
$3x-4 = 3x - 6 + 2 = 3(x-2) + 2$
Подставим в исходное уравнение:
$y = \frac{3(x-2) + 2}{x-2} = \frac{3(x-2)}{x-2} + \frac{2}{x-2} = 3 + \frac{2}{x-2}$
Функция приведена к виду $y = \frac{2}{x-2} + 3$. Ее график — это график функции $y = \frac{2}{x}$, сдвинутый на 2 единицы вправо и на 3 единицы вверх. Асимптоты: $x=2$ и $y=3$.
Ответ: Функцию можно представить в виде $y = \frac{2}{x-2} + 3$. График — гипербола с асимптотами $x=2$ и $y=3$.
в)
Дана функция $y = \frac{x-3}{x+1}$. Выделим целую часть дроби.
Представим числитель $x-3$ через знаменатель $x+1$:
$x-3 = (x+1) - 1 - 3 = (x+1) - 4$
Подставим в исходное уравнение:
$y = \frac{(x+1) - 4}{x+1} = \frac{x+1}{x+1} - \frac{4}{x+1} = 1 - \frac{4}{x+1}$
Функция приведена к виду $y = \frac{-4}{x+1} + 1$. Ее график получается из графика $y = \frac{-4}{x}$ сдвигом на 1 единицу влево (т.к. $x+1=x-(-1)$) и на 1 единицу вверх. Асимптоты: $x=-1$ и $y=1$.
Ответ: Функцию можно представить в виде $y = \frac{-4}{x+1} + 1$. График — гипербола с асимптотами $x=-1$ и $y=1$.
г)
Дана функция $y = \frac{2x+1}{x+2}$. Выделим целую часть.
Представим числитель $2x+1$ через знаменатель $x+2$:
$2x+1 = 2x + 4 - 3 = 2(x+2) - 3$
Подставим в исходное уравнение:
$y = \frac{2(x+2) - 3}{x+2} = \frac{2(x+2)}{x+2} - \frac{3}{x+2} = 2 - \frac{3}{x+2}$
Функция приведена к виду $y = \frac{-3}{x+2} + 2$. Ее график — это график функции $y = \frac{-3}{x}$, сдвинутый на 2 единицы влево и на 2 единицы вверх. Асимптоты: $x=-2$ и $y=2$.
Ответ: Функцию можно представить в виде $y = \frac{-3}{x+2} + 2$. График — гипербола с асимптотами $x=-2$ и $y=2$.
№31.13 (с. 122)
Условие. №31.13 (с. 122)
скриншот условия

31.13 a) Постройте график функции $y = x^4 - 2x^2 + 3$.
б) При каких значениях параметра $a$ уравнение $x^4 - 2x^2 + 3 = a$ имеет три корня?
Решение 1. №31.13 (с. 122)

Решение 2. №31.13 (с. 122)


Решение 3. №31.13 (с. 122)

Решение 5. №31.13 (с. 122)


