Страница 161, часть 1 - гдз по алгебре 10-11 класс задачник часть 1, 2 Мордкович, Семенов

Авторы: Мордкович А. Г., Семенов П. В., Денищева Л. О., Корешкова Т. А., Мишустина Т. Н., Тульчинская Е. Е.
Тип: Задачник
Издательство: Мнемозина
Год издания: 2019 - 2025
Уровень обучения: базовый
Часть: 1
Цвет обложки:
ISBN: 978-5-346-04509-0 (общ.), 978-5-346-04510-6 (ч. 1), 978-5-346-04511-3 (ч. 2)
Рекомендовано Министерством образования и науки Российской Федерации
Математика: алгебра и начала математического анализа, геометрия
Популярные ГДЗ в 10 классе
ч. 1. Cтраница 161

№40.8 (с. 161)
Условие. №40.8 (с. 161)
скриншот условия

40.8 a) $2^x \\left(\\frac{3}{2}\\right)^x = \\frac{1}{9}$;
Б) $\\left(\\frac{1}{5}\\right)^x \\cdot 3^x = \\sqrt{\\frac{27}{125}};
В) $5^x \\cdot 2^x = 0,1^{-3}$;
Г) $0,3^x \\cdot 3^x = \\sqrt[3]{0,81}$.
Решение 1. №40.8 (с. 161)

Решение 2. №40.8 (с. 161)


Решение 3. №40.8 (с. 161)

Решение 5. №40.8 (с. 161)


Решение 6. №40.8 (с. 161)
а) $2^x \cdot \left(\frac{3}{2}\right)^x = \frac{1}{9}$
Для решения этого показательного уравнения преобразуем обе его части так, чтобы основания степеней были одинаковыми.
Преобразуем левую часть уравнения, используя свойство степеней $a^x \cdot b^x = (a \cdot b)^x$ и $\left(\frac{a}{b}\right)^x = \frac{a^x}{b^x}$:
$2^x \cdot \left(\frac{3}{2}\right)^x = 2^x \cdot \frac{3^x}{2^x} = 3^x$.
Преобразуем правую часть уравнения. Представим $\frac{1}{9}$ в виде степени с основанием 3:
$\frac{1}{9} = \frac{1}{3^2} = 3^{-2}$.
Теперь уравнение принимает вид:
$3^x = 3^{-2}$.
Так как основания степеней равны, мы можем приравнять их показатели:
$x = -2$.
Ответ: $-2$.
б) $\left(\frac{1}{5}\right)^x \cdot 3^x = \sqrt{\frac{27}{125}}$
Преобразуем левую часть, используя свойство $a^x \cdot b^x = (a \cdot b)^x$:
$\left(\frac{1}{5} \cdot 3\right)^x = \left(\frac{3}{5}\right)^x$.
Преобразуем правую часть. Представим числа под корнем в виде степеней и воспользуемся свойством корня $\sqrt[n]{a^m} = a^{\frac{m}{n}}$:
$\sqrt{\frac{27}{125}} = \sqrt{\frac{3^3}{5^3}} = \sqrt{\left(\frac{3}{5}\right)^3} = \left(\left(\frac{3}{5}\right)^3\right)^{\frac{1}{2}} = \left(\frac{3}{5}\right)^{\frac{3}{2}}$.
Получаем уравнение:
$\left(\frac{3}{5}\right)^x = \left(\frac{3}{5}\right)^{\frac{3}{2}}$.
Приравниваем показатели степеней, так как основания равны:
$x = \frac{3}{2}$.
Ответ: $\frac{3}{2}$.
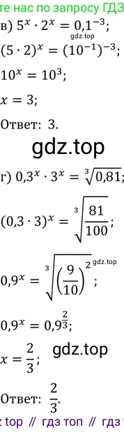
в) $5^x \cdot 2^x = 0,1^{-3}$
Упростим левую часть по свойству степеней $a^x \cdot b^x = (a \cdot b)^x$:
$(5 \cdot 2)^x = 10^x$.
Упростим правую часть. Представим десятичную дробь $0,1$ в виде степени числа 10:
$0,1 = \frac{1}{10} = 10^{-1}$.
Тогда правая часть равна:
$(0,1)^{-3} = (10^{-1})^{-3} = 10^{(-1) \cdot (-3)} = 10^3$.
Уравнение приобретает вид:
$10^x = 10^3$.
Так как основания равны, приравниваем показатели:
$x = 3$.
Ответ: $3$.
г) $0,3^x \cdot 3^x = \sqrt[3]{0,81}$
Преобразуем левую часть уравнения, используя свойство $a^x \cdot b^x = (a \cdot b)^x$:
$(0,3 \cdot 3)^x = (0,9)^x$.
Преобразуем правую часть. Представим $0,81$ как степень числа $0,9$ и воспользуемся свойством корня:
$0,81 = 0,9^2$.
$\sqrt[3]{0,81} = \sqrt[3]{0,9^2} = (0,9^2)^{\frac{1}{3}} = 0,9^{2 \cdot \frac{1}{3}} = 0,9^{\frac{2}{3}}$.
Теперь уравнение выглядит так:
$(0,9)^x = 0,9^{\frac{2}{3}}$.
Поскольку основания степеней одинаковы, их показатели также должны быть равны:
$x = \frac{2}{3}$.
Ответ: $\frac{2}{3}$.
№40.12 (с. 161)
Условие. №40.12 (с. 161)
скриншот условия

