Страница 125, часть 1 - гдз по алгебре 10-11 класс задачник часть 1, 2 Мордкович, Семенов

Авторы: Мордкович А. Г., Семенов П. В., Денищева Л. О., Корешкова Т. А., Мишустина Т. Н., Тульчинская Е. Е.
Тип: Задачник
Издательство: Мнемозина
Год издания: 2019 - 2025
Уровень обучения: базовый
Часть: 1
Цвет обложки:
ISBN: 978-5-346-04509-0 (общ.), 978-5-346-04510-6 (ч. 1), 978-5-346-04511-3 (ч. 2)
Рекомендовано Министерством образования и науки Российской Федерации
Математика: алгебра и начала математического анализа, геометрия
Популярные ГДЗ в 10 классе
ч. 1. Cтраница 125

№32.12 (с. 125)
Условие. №32.12 (с. 125)
скриншот условия

32.12 Найдите наибольшее и наименьшее значения функции
$y = x + \frac{4}{x-1}$ на отрезке:
а) [2; 4];
б) [-2; 0].
Решение 1. №32.12 (с. 125)

Решение 2. №32.12 (с. 125)

Решение 3. №32.12 (с. 125)

Решение 5. №32.12 (с. 125)


Решение 6. №32.12 (с. 125)
Для нахождения наибольшего и наименьшего значений функции на замкнутом отрезке необходимо найти значения функции на концах этого отрезка и в тех критических точках, которые ему принадлежат. Затем из всех полученных значений выбрать самое большое и самое маленькое.
Дана функция: $y = x + \frac{4}{x-1}$.
Сначала найдем ее производную:
$y'(x) = \left(x + \frac{4}{x-1}\right)' = (x)' + \left(4(x-1)^{-1}\right)' = 1 + 4(-1)(x-1)^{-2} = 1 - \frac{4}{(x-1)^2}$.
Теперь найдем критические точки, приравняв производную к нулю. Производная не существует в точке $x=1$, но эта точка не входит в область определения функции.
$y'(x) = 0 \implies 1 - \frac{4}{(x-1)^2} = 0$
$(x-1)^2 = 4$
Отсюда получаем две критические точки:
$x-1 = 2 \implies x_1 = 3$
$x-1 = -2 \implies x_2 = -1$
а) Найдем наибольшее и наименьшее значения функции на отрезке $[2; 4]$.
Внутри этого отрезка лежит одна критическая точка: $x=3$.
Вычислим значения функции в этой точке и на концах отрезка, в точках $x=2$ и $x=4$:
$y(2) = 2 + \frac{4}{2-1} = 2 + 4 = 6$.
$y(3) = 3 + \frac{4}{3-1} = 3 + \frac{4}{2} = 5$.
$y(4) = 4 + \frac{4}{4-1} = 4 + \frac{4}{3} = \frac{16}{3} = 5\frac{1}{3}$.
Среди значений $\{6, 5, 5\frac{1}{3}\}$ наибольшее равно 6, а наименьшее равно 5.
Ответ: $y_{наиб}=6$, $y_{наим}=5$.
б) Найдем наибольшее и наименьшее значения функции на отрезке $[-2; 0]$.
Внутри этого отрезка лежит одна критическая точка: $x=-1$.
Вычислим значения функции в этой точке и на концах отрезка, в точках $x=-2$ и $x=0$:
$y(-2) = -2 + \frac{4}{-2-1} = -2 - \frac{4}{3} = -\frac{10}{3} = -3\frac{1}{3}$.
$y(-1) = -1 + \frac{4}{-1-1} = -1 - 2 = -3$.
$y(0) = 0 + \frac{4}{0-1} = -4$.
Среди значений $\{-3\frac{1}{3}, -3, -4\}$ наибольшее равно -3, а наименьшее равно -4.
Ответ: $y_{наиб}=-3$, $y_{наим}=-4$.
№32.16 (с. 125)
Условие. №32.16 (с. 125)
скриншот условия

32.16 a) $y = x^2 - 4x + 5 + |1 - x|$, $[0; 4];
б) $y = |x^3 - 1| - 3x$, $[-1; 3].
Решение 1. №32.16 (с. 125)

Решение 2. №32.16 (с. 125)


Решение 3. №32.16 (с. 125)

Решение 5. №32.16 (с. 125)


Решение 6. №32.16 (с. 125)
Требуется найти наибольшее и наименьшее значения функции $y = x^2 - 4x + 5 + |1 - x|$ на отрезке $[0; 4]$.
Сначала раскроем модуль. Выражение под модулем $1-x$ меняет знак в точке $x=1$. Эта точка принадлежит нашему отрезку $[0; 4]$, поэтому рассмотрим два случая.
1. При $x \in [0; 1]$ имеем $1 - x \ge 0$, следовательно $|1 - x| = 1 - x$.
Функция принимает вид: $y = x^2 - 4x + 5 + (1 - x) = x^2 - 5x + 6$.
Найдем производную: $y' = (x^2 - 5x + 6)' = 2x - 5$.
На отрезке $[0; 1]$ производная $y'$ отрицательна (например, $y'(0) = -5$, $y'(1) = -3$), значит, функция на этом отрезке убывает. Следовательно, наибольшее и наименьшее значения на этом отрезке достигаются на его концах.
$y(0) = 0^2 - 5(0) + 6 = 6$.
$y(1) = 1^2 - 5(1) + 6 = 1 - 5 + 6 = 2$.
2. При $x \in (1; 4]$ имеем $1 - x < 0$, следовательно $|1 - x| = -(1 - x) = x - 1$.
Функция принимает вид: $y = x^2 - 4x + 5 + (x - 1) = x^2 - 3x + 4$.
Найдем производную: $y' = (x^2 - 3x + 4)' = 2x - 3$.
Найдем критические точки, приравняв производную к нулю: $2x - 3 = 0 \Rightarrow x = 1.5$.
Точка $x = 1.5$ принадлежит рассматриваемому интервалу $(1; 4]$. Это точка локального минимума, так как при $x < 1.5$ производная отрицательна, а при $x > 1.5$ — положительна.
Вычислим значение функции в этой точке и на конце отрезка $x=4$.
$y(1.5) = (1.5)^2 - 3(1.5) + 4 = 2.25 - 4.5 + 4 = 1.75$.
$y(4) = 4^2 - 3(4) + 4 = 16 - 12 + 4 = 8$.
Теперь сравним все полученные значения функции в точках $0, 1, 1.5, 4$:
$y(0) = 6$
$y(1) = 2$
$y(1.5) = 1.75$
$y(4) = 8$
Наибольшее значение функции на отрезке $[0; 4]$ равно 8, а наименьшее — 1.75.
Ответ: наименьшее значение функции $y_{min} = 1.75$, наибольшее значение функции $y_{max} = 8$.
б)Требуется найти наибольшее и наименьшее значения функции $y = |x^3 - 1| - 3x$ на отрезке $[-1; 3]$.
Раскроем модуль. Выражение $x^3 - 1$ меняет знак в точке $x=1$. Эта точка принадлежит отрезку $[-1; 3]$, поэтому рассмотрим два случая.
1. При $x \in [-1; 1]$ имеем $x^3 - 1 \le 0$, следовательно $|x^3 - 1| = -(x^3 - 1) = 1 - x^3$.
Функция принимает вид: $y = (1 - x^3) - 3x = -x^3 - 3x + 1$.
Найдем производную: $y' = (-x^3 - 3x + 1)' = -3x^2 - 3 = -3(x^2 + 1)$.
Так как $x^2 + 1 > 0$ для всех $x$, то производная $y'$ всегда отрицательна. Это значит, что функция на отрезке $[-1; 1]$ монотонно убывает. Наибольшее и наименьшее значения достигаются на концах отрезка.
$y(-1) = -(-1)^3 - 3(-1) + 1 = 1 + 3 + 1 = 5$.
$y(1) = -(1)^3 - 3(1) + 1 = -1 - 3 + 1 = -3$.
2. При $x \in (1; 3]$ имеем $x^3 - 1 > 0$, следовательно $|x^3 - 1| = x^3 - 1$.
Функция принимает вид: $y = (x^3 - 1) - 3x = x^3 - 3x - 1$.
Найдем производную: $y' = (x^3 - 3x - 1)' = 3x^2 - 3$.
Найдем критические точки: $3x^2 - 3 = 0 \Rightarrow x^2 = 1 \Rightarrow x = \pm 1$.
Интервалу $(1; 3]$ ни одна из этих точек не принадлежит. Однако, на этом интервале $y' = 3(x^2-1) > 0$, значит, функция монотонно возрастает. Наименьшее значение будет при $x \to 1^+$, а наибольшее при $x=3$.
Мы уже знаем, что $y(1)=-3$.
Вычислим значение на правом конце отрезка:
$y(3) = 3^3 - 3(3) - 1 = 27 - 9 - 1 = 17$.
Сравним значения функции на концах исходного отрезка $[-1; 3]$ и в точке "излома" $x=1$:
$y(-1) = 5$
$y(1) = -3$
$y(3) = 17$
Наибольшее значение функции на отрезке $[-1; 3]$ равно 17, а наименьшее — -3.
Ответ: наименьшее значение функции $y_{min} = -3$, наибольшее значение функции $y_{max} = 17$.
№32.13 (с. 125)
Условие. №32.13 (с. 125)
скриншот условия