Решение 6. №31.13 (с. 122)
а) Постройте график функции $y = x^4 - 2x^2 + 3$.
Для построения графика функции проведем ее исследование.
1. Область определения.
Функция является многочленом, поэтому она определена для всех действительных чисел $x$. Область определения $D(y) = (-\infty; +\infty)$.
2. Четность.
Найдем значение функции для $-x$:
$y(-x) = (-x)^4 - 2(-x)^2 + 3 = x^4 - 2x^2 + 3 = y(x)$.
Так как $y(-x) = y(x)$, функция является четной. Ее график симметричен относительно оси ординат (оси Oy).
3. Точки пересечения с осями координат.
- С осью Oy: при $x=0$, $y = 0^4 - 2(0)^2 + 3 = 3$. Точка пересечения: $(0, 3)$.
- С осью Ox: при $y=0$, получаем уравнение $x^4 - 2x^2 + 3 = 0$.
Это биквадратное уравнение. Сделаем замену $t = x^2$, где $t \ge 0$.
$t^2 - 2t + 3 = 0$.
Дискриминант $D = b^2 - 4ac = (-2)^2 - 4 \cdot 1 \cdot 3 = 4 - 12 = -8$.
Так как $D < 0$, уравнение для $t$ не имеет действительных корней, а значит, и исходное уравнение не имеет корней. График не пересекает ось Ox.
4. Экстремумы и промежутки монотонности.
Найдем производную функции:
$y' = (x^4 - 2x^2 + 3)' = 4x^3 - 4x$.
Найдем критические точки, приравняв производную к нулю:
$4x^3 - 4x = 0$
$4x(x^2 - 1) = 0$
$4x(x - 1)(x + 1) = 0$
Критические точки: $x_1 = -1$, $x_2 = 0$, $x_3 = 1$.
Определим знаки производной на интервалах: $(-\infty, -1)$, $(-1, 0)$, $(0, 1)$, $(1, \infty)$.
- На интервале $(-\infty, -1)$: $y' < 0$, функция убывает.
- На интервале $(-1, 0)$: $y' > 0$, функция возрастает.
- На интервале $(0, 1)$: $y' < 0$, функция убывает.
- На интервале $(1, \infty)$: $y' > 0$, функция возрастает.
Таким образом, $x = -1$ и $x = 1$ являются точками минимума, а $x = 0$ — точкой локального максимума.
Найдем значения функции в этих точках:
$y_{min} = y(\pm 1) = (\pm 1)^4 - 2(\pm 1)^2 + 3 = 1 - 2 + 3 = 2$.
$y_{max} = y(0) = 0^4 - 2(0)^2 + 3 = 3$.
Точки минимума: $(-1, 2)$ и $(1, 2)$. Точка локального максимума: $(0, 3)$.
5. Построение графика.
На основе полученных данных можно построить график. Он симметричен относительно оси Oy, имеет два минимума в точках $(-1, 2)$ и $(1, 2)$ и локальный максимум в точке $(0, 3)$. График не пересекает ось Ox и имеет форму, напоминающую букву "W".
Ответ: График функции $y = x^4 - 2x^2 + 3$ — это симметричная относительно оси Oy кривая, имеющая точки минимума $(-1, 2)$, $(1, 2)$ и точку локального максимума $(0, 3)$.
б) При каких значениях параметра $a$ уравнение $x^4 - 2x^2 + 3 = a$ имеет три корня?
Число корней уравнения $x^4 - 2x^2 + 3 = a$ соответствует числу точек пересечения графика функции $y = x^4 - 2x^2 + 3$ и горизонтальной прямой $y = a$.
Проанализируем количество пересечений в зависимости от значения $a$, используя свойства графика, установленные в пункте а):
- При $a < 2$ (прямая ниже точек минимума) — нет точек пересечения (0 корней).
- При $a = 2$ (прямая касается графика в точках минимума) — 2 точки пересечения (2 корня).
- При $2 < a < 3$ (прямая между минимумами и максимумом) — 4 точки пересечения (4 корня).
- При $a = 3$ (прямая проходит через точку локального максимума) — 3 точки пересечения (3 корня). Корни в этом случае: $x=0$, $x=-\sqrt{2}$ и $x=\sqrt{2}$.
- При $a > 3$ (прямая выше локального максимума) — 2 точки пересечения (2 корня).
Уравнение имеет ровно три корня, когда прямая $y=a$ проходит через точку локального максимума графика функции.
Ответ: $a=3$.
№31.6 (с. 122)
Условие. №31.6 (с. 122)
скриншот условия

31.6 a) $y = 2x^3 + x^2 - 8x - 7;$
Б) $y = -\frac{x^3}{3} + x^2 + 3x - \frac{11}{3};$
В) $y = x^3 + x^2 - x - 1;$
Г) $y = \frac{x^3}{3} + x^2 - 3x + \frac{5}{3}.$
Решение 1. №31.6 (с. 122)

Решение 2. №31.6 (с. 122)





Решение 3. №31.6 (с. 122)

Решение 5. №31.6 (с. 122)