32.13 Найдите область значений функции:
a) $y = \operatorname{ctg} x + x, x \in \left[ \frac{\pi}{4}; \frac{3\pi}{4} \right];$
б) $y = 2 \sin x - x, x \in [0; \pi];$
в) $y = 2 \cos x + x, x \in \left[ -\frac{\pi}{2}; \frac{\pi}{2} \right];$
г) $y = \operatorname{tg} x - x, x \in \left[ 0; \frac{\pi}{3} \right].$
Решение 1. №32.13 (с. 125)

Решение 2. №32.13 (с. 125)


Решение 3. №32.13 (с. 125)

Решение 5. №32.13 (с. 125)




Решение 6. №32.13 (с. 125)
а) Для нахождения области значений функции $y = \text{ctg } x + x$ на отрезке $x \in [\frac{\pi}{4}; \frac{3\pi}{4}]$, мы воспользуемся производной. Функция непрерывна на данном отрезке.
1. Найдем производную функции: $y' = (\text{ctg } x + x)' = -\frac{1}{\sin^2 x} + 1$.
2. Найдем критические точки, решив уравнение $y' = 0$:
$1 - \frac{1}{\sin^2 x} = 0 \implies \sin^2 x = 1 \implies \sin x = \pm 1$.
На отрезке $[\frac{\pi}{4}; \frac{3\pi}{4}]$ этому условию удовлетворяет только точка $x = \frac{\pi}{2}$.
3. Для любого $x$ из отрезка $[\frac{\pi}{4}; \frac{3\pi}{4}]$, значение $\sin x$ находится в пределах $[\frac{\sqrt{2}}{2}; 1]$. Следовательно, $\sin^2 x \in [\frac{1}{2}; 1]$. Тогда $\frac{1}{\sin^2 x} \ge 1$, и производная $y' = 1 - \frac{1}{\sin^2 x} \le 0$ на всем отрезке. Это означает, что функция является неубывающей (монотонно убывает).
4. Поскольку функция монотонно убывает, свое наибольшее значение она принимает на левом конце отрезка, а наименьшее — на правом.
- Наибольшее значение: $y(\frac{\pi}{4}) = \text{ctg}(\frac{\pi}{4}) + \frac{\pi}{4} = 1 + \frac{\pi}{4}$.
- Наименьшее значение: $y(\frac{3\pi}{4}) = \text{ctg}(\frac{3\pi}{4}) + \frac{3\pi}{4} = -1 + \frac{3\pi}{4}$.
Таким образом, область значений функции — это отрезок от наименьшего значения до наибольшего.
Ответ: $[-1 + \frac{3\pi}{4}; 1 + \frac{\pi}{4}]$.
б) Для нахождения области значений функции $y = 2\sin x - x$ на отрезке $x \in [0; \pi]$, исследуем ее с помощью производной. Функция непрерывна на данном отрезке.
1. Найдем производную: $y' = (2\sin x - x)' = 2\cos x - 1$.
2. Найдем критические точки, приравняв производную к нулю: $2\cos x - 1 = 0 \implies \cos x = \frac{1}{2}$.
На отрезке $[0; \pi]$ решением является $x = \frac{\pi}{3}$.
3. Вычислим значения функции на концах отрезка и в критической точке:
- $y(0) = 2\sin(0) - 0 = 0$.
- $y(\pi) = 2\sin(\pi) - \pi = 0 - \pi = -\pi$.
- $y(\frac{\pi}{3}) = 2\sin(\frac{\pi}{3}) - \frac{\pi}{3} = 2 \cdot \frac{\sqrt{3}}{2} - \frac{\pi}{3} = \sqrt{3} - \frac{\pi}{3}$.
4. Сравним полученные значения. $y(0)=0$, $y(\pi) \approx -3.14$, $y(\frac{\pi}{3}) \approx 1.732 - 1.047 \approx 0.685$.
Наибольшее значение функции равно $\sqrt{3} - \frac{\pi}{3}$, а наименьшее равно $-\pi$.
Ответ: $[-\pi; \sqrt{3} - \frac{\pi}{3}]$.
в) Для нахождения области значений функции $y = 2\cos x + x$ на отрезке $x \in [-\frac{\pi}{2}; \frac{\pi}{2}]$, применим стандартный алгоритм. Функция непрерывна на данном отрезке.
1. Найдем производную: $y' = (2\cos x + x)' = -2\sin x + 1$.
2. Найдем критические точки из уравнения $y' = 0$: $-2\sin x + 1 = 0 \implies \sin x = \frac{1}{2}$.
На отрезке $[-\frac{\pi}{2}; \frac{\pi}{2}]$ решением является $x = \frac{\pi}{6}$.
3. Вычислим значения функции на концах отрезка и в критической точке:
- $y(-\frac{\pi}{2}) = 2\cos(-\frac{\pi}{2}) - \frac{\pi}{2} = 2 \cdot 0 - \frac{\pi}{2} = -\frac{\pi}{2}$.
- $y(\frac{\pi}{2}) = 2\cos(\frac{\pi}{2}) + \frac{\pi}{2} = 2 \cdot 0 + \frac{\pi}{2} = \frac{\pi}{2}$.
- $y(\frac{\pi}{6}) = 2\cos(\frac{\pi}{6}) + \frac{\pi}{6} = 2 \cdot \frac{\sqrt{3}}{2} + \frac{\pi}{6} = \sqrt{3} + \frac{\pi}{6}$.
4. Сравним значения: $y(-\frac{\pi}{2}) \approx -1.57$, $y(\frac{\pi}{2}) \approx 1.57$, $y(\frac{\pi}{6}) \approx 1.732 + 0.524 \approx 2.256$.
Наибольшее значение равно $\sqrt{3} + \frac{\pi}{6}$, а наименьшее равно $-\frac{\pi}{2}$.
Ответ: $[-\frac{\pi}{2}; \sqrt{3} + \frac{\pi}{6}]$.
г) Для нахождения области значений функции $y = \text{tg } x - x$ на отрезке $x \in [0; \frac{\pi}{3}]$, исследуем ее монотонность. Функция непрерывна на данном отрезке.
1. Найдем производную: $y' = (\text{tg } x - x)' = \frac{1}{\cos^2 x} - 1$.
2. Используя тригонометрическое тождество $1 + \text{tg}^2 x = \frac{1}{\cos^2 x}$, преобразуем производную: $y' = (1 + \text{tg}^2 x) - 1 = \text{tg}^2 x$.
3. Так как $\text{tg}^2 x \ge 0$ при всех допустимых $x$, и на интервале $(0, \frac{\pi}{3}]$ значение $\text{tg}^2 x$ строго положительно, производная $y' \ge 0$. Это означает, что функция является неубывающей (монотонно возрастает) на всем отрезке $[0; \frac{\pi}{3}]$.
4. Для монотонно возрастающей функции наименьшее значение достигается на левом конце отрезка, а наибольшее — на правом.
- Наименьшее значение: $y(0) = \text{tg}(0) - 0 = 0$.
- Наибольшее значение: $y(\frac{\pi}{3}) = \text{tg}(\frac{\pi}{3}) - \frac{\pi}{3} = \sqrt{3} - \frac{\pi}{3}$.
Следовательно, область значений функции — это отрезок от 0 до $\sqrt{3} - \frac{\pi}{3}$.
Ответ: $[0; \sqrt{3} - \frac{\pi}{3}]$.
№32.17 (с. 125)
Условие. №32.17 (с. 125)
скриншот условия

Найдите область значений функции:
32.17 a) $y = 2x - \sqrt{16x - 4}$, $x \in \left[\frac{1}{4}; \frac{17}{4}\right];$
б) $y = 2\sqrt{x - 1} - 0,5x$, $x \in [1; 10].$
Решение 1. №32.17 (с. 125)

Решение 2. №32.17 (с. 125)


Решение 3. №32.17 (с. 125)

Решение 5. №32.17 (с. 125)


Решение 6. №32.17 (с. 125)
а) Чтобы найти область значений функции $y = 2x - \sqrt{16x - 4}$ на отрезке $x \in [\frac{1}{4}; \frac{17}{4}]$, найдем ее наименьшее и наибольшее значения на этом отрезке. Поскольку функция непрерывна на данном отрезке, эти значения достигаются либо в критических точках, либо на концах отрезка.
1. Найдем производную функции:
$y' = (2x - \sqrt{16x - 4})' = 2 - \frac{1}{2\sqrt{16x - 4}} \cdot (16x - 4)' = 2 - \frac{16}{2\sqrt{16x - 4}} = 2 - \frac{8}{\sqrt{16x - 4}}$.
2. Найдем критические точки, решив уравнение $y' = 0$:
$2 - \frac{8}{\sqrt{16x - 4}} = 0$
$2\sqrt{16x - 4} = 8$
$\sqrt{16x - 4} = 4$
Возведя обе части в квадрат, получим:
$16x - 4 = 16$
$16x = 20$
$x = \frac{20}{16} = \frac{5}{4}$.
Эта точка $x = \frac{5}{4}$ принадлежит отрезку $[\frac{1}{4}; \frac{17}{4}]$. Производная не определена в точке $x = \frac{1}{4}$, которая является концом отрезка.
3. Вычислим значения функции на концах отрезка и в найденной критической точке:
- При $x = \frac{1}{4}$: $y(\frac{1}{4}) = 2(\frac{1}{4}) - \sqrt{16(\frac{1}{4}) - 4} = \frac{1}{2} - \sqrt{4 - 4} = 0.5$.
- При $x = \frac{5}{4}$: $y(\frac{5}{4}) = 2(\frac{5}{4}) - \sqrt{16(\frac{5}{4}) - 4} = \frac{5}{2} - \sqrt{20 - 4} = 2.5 - \sqrt{16} = 2.5 - 4 = -1.5$.
- При $x = \frac{17}{4}$: $y(\frac{17}{4}) = 2(\frac{17}{4}) - \sqrt{16(\frac{17}{4}) - 4} = \frac{17}{2} - \sqrt{68 - 4} = 8.5 - \sqrt{64} = 8.5 - 8 = 0.5$.
4. Сравнивая полученные значения ($0.5$, $-1.5$, $0.5$), заключаем, что наименьшее значение функции на отрезке равно $-1.5$, а наибольшее — $0.5$.
Следовательно, область значений функции есть отрезок от наименьшего до наибольшего значения.
Ответ: $[-1.5; 0.5]$.
б) Чтобы найти область значений функции $y = 2\sqrt{x-1} - 0.5x$ на отрезке $x \in [1; 10]$, найдем ее наименьшее и наибольшее значения на этом отрезке.
1. Найдем производную функции:
$y' = (2\sqrt{x-1} - 0.5x)' = 2 \cdot \frac{1}{2\sqrt{x-1}} - 0.5 = \frac{1}{\sqrt{x-1}} - 0.5$.
2. Найдем критические точки из условия $y' = 0$:
$\frac{1}{\sqrt{x-1}} - 0.5 = 0$
$\frac{1}{\sqrt{x-1}} = 0.5$
$\sqrt{x-1} = 2$
Возведя обе части в квадрат, получим:
$x - 1 = 4$
$x = 5$.
Эта точка $x = 5$ принадлежит отрезку $[1; 10]$. Производная не определена при $x=1$, что является концом отрезка.
3. Вычислим значения функции на концах отрезка и в критической точке:
- При $x = 1$: $y(1) = 2\sqrt{1-1} - 0.5(1) = 2 \cdot 0 - 0.5 = -0.5$.
- При $x = 5$: $y(5) = 2\sqrt{5-1} - 0.5(5) = 2\sqrt{4} - 2.5 = 2 \cdot 2 - 2.5 = 4 - 2.5 = 1.5$.
- При $x = 10$: $y(10) = 2\sqrt{10-1} - 0.5(10) = 2\sqrt{9} - 5 = 2 \cdot 3 - 5 = 6 - 5 = 1$.
4. Сравнивая полученные значения ($-0.5$, $1.5$, $1$), заключаем, что наименьшее значение функции равно $-0.5$, а наибольшее — $1.5$.
Таким образом, область значений функции на данном отрезке есть промежуток от наименьшего до наибольшего значения.
Ответ: $[-0.5; 1.5]$.
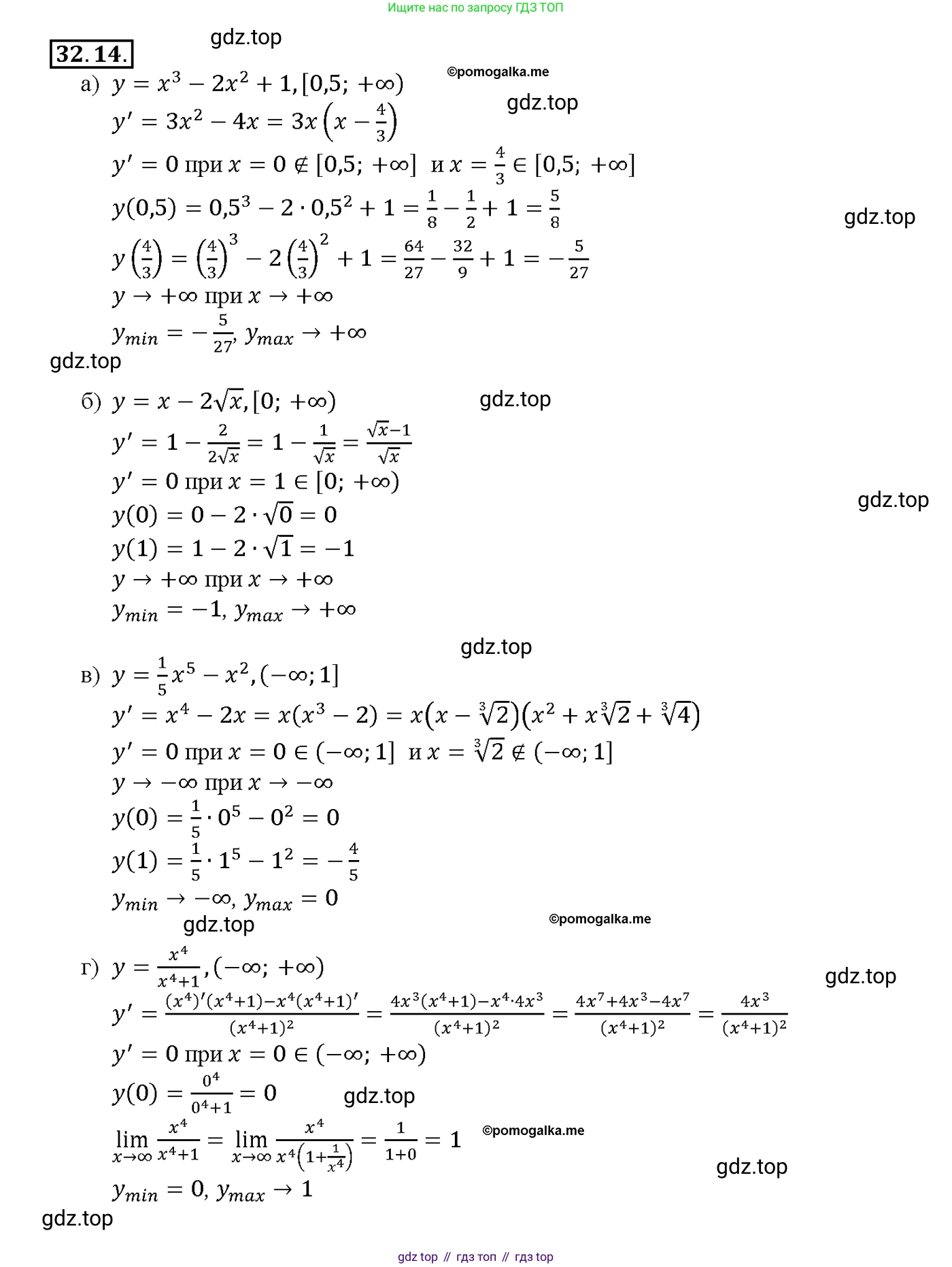
№32.14 (с. 125)
Условие. №32.14 (с. 125)
скриншот условия