Решение 6. №31.6 (с. 122)
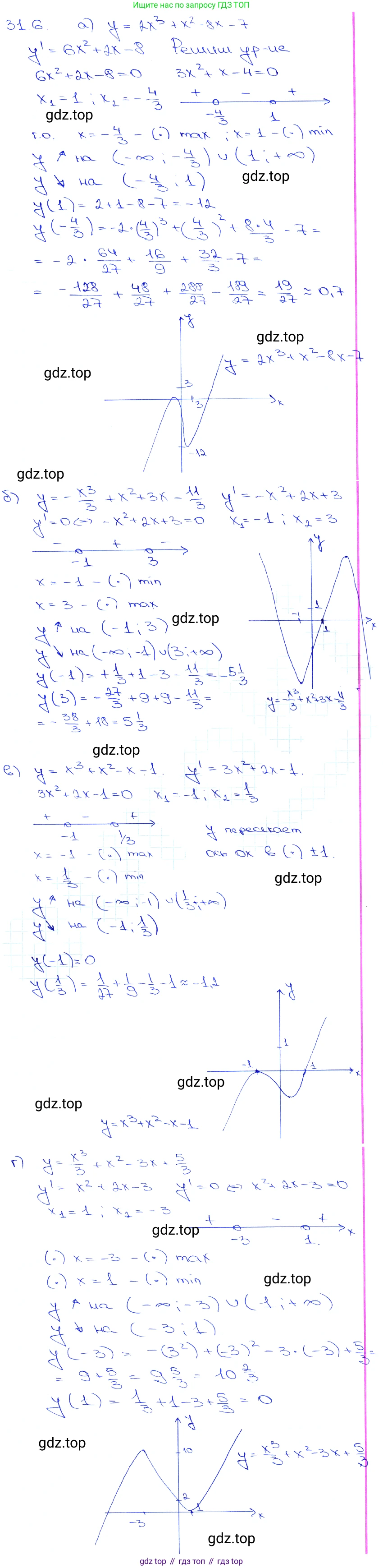
а) $y = 2x^3 + x^2 - 8x - 7$
Для исследования функции на монотонность и экстремумы найдем ее производную.
$y' = (2x^3 + x^2 - 8x - 7)' = 6x^2 + 2x - 8$.
Найдем критические точки, приравняв производную к нулю:
$6x^2 + 2x - 8 = 0$
Разделим уравнение на 2:
$3x^2 + x - 4 = 0$
Найдем корни квадратного уравнения через дискриминант:
$D = b^2 - 4ac = 1^2 - 4 \cdot 3 \cdot (-4) = 1 + 48 = 49 = 7^2$.
$x_1 = \frac{-1 - \sqrt{49}}{2 \cdot 3} = \frac{-1 - 7}{6} = -\frac{8}{6} = -\frac{4}{3}$.
$x_2 = \frac{-1 + \sqrt{49}}{2 \cdot 3} = \frac{-1 + 7}{6} = \frac{6}{6} = 1$.
Критические точки $x = -4/3$ и $x = 1$ разбивают числовую ось на три интервала. Определим знак производной на каждом из них. График производной $y' = 6x^2 + 2x - 8$ — парабола с ветвями вверх.
- При $x \in (-\infty, -4/3)$, $y' > 0$, функция возрастает.
- При $x \in (-4/3, 1)$, $y' < 0$, функция убывает.
- При $x \in (1, +\infty)$, $y' > 0$, функция возрастает.
В точке $x = -4/3$ производная меняет знак с «+» на «−», следовательно, это точка максимума. $x_{max} = -4/3$.
В точке $x = 1$ производная меняет знак с «−» на «+», следовательно, это точка минимума. $x_{min} = 1$.
Найдем значения функции в точках экстремума:
$y_{max} = y(-\frac{4}{3}) = 2(-\frac{4}{3})^3 + (-\frac{4}{3})^2 - 8(-\frac{4}{3}) - 7 = 2(-\frac{64}{27}) + \frac{16}{9} + \frac{32}{3} - 7 = \frac{-128 + 48 + 288 - 189}{27} = \frac{19}{27}$.
$y_{min} = y(1) = 2(1)^3 + 1^2 - 8(1) - 7 = 2 + 1 - 8 - 7 = -12$.
Ответ: функция возрастает на промежутках $(-\infty, -4/3]$ и $[1, +\infty)$, убывает на промежутке $[-4/3, 1]$; точка максимума $x_{max} = -4/3$, значение в максимуме $y_{max} = 19/27$; точка минимума $x_{min} = 1$, значение в минимуме $y_{min} = -12$.
б) $y = -\frac{x^3}{3} + x^2 + 3x - \frac{11}{3}$
Найдем производную функции:
$y' = (-\frac{x^3}{3} + x^2 + 3x - \frac{11}{3})' = -x^2 + 2x + 3$.
Найдем критические точки из уравнения $y' = 0$:
$-x^2 + 2x + 3 = 0$
$x^2 - 2x - 3 = 0$
По теореме Виета, корни уравнения: $x_1 = 3$, $x_2 = -1$.
Определим знаки производной. График $y' = -x^2 + 2x + 3$ — парабола с ветвями вниз.
- При $x \in (-\infty, -1)$, $y' < 0$, функция убывает.
- При $x \in (-1, 3)$, $y' > 0$, функция возрастает.
- При $x \in (3, +\infty)$, $y' < 0$, функция убывает.
В точке $x = -1$ производная меняет знак с «−» на «+», следовательно, это точка минимума. $x_{min} = -1$.
В точке $x = 3$ производная меняет знак с «+» на «−», следовательно, это точка максимума. $x_{max} = 3$.
Найдем значения функции в точках экстремума:
$y_{min} = y(-1) = -\frac{(-1)^3}{3} + (-1)^2 + 3(-1) - \frac{11}{3} = \frac{1}{3} + 1 - 3 - \frac{11}{3} = \frac{1 - 11}{3} - 2 = -\frac{10}{3} - \frac{6}{3} = -\frac{16}{3}$.
$y_{max} = y(3) = -\frac{3^3}{3} + 3^2 + 3(3) - \frac{11}{3} = -9 + 9 + 9 - \frac{11}{3} = 9 - \frac{11}{3} = \frac{27 - 11}{3} = \frac{16}{3}$.