Найдите наибольшее и наименьшее значения заданной функции на заданном промежутке:
32.14 а) $y = x^3 - 2x^2 + 1$, $[0,5; +\infty)$;
б) $y = x - 2\sqrt{x}$, $[0; +\infty)$;
в) $y = \frac{1}{5}x^5 - x^2$, $(-\infty; 1];$
г) $y = \frac{x^4}{x^4 + 1}$, $(-\infty; +\infty)$.
Решение 1. №32.14 (с. 125)

Решение 2. №32.14 (с. 125)


Решение 3. №32.14 (с. 125)

Решение 5. №32.14 (с. 125)



Решение 6. №32.14 (с. 125)
а) Рассмотрим функцию $y = x^3 - 2x^2 + 1$ на промежутке $[0,5; +\infty)$. Для нахождения наибольшего и наименьшего значений функции на промежутке, сначала найдем ее производную: $y' = (x^3 - 2x^2 + 1)' = 3x^2 - 4x$. Затем найдем критические точки, решив уравнение $y' = 0$: $3x^2 - 4x = 0 \implies x(3x - 4) = 0$. Критические точки: $x_1 = 0$ и $x_2 = \frac{4}{3}$. Из этих точек заданному промежутку $[0,5; +\infty)$ принадлежит только $x_2 = \frac{4}{3}$ (так как $0 < 0,5$). Вычислим значение функции в этой критической точке и на левой границе промежутка $x = 0,5$: $y(\frac{4}{3}) = (\frac{4}{3})^3 - 2(\frac{4}{3})^2 + 1 = \frac{64}{27} - 2 \cdot \frac{16}{9} + 1 = \frac{64 - 96 + 27}{27} = -\frac{5}{27}$. $y(0,5) = (0,5)^3 - 2(0,5)^2 + 1 = 0,125 - 2 \cdot 0,25 + 1 = 0,125 - 0,5 + 1 = 0,625$. Для определения наличия наибольшего значения исследуем поведение функции при $x \to +\infty$: $\lim_{x \to +\infty} (x^3 - 2x^2 + 1) = +\infty$. Так как функция неограниченно возрастает, наибольшего значения на данном промежутке не существует. Сравнивая вычисленные значения $y(\frac{4}{3}) = -\frac{5}{27}$ и $y(0,5) = 0,625$, находим, что наименьшее значение функции равно $-\frac{5}{27}$.
Ответ: наименьшее значение функции равно $-\frac{5}{27}$, наибольшего значения не существует.
б) Рассмотрим функцию $y = x - 2\sqrt{x}$ на промежутке $[0; +\infty)$. Область определения функции $x \ge 0$ совпадает с заданным промежутком. Найдем производную функции для $x>0$: $y' = (x - 2\sqrt{x})' = 1 - 2 \cdot \frac{1}{2\sqrt{x}} = 1 - \frac{1}{\sqrt{x}}$. Найдем критические точки из уравнения $y' = 0$: $1 - \frac{1}{\sqrt{x}} = 0 \implies \sqrt{x} = 1 \implies x = 1$. Критическая точка $x = 1$ принадлежит промежутку $[0; +\infty)$. Вычислим значения функции в этой точке и на границе промежутка в точке $x=0$: $y(1) = 1 - 2\sqrt{1} = 1 - 2 = -1$. $y(0) = 0 - 2\sqrt{0} = 0$. Исследуем поведение функции при $x \to +\infty$: $\lim_{x \to +\infty} (x - 2\sqrt{x}) = \lim_{x \to +\infty} \sqrt{x}(\sqrt{x} - 2) = +\infty$. Так как функция неограниченно возрастает, наибольшего значения не существует. Сравнивая значения $y(1)=-1$ и $y(0)=0$, заключаем, что наименьшее значение функции равно $-1$.
Ответ: наименьшее значение функции равно $-1$, наибольшего значения не существует.
в) Рассмотрим функцию $y = \frac{1}{5}x^5 - x^2$ на промежутке $(-\infty; 1]$. Найдем производную функции: $y' = (\frac{1}{5}x^5 - x^2)' = x^4 - 2x$. Найдем критические точки из уравнения $y' = 0$: $x^4 - 2x = 0 \implies x(x^3 - 2) = 0$. Критические точки: $x_1 = 0$ и $x_2 = \sqrt[3]{2}$. Заданному промежутку $(-\infty; 1]$ принадлежит только точка $x_1 = 0$, так как $\sqrt[3]{2} \approx 1,26 > 1$. Вычислим значение функции в критической точке $x = 0$ и на правой границе промежутка $x = 1$: $y(0) = \frac{1}{5}(0)^5 - (0)^2 = 0$. $y(1) = \frac{1}{5}(1)^5 - (1)^2 = \frac{1}{5} - 1 = -\frac{4}{5}$. Исследуем поведение функции при $x \to -\infty$: $\lim_{x \to -\infty} (\frac{1}{5}x^5 - x^2) = \lim_{x \to -\infty} x^5(\frac{1}{5} - \frac{1}{x^3}) = -\infty$. Так как функция неограниченно убывает, наименьшего значения на данном промежутке не существует. Сравнивая значения $y(0)=0$ и $y(1)=-\frac{4}{5}$, находим, что наибольшее значение функции равно $0$.
Ответ: наибольшее значение функции равно $0$, наименьшего значения не существует.
г) Рассмотрим функцию $y = \frac{x^4}{x^4 + 1}$ на промежутке $(-\infty; +\infty)$. Найдем производную функции, используя правило дифференцирования частного: $y' = \frac{(x^4)'(x^4+1) - x^4(x^4+1)'}{(x^4+1)^2} = \frac{4x^3(x^4+1) - x^4(4x^3)}{(x^4+1)^2} = \frac{4x^7 + 4x^3 - 4x^7}{(x^4+1)^2} = \frac{4x^3}{(x^4+1)^2}$. Найдем критические точки, решив уравнение $y' = 0$: $\frac{4x^3}{(x^4+1)^2} = 0 \implies 4x^3 = 0 \implies x = 0$. Вычислим значение функции в единственной критической точке $x=0$: $y(0) = \frac{0^4}{0^4 + 1} = 0$. Поскольку $x^4 \ge 0$ и $x^4 + 1 > 0$, значение функции всегда неотрицательно: $y(x) \ge 0$. Следовательно, $y(0)=0$ является наименьшим значением функции. Исследуем поведение функции на бесконечности: $\lim_{x \to \pm\infty} \frac{x^4}{x^4 + 1} = \lim_{x \to \pm\infty} \frac{x^4}{x^4(1 + \frac{1}{x^4})} = \lim_{x \to \pm\infty} \frac{1}{1 + \frac{1}{x^4}} = 1$. Функция стремится к $1$ при $x \to \pm\infty$, но никогда не достигает этого значения, так как для любого действительного $x$ числитель $x^4$ строго меньше знаменателя $x^4 + 1$. Таким образом, функция ограничена сверху числом 1, но своего наибольшего значения не достигает.
Ответ: наименьшее значение функции равно $0$, наибольшего значения не существует.
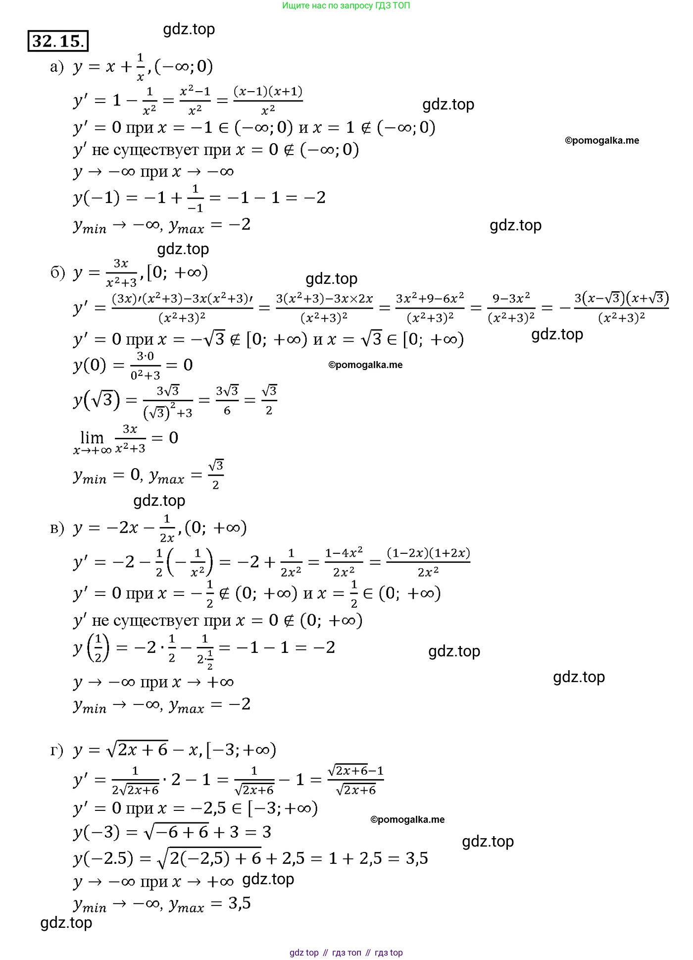
№32.15 (с. 125)
Условие. №32.15 (с. 125)
скриншот условия