Ответ: функция возрастает на промежутке $[-1, 3]$, убывает на промежутках $(-\infty, -1]$ и $[3, +\infty)$; точка минимума $x_{min} = -1$, значение в минимуме $y_{min} = -16/3$; точка максимума $x_{max} = 3$, значение в максимуме $y_{max} = 16/3$.
в) $y = x^3 + x^2 - x - 1$
Найдем производную функции:
$y' = (x^3 + x^2 - x - 1)' = 3x^2 + 2x - 1$.
Найдем критические точки из уравнения $y' = 0$:
$3x^2 + 2x - 1 = 0$
$D = 2^2 - 4 \cdot 3 \cdot (-1) = 4 + 12 = 16 = 4^2$.
$x_1 = \frac{-2 - 4}{6} = -1$.
$x_2 = \frac{-2 + 4}{6} = \frac{2}{6} = \frac{1}{3}$.
Определим знаки производной. График $y' = 3x^2 + 2x - 1$ — парабола с ветвями вверх.
- При $x \in (-\infty, -1)$, $y' > 0$, функция возрастает.
- При $x \in (-1, 1/3)$, $y' < 0$, функция убывает.
- При $x \in (1/3, +\infty)$, $y' > 0$, функция возрастает.
В точке $x = -1$ производная меняет знак с «+» на «−», это точка максимума. $x_{max} = -1$.
В точке $x = 1/3$ производная меняет знак с «−» на «+», это точка минимума. $x_{min} = 1/3$.
Найдем значения функции в точках экстремума:
$y_{max} = y(-1) = (-1)^3 + (-1)^2 - (-1) - 1 = -1 + 1 + 1 - 1 = 0$.
$y_{min} = y(\frac{1}{3}) = (\frac{1}{3})^3 + (\frac{1}{3})^2 - \frac{1}{3} - 1 = \frac{1}{27} + \frac{1}{9} - \frac{1}{3} - 1 = \frac{1 + 3 - 9 - 27}{27} = -\frac{32}{27}$.
Ответ: функция возрастает на промежутках $(-\infty, -1]$ и $[1/3, +\infty)$, убывает на промежутке $[-1, 1/3]$; точка максимума $x_{max} = -1$, значение в максимуме $y_{max} = 0$; точка минимума $x_{min} = 1/3$, значение в минимуме $y_{min} = -32/27$.
г) $y = \frac{x^3}{3} + x^2 - 3x + \frac{5}{3}$
Найдем производную функции:
$y' = (\frac{x^3}{3} + x^2 - 3x + \frac{5}{3})' = x^2 + 2x - 3$.
Найдем критические точки из уравнения $y' = 0$:
$x^2 + 2x - 3 = 0$
По теореме Виета, корни уравнения: $x_1 = 1$, $x_2 = -3$.
Определим знаки производной. График $y' = x^2 + 2x - 3$ — парабола с ветвями вверх.
- При $x \in (-\infty, -3)$, $y' > 0$, функция возрастает.
- При $x \in (-3, 1)$, $y' < 0$, функция убывает.
- При $x \in (1, +\infty)$, $y' > 0$, функция возрастает.
В точке $x = -3$ производная меняет знак с «+» на «−», это точка максимума. $x_{max} = -3$.
В точке $x = 1$ производная меняет знак с «−» на «+», это точка минимума. $x_{min} = 1$.
Найдем значения функции в точках экстремума:
$y_{max} = y(-3) = \frac{(-3)^3}{3} + (-3)^2 - 3(-3) + \frac{5}{3} = -9 + 9 + 9 + \frac{5}{3} = 9 + \frac{5}{3} = \frac{27+5}{3} = \frac{32}{3}$.
$y_{min} = y(1) = \frac{1^3}{3} + 1^2 - 3(1) + \frac{5}{3} = \frac{1}{3} + 1 - 3 + \frac{5}{3} = \frac{6}{3} - 2 = 2 - 2 = 0$.
Ответ: функция возрастает на промежутках $(-\infty, -3]$ и $[1, +\infty)$, убывает на промежутке $[-3, 1]$; точка максимума $x_{max} = -3$, значение в максимуме $y_{max} = 32/3$; точка минимума $x_{min} = 1$, значение в минимуме $y_{min} = 0$.
№31.10 (с. 122)
Условие. №31.10 (с. 122)
скриншот условия