32.15 a) $y = x + \frac{1}{x}$, $(-\infty; 0)$;
б) $y = \frac{3x}{x^2 + 3}$, $[0; +\infty)$;
в) $y = -2x - \frac{1}{2x}$, $(0; +\infty)$;
г) $y = \sqrt{2x + 6} - x$, $[-3; +\infty)$.
Решение 1. №32.15 (с. 125)

Решение 2. №32.15 (с. 125)



Решение 3. №32.15 (с. 125)

Решение 5. №32.15 (с. 125)



Решение 6. №32.15 (с. 125)
а) $y = x + \frac{1}{x}$, $(-\infty; 0)$
Для нахождения наибольшего и наименьшего значений функции найдем ее производную и критические точки.
1. Находим производную функции:
$y' = (x + x^{-1})' = 1 - x^{-2} = 1 - \frac{1}{x^2} = \frac{x^2 - 1}{x^2}$.
2. Находим критические точки:
Приравняем производную к нулю: $y' = 0$.
$\frac{x^2 - 1}{x^2} = 0$.
$x^2 - 1 = 0$, при условии что $x \neq 0$.
$(x - 1)(x + 1) = 0$.
Критические точки: $x_1 = 1$, $x_2 = -1$.
3. Анализ критических точек на заданном интервале:
Интервал $(-\infty; 0)$. Точка $x = 1$ не принадлежит этому интервалу. Точка $x = -1$ принадлежит.
4. Определяем знаки производной и промежутки монотонности:
- На интервале $(-\infty; -1)$, возьмем точку $x = -2$. $y'(-2) = 1 - \frac{1}{(-2)^2} = 1 - \frac{1}{4} = \frac{3}{4} > 0$. Функция возрастает. - На интервале $(-1; 0)$, возьмем точку $x = -0.5$. $y'(-0.5) = 1 - \frac{1}{(-0.5)^2} = 1 - 4 = -3 < 0$. Функция убывает.
В точке $x = -1$ производная меняет знак с «+» на «-», следовательно, это точка максимума. Найдем значение функции в этой точке: $y_{max} = y(-1) = -1 + \frac{1}{-1} = -1 - 1 = -2$.
Поскольку на интервале $(-\infty; 0)$ функция стремится к $-\infty$ при $x \to -\infty$ и при $x \to 0^{-}$, наименьшего значения у функции нет.
Ответ: наибольшее значение функции $y_{max} = -2$, наименьшего значения нет.
б) $y = \frac{3x}{x^2 + 3}$, $[0; +\infty)$
1. Находим производную функции, используя правило частного $(\frac{u}{v})' = \frac{u'v - uv'}{v^2}$:
$y' = \frac{(3x)'(x^2 + 3) - 3x(x^2 + 3)'}{(x^2 + 3)^2} = \frac{3(x^2 + 3) - 3x(2x)}{(x^2 + 3)^2} = \frac{3x^2 + 9 - 6x^2}{(x^2 + 3)^2} = \frac{9 - 3x^2}{(x^2 + 3)^2}$.
2. Находим критические точки:
$y' = 0 \Rightarrow 9 - 3x^2 = 0 \Rightarrow 3x^2 = 9 \Rightarrow x^2 = 3$.
Критические точки: $x_1 = \sqrt{3}$, $x_2 = -\sqrt{3}$.
3. Анализ критических точек на заданном интервале:
Интервал $[0; +\infty)$. Точка $x = -\sqrt{3}$ не принадлежит этому интервалу. Точка $x = \sqrt{3}$ принадлежит.
4. Определяем знаки производной и промежутки монотонности:
- На интервале $[0; \sqrt{3})$, возьмем $x = 1$. $y'(1) = \frac{9 - 3(1)^2}{(1^2+3)^2} = \frac{6}{16} > 0$. Функция возрастает. - На интервале $(\sqrt{3}; +\infty)$, возьмем $x = 2$. $y'(2) = \frac{9 - 3(2)^2}{(2^2+3)^2} = \frac{9 - 12}{49} < 0$. Функция убывает.
В точке $x = \sqrt{3}$ достигается максимум. Для нахождения наибольшего и наименьшего значений на промежутке, вычислим значения функции в критической точке и на концах промежутка.
- Значение на левой границе: $y(0) = \frac{3 \cdot 0}{0^2 + 3} = 0$.
- Значение в точке максимума: $y(\sqrt{3}) = \frac{3\sqrt{3}}{(\sqrt{3})^2 + 3} = \frac{3\sqrt{3}}{3+3} = \frac{\sqrt{3}}{2}$.
- Поведение на правой границе (бесконечность): $\lim_{x\to+\infty} \frac{3x}{x^2+3} = \lim_{x\to+\infty} \frac{3/x}{1+3/x^2} = 0$.
Сравнивая полученные значения, заключаем, что $y_{max} = \frac{\sqrt{3}}{2}$ и $y_{min} = 0$.
Ответ: наибольшее значение функции $y_{max} = \frac{\sqrt{3}}{2}$, наименьшее значение $y_{min} = 0$.
в) $y = -2x - \frac{1}{2x}$, $(0; +\infty)$
1. Находим производную функции:
$y' = (-2x - \frac{1}{2}x^{-1})' = -2 - \frac{1}{2}(-1)x^{-2} = -2 + \frac{1}{2x^2} = \frac{1 - 4x^2}{2x^2}$.
2. Находим критические точки:
$y' = 0 \Rightarrow 1 - 4x^2 = 0 \Rightarrow 4x^2 = 1 \Rightarrow x^2 = \frac{1}{4}$.
Критические точки: $x_1 = \frac{1}{2}$, $x_2 = -\frac{1}{2}$.
3. Анализ критических точек на заданном интервале:
Интервал $(0; +\infty)$. Точка $x = -\frac{1}{2}$ не принадлежит этому интервалу. Точка $x = \frac{1}{2}$ принадлежит.
4. Определяем знаки производной и промежутки монотонности:
- На интервале $(0; \frac{1}{2})$, возьмем $x = 0.1$. $y'(0.1) = -2 + \frac{1}{2(0.1)^2} = -2 + 50 = 48 > 0$. Функция возрастает. - На интервале $(\frac{1}{2}; +\infty)$, возьмем $x = 1$. $y'(1) = -2 + \frac{1}{2(1)^2} = -1.5 < 0$. Функция убывает.
В точке $x = \frac{1}{2}$ производная меняет знак с «+» на «-», значит, это точка максимума. $y_{max} = y(\frac{1}{2}) = -2(\frac{1}{2}) - \frac{1}{2(\frac{1}{2})} = -1 - 1 = -2$.
Поскольку при $x \to 0^+$ и при $x \to +\infty$ функция стремится к $-\infty$, наименьшего значения у функции нет.
Ответ: наибольшее значение функции $y_{max} = -2$, наименьшего значения нет.
г) $y = \sqrt{2x+6} - x$, $[-3; +\infty)$
Область определения функции $2x+6 \geq 0 \Rightarrow x \geq -3$, что совпадает с заданным промежутком.
1. Находим производную функции:
$y' = (\sqrt{2x+6} - x)' = \frac{1}{2\sqrt{2x+6}} \cdot (2x+6)' - 1 = \frac{2}{2\sqrt{2x+6}} - 1 = \frac{1}{\sqrt{2x+6}} - 1$.
2. Находим критические точки:
- Приравняем производную к нулю: $y' = 0 \Rightarrow \frac{1}{\sqrt{2x+6}} - 1 = 0 \Rightarrow \sqrt{2x+6} = 1$. Возводим в квадрат: $2x+6 = 1 \Rightarrow 2x = -5 \Rightarrow x = -2.5$. - Производная не определена при $2x+6=0 \Rightarrow x=-3$. Это левая граница промежутка.
3. Анализ критических точек на заданном интервале:
Точка $x = -2.5$ принадлежит интервалу $[-3; +\infty)$.
4. Определяем знаки производной и промежутки монотонности:
- На интервале $(-3; -2.5)$, возьмем $x = -2.9$. $y'(-2.9) = \frac{1}{\sqrt{2(-2.9)+6}} - 1 = \frac{1}{\sqrt{0.2}} - 1 > 0$. Функция возрастает. - На интервале $(-2.5; +\infty)$, возьмем $x = -1$. $y'(-1) = \frac{1}{\sqrt{2(-1)+6}} - 1 = \frac{1}{2} - 1 < 0$. Функция убывает.
В точке $x = -2.5$ достигается максимум. Сравним значения функции на границе промежутка и в точке максимума.
- Значение на левой границе: $y(-3) = \sqrt{2(-3)+6} - (-3) = \sqrt{0} + 3 = 3$.
- Значение в точке максимума: $y(-2.5) = \sqrt{2(-2.5)+6} - (-2.5) = \sqrt{1} + 2.5 = 3.5$.
- Поведение на бесконечности: $\lim_{x\to+\infty} (\sqrt{2x+6}-x) = -\infty$.
Следовательно, наибольшее значение функции равно $3.5$, а наименьшего значения не существует.
Ответ: наибольшее значение функции $y_{max} = 3.5$, наименьшего значения нет.
№1 (с. 125)
Условие. №1 (с. 125)
скриншот условия

1. Назовите два основных метода решения тригонометрических уравнений.
Решение 6. №1 (с. 125)
Двумя основными и наиболее универсальными методами решения тригонометрических уравнений являются метод введения новой переменной и метод разложения на множители.
1. Метод введения новой переменной (метод замены)
Этот метод применяется, когда уравнение можно привести к алгебраическому виду (например, квадратному, кубическому) относительно одной тригонометрической функции ($\sin(x)$, $\cos(x)$, $\tan(x)$ и т.д.). Суть метода заключается в замене этой функции на новую переменную (например, $t$), решении полученного алгебраического уравнения относительно $t$ и последующем выполнении обратной замены для нахождения $x$.
Пример: Решить уравнение $2\cos^2(x) + 3\cos(x) - 2 = 0$.
Шаг 1. Введем замену. Пусть $t = \cos(x)$. Поскольку значения косинуса лежат в пределах от -1 до 1, на новую переменную накладывается ограничение: $|t| \le 1$.
Шаг 2. Запишем уравнение с новой переменной. Оно становится квадратным: $2t^2 + 3t - 2 = 0$.
Шаг 3. Найдем корни квадратного уравнения. Дискриминант $D = 3^2 - 4 \cdot 2 \cdot (-2) = 9 + 16 = 25 = 5^2$. Корни: $t_1 = \frac{-3 + 5}{4} = \frac{1}{2}$ и $t_2 = \frac{-3 - 5}{4} = -2$.
Шаг 4. Проверим корни на соответствие ограничению $|t| \le 1$. Корень $t_1 = \frac{1}{2}$ подходит, так как $|\frac{1}{2}| \le 1$. Корень $t_2 = -2$ является посторонним, так как $|-2| > 1$.
Шаг 5. Выполним обратную замену для подходящего корня: $\cos(x) = \frac{1}{2}$.
Шаг 6. Решим простейшее тригонометрическое уравнение. Решения имеют вид: $x = \pm\arccos\left(\frac{1}{2}\right) + 2\pi k$, то есть $x = \pm\frac{\pi}{3} + 2\pi k$, где $k \in \mathbb{Z}$.
Ответ: Метод заключается в сведении тригонометрического уравнения к алгебраическому путем замены тригонометрической функции на новую переменную.
2. Метод разложения на множители
Этот метод используется, когда все члены уравнения можно перенести в одну сторону и разложить полученное выражение на множители. Уравнение вида $F(x) \cdot G(x) = 0$ равносильно совокупности уравнений $F(x)=0$ и $G(x)=0$ (при условии, что оба выражения определены). Это позволяет разбить одно сложное уравнение на несколько более простых.
Пример: Решить уравнение $\sin(2x) - \sqrt{3}\cos(x) = 0$.
Шаг 1. Используем формулу синуса двойного угла: $\sin(2x) = 2\sin(x)\cos(x)$. Уравнение принимает вид: $2\sin(x)\cos(x) - \sqrt{3}\cos(x) = 0$.
Шаг 2. Вынесем общий множитель $\cos(x)$ за скобки: $\cos(x)(2\sin(x) - \sqrt{3}) = 0$.
Шаг 3. Произведение равно нулю, если хотя бы один из множителей равен нулю. Перейдем к совокупности двух уравнений:
1) $\cos(x) = 0$
2) $2\sin(x) - \sqrt{3} = 0$
Шаг 4. Решим каждое уравнение отдельно.
Из $\cos(x) = 0$ следует, что $x = \frac{\pi}{2} + \pi n$, где $n \in \mathbb{Z}$.
Из $2\sin(x) - \sqrt{3} = 0$ следует, что $\sin(x) = \frac{\sqrt{3}}{2}$. Решения этого уравнения: $x = (-1)^k \arcsin\left(\frac{\sqrt{3}}{2}\right) + \pi k$, то есть $x = (-1)^k \frac{\pi}{3} + \pi k$, где $k \in \mathbb{Z}$.
Шаг 5. Решением исходного уравнения является объединение найденных серий корней.
Ответ: Метод заключается в преобразовании уравнения к виду, где произведение нескольких выражений равно нулю, что позволяет свести решение одного сложного уравнения к решению совокупности более простых.
№2 (с. 125)
Условие. №2 (с. 125)
скриншот условия