31.10 a) $y = \frac{1}{x^2 + 1}$;
б) $y = \frac{-2}{x^2 + 4}$.
Решение 1. №31.10 (с. 122)

Решение 2. №31.10 (с. 122)



Решение 3. №31.10 (с. 122)

Решение 5. №31.10 (с. 122)


Решение 6. №31.10 (с. 122)
а) Чтобы найти область значений функции $y = \frac{1}{x^2 + 1}$, проанализируем её свойства.
1. Знаменатель дроби. Выражение в знаменателе $x^2 + 1$ определено для любого действительного числа $x$. Поскольку квадрат любого числа неотрицателен, то есть $x^2 \ge 0$, то знаменатель всегда будет больше или равен 1: $x^2 + 1 \ge 0 + 1 \ge 1$.
2. Значение дроби. Так как числитель равен 1 (положительное число), а знаменатель всегда $\ge 1$ (также положительное число), то значение функции $y$ всегда будет положительным, то есть $y > 0$.
3. Наибольшее значение функции. Дробь $\frac{1}{A}$ принимает наибольшее значение, когда её знаменатель $A$ принимает наименьшее значение. Наименьшее значение знаменателя $x^2 + 1$ равно 1, и оно достигается при $x=0$. Следовательно, наибольшее значение функции $y$ равно:
$y_{max} = \frac{1}{0^2 + 1} = \frac{1}{1} = 1$
4. Поведение функции при $x \to \infty$. Когда абсолютное значение $x$ стремится к бесконечности ($|x| \to \infty$), $x^2$ также стремится к бесконечности. Знаменатель $x^2+1$ неограниченно растет, а значение дроби $\frac{1}{x^2+1}$ стремится к нулю, оставаясь положительным.
Объединяя все пункты, мы получаем, что значения функции $y$ строго больше нуля и не превышают 1. Таким образом, область значений функции — это полуинтервал $(0, 1]$.
Ответ: $E(y) = (0, 1]$
б) Чтобы найти область значений функции $y = \frac{-2}{x^2 + 4}$, выполним аналогичный анализ.
1. Знаменатель дроби. Выражение в знаменателе $x^2 + 4$ определено для любого действительного числа $x$. Так как $x^2 \ge 0$, то знаменатель всегда будет больше или равен 4: $x^2 + 4 \ge 0 + 4 \ge 4$.
2. Значение дроби. Числитель равен -2 (отрицательное число), а знаменатель $x^2+4$ всегда положителен. Следовательно, значение функции $y$ всегда будет отрицательным, то есть $y < 0$.
3. Наибольшее значение функции. Для отрицательных чисел наибольшим является то, которое ближе всего к нулю (имеет наименьший модуль). Функция $y = \frac{-2}{x^2 + 4}$ примет наибольшее значение, когда модуль дроби $|\frac{-2}{x^2 + 4}| = \frac{2}{x^2 + 4}$ будет наименьшим. Это произойдет, когда знаменатель $x^2+4$ будет наибольшим. Но нам нужно найти наибольшее значение самой функции $y$. Это произойдет, когда знаменатель $x^2 + 4$ примет свое наименьшее значение. Наименьшее значение знаменателя равно 4, и оно достигается при $x=0$. Следовательно, наибольшее значение функции $y$ равно:
$y_{max} = \frac{-2}{0^2 + 4} = \frac{-2}{4} = -\frac{1}{2}$
4. Поведение функции при $x \to \infty$. Когда $|x| \to \infty$, знаменатель $x^2+4$ неограниченно растет. Значение дроби $\frac{-2}{x^2+4}$ стремится к нулю, оставаясь отрицательным.
Объединяя все пункты, мы получаем, что значения функции $y$ не превышают $-\frac{1}{2}$ и строго меньше нуля. Таким образом, область значений функции — это полуинтервал $[-\frac{1}{2}, 0)$.
Ответ: $E(y) = [-\frac{1}{2}, 0)$
№31.14 (с. 122)
Условие. №31.14 (с. 122)
скриншот условия