2. Объясните, как при решении уравнения $2\sin^2 x + \sin x - 1 = 0$ вы воспользуетесь методом введения новой переменной. Решите это уравнение.
Решение 6. №2 (с. 125)
Объяснение, как при решении уравнения воспользоваться методом введения новой переменной
Данное тригонометрическое уравнение $2\sin^2 x + \sin x - 1 = 0$ является квадратным относительно функции $\sin x$. Это означает, что если мы заменим выражение $\sin x$ на новую переменную, например $t$, то исходное уравнение превратится в алгебраическое квадратное уравнение, которое легко решить.
Метод введения новой переменной применяется следующим образом:
- Вводится замена: пусть $t = \sin x$.
- Поскольку $\sin^2 x$ это то же самое, что и $(\sin x)^2$, это выражение заменяется на $t^2$.
- Исходное уравнение $2\sin^2 x + \sin x - 1 = 0$ преобразуется в квадратное уравнение относительно $t$: $2t^2 + t - 1 = 0$.
- Ключевым моментом является учет области значений функции синус: $-1 \le \sin x \le 1$. Это накладывает ограничение на возможные значения новой переменной $t$: $|t| \le 1$.
- Далее решается квадратное уравнение $2t^2 + t - 1 = 0$, и из его корней выбираются только те, которые удовлетворяют условию $|t| \le 1$.
- Для каждого подходящего значения $t$ выполняется обратная замена, то есть решается простейшее тригонометрическое уравнение вида $\sin x = t$.
- Объединение всех полученных решений является окончательным ответом.
Решение уравнения
Дано уравнение: $2\sin^2 x + \sin x - 1 = 0$.
1. Введем новую переменную. Пусть $t = \sin x$. Так как область значений синуса — отрезок $[-1, 1]$, то для переменной $t$ должно выполняться условие $|t| \le 1$.
После замены исходное уравнение принимает вид квадратного уравнения:
$2t^2 + t - 1 = 0$.
2. Решим это уравнение относительно $t$. Найдем дискриминант $D$ по формуле $D = b^2 - 4ac$:
$D = 1^2 - 4 \cdot 2 \cdot (-1) = 1 + 8 = 9$.
3. Найдем корни уравнения:
$t_1 = \frac{-b + \sqrt{D}}{2a} = \frac{-1 + \sqrt{9}}{2 \cdot 2} = \frac{-1 + 3}{4} = \frac{2}{4} = \frac{1}{2}$.
$t_2 = \frac{-b - \sqrt{D}}{2a} = \frac{-1 - \sqrt{9}}{2 \cdot 2} = \frac{-1 - 3}{4} = \frac{-4}{4} = -1$.
4. Проверим, удовлетворяют ли найденные корни условию $|t| \le 1$.
- $t_1 = \frac{1}{2}$. Условие $|\frac{1}{2}| \le 1$ выполняется.
- $t_2 = -1$. Условие $|-1| \le 1$ выполняется.
Оба корня подходят для дальнейшего решения.
5. Выполним обратную замену и решим два простейших тригонометрических уравнения.
а) $\sin x = t_1 \Rightarrow \sin x = \frac{1}{2}$
Общее решение этого уравнения:
$x = (-1)^n \arcsin\left(\frac{1}{2}\right) + \pi n, n \in \mathbb{Z}$
$x = (-1)^n \frac{\pi}{6} + \pi n, n \in \mathbb{Z}$
б) $\sin x = t_2 \Rightarrow \sin x = -1$
Это частный случай тригонометрического уравнения. Его решение:
$x = -\frac{\pi}{2} + 2\pi k, k \in \mathbb{Z}$
Объединив найденные серии решений, получаем итоговый ответ.
Ответ: $x = (-1)^n \frac{\pi}{6} + \pi n, n \in \mathbb{Z}$; $x = -\frac{\pi}{2} + 2\pi k, k \in \mathbb{Z}$.
№3 (с. 125)
Условие. №3 (с. 125)
скриншот условия

3. Объясните, как при решении уравнения $2\cos^2 x - \sin x - 1 = 0$ вы воспользуетесь методом введения новой переменной. Решите это уравнение.
Решение 6. №3 (с. 125)
Для решения уравнения $2\cos^2 x - \sin x - 1 = 0$ метод введения новой переменной используется для того, чтобы свести данное тригонометрическое уравнение к стандартному алгебраическому (в данном случае — квадратному), которое легко решается.
Сначала необходимо привести уравнение к одной тригонометрической функции. В уравнении присутствуют $\cos^2 x$ и $\sin x$. Используем основное тригонометрическое тождество $\sin^2 x + \cos^2 x = 1$, из которого выразим $\cos^2 x = 1 - \sin^2 x$.
Подставим это выражение в исходное уравнение:
$2(1 - \sin^2 x) - \sin x - 1 = 0$
Раскроем скобки и приведем подобные слагаемые:
$2 - 2\sin^2 x - \sin x - 1 = 0$
$-2\sin^2 x - \sin x + 1 = 0$
Умножим обе части уравнения на $-1$, чтобы коэффициент при старшей степени стал положительным:
$2\sin^2 x + \sin x - 1 = 0$
Теперь, когда уравнение содержит только одну функцию $\sin x$, можно ввести новую переменную. Пусть $t = \sin x$. Поскольку область значений функции синуса — это отрезок $[-1, 1]$, на новую переменную накладывается ограничение: $-1 \le t \le 1$.
После замены уравнение принимает вид стандартного квадратного уравнения относительно $t$:
$2t^2 + t - 1 = 0$
Решим это квадратное уравнение с помощью дискриминанта:
$D = b^2 - 4ac = 1^2 - 4 \cdot 2 \cdot (-1) = 1 + 8 = 9$
Найдем корни уравнения для $t$:
$t_1 = \frac{-b + \sqrt{D}}{2a} = \frac{-1 + \sqrt{9}}{2 \cdot 2} = \frac{-1 + 3}{4} = \frac{2}{4} = \frac{1}{2}$
$t_2 = \frac{-b - \sqrt{D}}{2a} = \frac{-1 - \sqrt{9}}{2 \cdot 2} = \frac{-1 - 3}{4} = \frac{-4}{4} = -1$
Оба найденных корня удовлетворяют условию $-1 \le t \le 1$, поэтому оба они являются допустимыми решениями.
Выполним обратную замену для каждого из корней, чтобы найти $x$:
1) Для $t_1 = \frac{1}{2}$ получаем уравнение $\sin x = \frac{1}{2}$. Решения этого уравнения:
$x = (-1)^n \arcsin\left(\frac{1}{2}\right) + \pi n$, что соответствует $x = (-1)^n \frac{\pi}{6} + \pi n$, где $n \in \mathbb{Z}$.
2) Для $t_2 = -1$ получаем уравнение $\sin x = -1$. Это частный случай, его решение:
$x = -\frac{\pi}{2} + 2\pi k$, где $k \in \mathbb{Z}$.
Ответ: $x = (-1)^n \frac{\pi}{6} + \pi n, n \in \mathbb{Z}$; $x = -\frac{\pi}{2} + 2\pi k, k \in \mathbb{Z}$.
№4 (с. 125)
Условие. №4 (с. 125)
скриншот условия

4. Какое тригонометрическое уравнение называют однородным тригонометрическим уравнением первой степени? Опишите алгоритм его решения.
Решение 6. №4 (с. 125)
Какое тригонометрическое уравнение называют однородным тригонометрическим уравнением первой степени?
Однородным тригонометрическим уравнением первой степени называют уравнение вида:
$a \sin x + b \cos x = 0$
Здесь $x$ — переменная, а $a$ и $b$ — некоторые числовые коэффициенты, причем хотя бы один из них не равен нулю ($a^2 + b^2 \neq 0$).
Основными признаками такого уравнения являются:
- В уравнении присутствуют только синус и косинус одного и того же аргумента.
- Все члены уравнения имеют одинаковую степень — первую.
- Свободный член (число без тригонометрической функции) равен нулю.
Ответ: Однородное тригонометрическое уравнение первой степени — это уравнение вида $a \sin x + b \cos x = 0$, где $a$ и $b$ — действительные числа, не равные нулю одновременно.
Опишите алгоритм его решения.
Алгоритм решения уравнения $a \sin x + b \cos x = 0$ (при условии, что $a \neq 0$ и $b \neq 0$) состоит из следующих шагов:
- Проверка возможности деления на $\cos x$.
Для решения этого типа уравнений используется метод деления обеих частей на $\cos x$. Важно убедиться, что при этом не происходит потеря корней. Предположим, что $\cos x = 0$. Тогда из исходного уравнения следует $a \sin x + b \cdot 0 = 0$, что равносильно $a \sin x = 0$. Поскольку для тех же значений $x$, для которых $\cos x = 0$, значение $\sin x$ равно $1$ или $-1$ (согласно основному тригонометрическому тождеству $\sin^2 x + \cos^2 x = 1$), то равенство $a \sin x = 0$ может выполняться только при $a=0$. Если же $a \neq 0$, то значения $x$, при которых $\cos x = 0$, не являются корнями исходного уравнения. Это означает, что мы можем безопасно разделить обе части уравнения на $\cos x$, не теряя корней. Аналогично доказывается, что при $b \neq 0$ можно делить на $\sin x$. - Выполнение деления.
Разделим обе части уравнения $a \sin x + b \cos x = 0$ на $\cos x$:
$\frac{a \sin x}{\cos x} + \frac{b \cos x}{\cos x} = \frac{0}{\cos x}$ - Переход к уравнению с тангенсом.
Используя определение тангенса $\tan x = \frac{\sin x}{\cos x}$, преобразуем уравнение:
$a \tan x + b = 0$ - Решение простейшего уравнения относительно тангенса.
Выразим $\tan x$:
$\tan x = -\frac{b}{a}$ - Запись общего решения.
Находим значение $x$ по общей формуле для арктангенса:
$x = \arctan(-\frac{b}{a}) + \pi k, \quad k \in \mathbb{Z}$
Или, используя свойство нечетности арктангенса ($\arctan(-y) = -\arctan(y)$):
$x = -\arctan(\frac{b}{a}) + \pi k, \quad k \in \mathbb{Z}$
Примечание: Если один из коэффициентов равен нулю (например, $a=0$), уравнение становится простейшим: $b \cos x = 0 \implies \cos x = 0 \implies x = \frac{\pi}{2} + \pi k, k \in \mathbb{Z}$. Если $b=0$, то $a \sin x = 0 \implies \sin x = 0 \implies x = \pi k, k \in \mathbb{Z}$.
Ответ: Для решения уравнения $a \sin x + b \cos x = 0$ (где $a, b \neq 0$) необходимо разделить обе его части на $\cos x$ (или $\sin x$), после чего решить полученное линейное уравнение относительно $\tan x$ (или $\cot x$): $a \tan x + b = 0 \implies \tan x = -b/a \implies x = -\arctan(b/a) + \pi k$, где $k \in \mathbb{Z}$.
№5 (с. 125)
Условие. №5 (с. 125)
скриншот условия

5. Какое тригонометрическое уравнение называют однородным тригонометрическим уравнением второй степени? Опишите алгоритм его решения.
Решение 6. №5 (с. 125)
Какое тригонометрическое уравнение называют однородным тригонометрическим уравнением второй степени?
Однородным тригонометрическим уравнением второй степени называется уравнение вида $a\sin^2(x) + b\sin(x)\cos(x) + c\cos^2(x) = 0$, где $a, b, c$ – это некоторые действительные коэффициенты, причем хотя бы один из них не равен нулю.
Ключевой особенностью такого уравнения является то, что сумма степеней тригонометрических функций ($\sin(x)$ и $\cos(x)$) в каждом слагаемом одинакова и равна 2. Например, в слагаемом $a\sin^2(x)$ степень равна 2. В слагаемом $b\sin(x)\cos(x)$ степени $\sin(x)$ и $\cos(x)$ равны 1, а их сумма также равна $1+1=2$. В слагаемом $c\cos^2(x)$ степень равна 2.
Ответ: Однородным тригонометрическим уравнением второй степени называют уравнение вида $a\sin^2(x) + b\sin(x)\cos(x) + c\cos^2(x) = 0$, в котором все слагаемые имеют одинаковую степень, равную двум.
Опишите алгоритм его решения.
Стандартный метод решения такого уравнения заключается в сведении его к квадратному уравнению относительно тангенса. Алгоритм состоит из следующих шагов (рассматривается основной случай, когда коэффициент $a \neq 0$):
- Проверка возможности деления на $\cos^2(x)$.
Чтобы разделить уравнение на $\cos^2(x)$, нужно убедиться, что $\cos(x) \neq 0$ не приводит к потере корней. Предположим, что $\cos(x) = 0$ является решением. Тогда из основного тригонометрического тождества $\sin^2(x) + \cos^2(x) = 1$ следует, что $\sin^2(x) = 1$. Подставив $\cos(x) = 0$ и $\sin^2(x) = 1$ в исходное уравнение, получим: $a \cdot 1 + b \cdot \sin(x) \cdot 0 + c \cdot 0 = 0$, что равносильно $a = 0$.
Таким образом, если коэффициент $a \neq 0$, то $\cos(x)$ не может быть равен нулю, и мы можем безопасно разделить обе части уравнения на $\cos^2(x)$.
Примечание: Если $a = 0$, уравнение принимает вид $b\sin(x)\cos(x) + c\cos^2(x) = 0$. Оно решается вынесением общего множителя $\cos(x)$ за скобки: $\cos(x)(b\sin(x) + c\cos(x)) = 0$. Решение распадается на два уравнения: $\cos(x) = 0$ и $b\sin(x) + c\cos(x) = 0$ (однородное уравнение первой степени).
- Деление на $\cos^2(x)$.
Разделим каждый член уравнения $a\sin^2(x) + b\sin(x)\cos(x) + c\cos^2(x) = 0$ на $\cos^2(x)$: $a\frac{\sin^2(x)}{\cos^2(x)} + b\frac{\sin(x)\cos(x)}{\cos^2(x)} + c\frac{\cos^2(x)}{\cos^2(x)} = 0$
- Сведение к уравнению относительно $\tan(x)$.
Используя тождество $\frac{\sin(x)}{\cos(x)} = \tan(x)$, получаем уравнение: $a\tan^2(x) + b\tan(x) + c = 0$
- Введение новой переменной.
Сделаем замену $t = \tan(x)$. Уравнение превращается в стандартное квадратное уравнение относительно $t$: $at^2 + bt + c = 0$
- Решение квадратного уравнения.
Находим корни $t_1$ и $t_2$ этого уравнения (например, через дискриминант $D = b^2-4ac$), если они существуют в множестве действительных чисел.
- Обратная замена и нахождение $x$.
Возвращаемся к исходной переменной. Решаем одно или два простейших тригонометрических уравнения: $\tan(x) = t_1$ и (если есть второй корень) $\tan(x) = t_2$.
Общие решения этих уравнений записываются в виде $x = \arctan(t_1) + \pi n$ и $x = \arctan(t_2) + \pi k$, где $n, k \in \mathbb{Z}$.
Ответ: Алгоритм решения (для случая $a \neq 0$): 1. Убедиться, что $\cos(x) \neq 0$, и разделить уравнение на $\cos^2(x)$. 2. Получить квадратное уравнение относительно $\tan(x)$: $a\tan^2(x) + b\tan(x) + c = 0$. 3. Сделать замену $t = \tan(x)$ и решить квадратное уравнение $at^2 + bt + c = 0$. 4. Выполнить обратную замену и найти $x$ из простейших тригонометрических уравнений вида $\tan(x)=t$.
Помогло решение? Оставьте отзыв в комментариях ниже.