31.14 a) Постройте график функции $y = -x^4 + 2x^2 + 8$.
б) При каких значениях параметра $a$ уравнение $-x^4 + 2x^2 + 8 = a$ не имеет корней?
Решение 1. №31.14 (с. 122)

Решение 2. №31.14 (с. 122)


Решение 3. №31.14 (с. 122)

Решение 5. №31.14 (с. 122)


Решение 6. №31.14 (с. 122)
а)
Для построения графика функции $y = -x^4 + 2x^2 + 8$ проведем ее полное исследование.
Симметрия. Проверим функцию на четность: $y(-x) = -(-x)^4 + 2(-x)^2 + 8 = -x^4 + 2x^2 + 8 = y(x)$. Функция является четной, следовательно, ее график симметричен относительно оси ординат (оси OY).
Анализ с помощью замены переменной. Это биквадратная функция. Введем замену $t = x^2$. Поскольку $x^2 \ge 0$, то и $t \ge 0$. Функция принимает вид $y(t) = -t^2 + 2t + 8$. Это квадратичная функция, ее график — парабола с ветвями, направленными вниз.
Экстремумы функции. Найдем вершину параболы $y(t)$. Абсцисса вершины: $t_{\text{верш}} = \frac{-b}{2a} = \frac{-2}{2(-1)} = 1$. Ордината вершины: $y_{\text{верш}} = -(1)^2 + 2(1) + 8 = 9$. Вершина параболы находится в точке $(1, 9)$. Так как $t=1 \ge 0$, это значение является максимальным для функции $y(t)$. Вернемся к переменной $x$: $x^2 = t = 1$, откуда $x = \pm 1$. Таким образом, исходная функция $y(x)$ имеет две точки максимума: $(-1, 9)$ и $(1, 9)$. Это глобальные максимумы функции.
Точки пересечения с осями координат.
Пересечение с осью OY: при $x=0$, $y = -0^4 + 2(0)^2 + 8 = 8$. Точка пересечения — $(0, 8)$. Эта точка является локальным минимумом, так как находится между двумя максимумами.
Пересечение с осью OX: при $y=0$, получаем $-x^4 + 2x^2 + 8 = 0$. После замены $t=x^2$ имеем $-t^2 + 2t + 8 = 0$, или $t^2 - 2t - 8 = 0$. Корни этого уравнения: $t_1 = 4$ и $t_2 = -2$. Так как $t \ge 0$, подходит только $t_1 = 4$. Возвращаемся к $x$: $x^2 = 4$, откуда $x = \pm 2$. Точки пересечения с осью OX (нули функции): $(-2, 0)$ и $(2, 0)$.
Поведение на бесконечности. Так как старший член функции $-x^4$, то при $x \to \pm\infty$, $y \to -\infty$.
Построение графика. На основе найденных точек — максимумы $(-1, 9)$ и $(1, 9)$, локальный минимум $(0, 8)$ и нули $(-2, 0)$ и $(2, 0)$ — строим эскиз графика. График поднимается от $-\infty$, достигает максимума в $(-1, 9)$, опускается к локальному минимуму $(0, 8)$, снова поднимается к максимуму в $(1, 9)$ и уходит к $-\infty$.
Ответ: График функции $y = -x^4 + 2x^2 + 8$ — это симметричная относительно оси OY кривая, имеющая два максимума в точках $(-1, 9)$ и $(1, 9)$, локальный минимум в точке $(0, 8)$ и пересекающая ось OX в точках $(-2, 0)$ и $(2, 0)$.
б)
Рассмотрим уравнение $-x^4 + 2x^2 + 8 = a$. Число решений этого уравнения равно числу точек пересечения графика функции $y = -x^4 + 2x^2 + 8$ и горизонтальной прямой $y = a$.
В пункте а) было установлено, что наибольшее (максимальное) значение функции $y = -x^4 + 2x^2 + 8$ равно 9. Это значение достигается в точках $x=-1$ и $x=1$.
Уравнение не будет иметь корней, если прямая $y=a$ не будет пересекать график функции. Это возможно только в том случае, если прямая будет проходить выше любой точки графика. То есть значение $a$ должно быть больше максимального значения функции.
Следовательно, уравнение не имеет корней при $a > 9$.
Ответ: $a > 9$.
Помогло решение? Оставьте отзыв в комментариях ниже.