40.12 a) $27^{\sqrt{x-1}} = \sqrt{9^{x+1}};$
б) $2^{\sqrt{13-x^2}} = \sqrt{2} \cdot \sqrt{32};$
в) $3^x \cdot \left(\frac{1}{3}\right)^{\sqrt{x+1}} = 243;$
г) $(0,1^{\sqrt{x+1}})^{\sqrt{x+6}} = \frac{1}{10^6}.$
Решение 1. №40.12 (с. 161)

Решение 2. №40.12 (с. 161)


Решение 3. №40.12 (с. 161)

Решение 5. №40.12 (с. 161)




Решение 6. №40.12 (с. 161)
а) $27^{\sqrt{x-1}} = \sqrt{9^{x+1}}$
Область допустимых значений (ОДЗ) определяется условием неотрицательности подкоренного выражения: $x-1 \ge 0$, откуда $x \ge 1$.
Приведем обе части уравнения к основанию 3. Так как $27 = 3^3$ и $9 = 3^2$, уравнение принимает вид:
$(3^3)^{\sqrt{x-1}} = \sqrt{(3^2)^{x+1}}$
Используя свойства степеней $(a^m)^n = a^{mn}$ и $\sqrt{a} = a^{1/2}$, получаем:
$3^{3\sqrt{x-1}} = (3^{2(x+1)})^{1/2}$
$3^{3\sqrt{x-1}} = 3^{(x+1)}$
Поскольку основания степеней равны, приравниваем их показатели:
$3\sqrt{x-1} = x+1$
Для решения этого иррационального уравнения возведем обе части в квадрат. Поскольку при $x \ge 1$ правая часть $x+1$ всегда положительна, возведение в квадрат является равносильным преобразованием в области допустимых значений.
$(3\sqrt{x-1})^2 = (x+1)^2$
$9(x-1) = x^2 + 2x + 1$
$9x - 9 = x^2 + 2x + 1$
Приведем уравнение к стандартному квадратному виду:
$x^2 - 7x + 10 = 0$
Решим квадратное уравнение. По теореме Виета, сумма корней равна 7, а произведение равно 10. Корни уравнения: $x_1 = 2$, $x_2 = 5$.
Оба корня удовлетворяют ОДЗ ($x \ge 1$).
Проверим корни, подставив их в уравнение $3\sqrt{x-1} = x+1$.
При $x=2$: $3\sqrt{2-1} = 3\sqrt{1} = 3$, и $2+1 = 3$. Верно.
При $x=5$: $3\sqrt{5-1} = 3\sqrt{4} = 6$, и $5+1 = 6$. Верно.
Ответ: $2; 5$.
б) $2^{\sqrt{13-x^2}} = \sqrt{2} \cdot \sqrt{32}$
ОДЗ: $13-x^2 \ge 0 \implies x^2 \le 13 \implies -\sqrt{13} \le x \le \sqrt{13}$.
Упростим правую часть уравнения, используя свойства корней и степеней:
$\sqrt{2} \cdot \sqrt{32} = \sqrt{2 \cdot 32} = \sqrt{64} = 8$.
Теперь представим 8 как степень с основанием 2: $8 = 2^3$.
Уравнение принимает вид:
$2^{\sqrt{13-x^2}} = 2^3$
Приравниваем показатели степеней:
$\sqrt{13-x^2} = 3$
Возводим обе части в квадрат:
$13 - x^2 = 9$
$x^2 = 13 - 9$
$x^2 = 4$
Отсюда $x_1 = 2$ и $x_2 = -2$.
Оба корня удовлетворяют ОДЗ, так как $-\sqrt{13} \le -2 \le \sqrt{13}$ и $-\sqrt{13} \le 2 \le \sqrt{13}$.
Ответ: $-2; 2$.
в) $3^x \cdot \left(\frac{1}{3}\right)^{\sqrt{x+1}} = 243$
ОДЗ: $x+1 \ge 0 \implies x \ge -1$.
Приведем все части уравнения к основанию 3. Известно, что $\frac{1}{3} = 3^{-1}$ и $243 = 3^5$.
Уравнение переписывается в виде:
$3^x \cdot (3^{-1})^{\sqrt{x+1}} = 3^5$
Используя свойства степеней, получаем:
$3^x \cdot 3^{-\sqrt{x+1}} = 3^5$
$3^{x - \sqrt{x+1}} = 3^5$
Приравниваем показатели:
$x - \sqrt{x+1} = 5$
Выразим корень:
$\sqrt{x+1} = x - 5$
Для существования решения необходимо, чтобы правая часть была неотрицательной: $x - 5 \ge 0$, то есть $x \ge 5$. Это условие является более строгим, чем исходное ОДЗ, поэтому будем его использовать.
Возведем обе части в квадрат:
$x+1 = (x-5)^2$
$x+1 = x^2 - 10x + 25$
Приведем уравнение к стандартному виду:
$x^2 - 11x + 24 = 0$
Решим квадратное уравнение. По теореме Виета, сумма корней 11, произведение 24. Корни: $x_1 = 3$, $x_2 = 8$.
Проверим корни на соответствие условию $x \ge 5$.
$x_1 = 3$ не удовлетворяет условию $3 \ge 5$, значит, это посторонний корень.
$x_2 = 8$ удовлетворяет условию $8 \ge 5$.
Проверим корень $x=8$ в уравнении $\sqrt{x+1} = x - 5$: $\sqrt{8+1} = \sqrt{9} = 3$ и $8-5 = 3$. Верно.
Ответ: $8$.
г) $(0,1^{\sqrt{x+1}})^{\sqrt{x+6}} = \frac{1}{10^6}$
ОДЗ: $x+1 \ge 0 \implies x \ge -1$ и $x+6 \ge 0 \implies x \ge -6$. Объединяя условия, получаем $x \ge -1$.
Приведем обе части к основанию 10. Так как $0,1 = 10^{-1}$ и $\frac{1}{10^6} = 10^{-6}$, уравнение принимает вид:
$((10^{-1})^{\sqrt{x+1}})^{\sqrt{x+6}} = 10^{-6}$
Упростим левую часть по свойству степени $(a^m)^n=a^{mn}$:
$10^{-\sqrt{x+1} \cdot \sqrt{x+6}} = 10^{-6}$
Используя свойство $\sqrt{a}\sqrt{b} = \sqrt{ab}$:
$10^{-\sqrt{(x+1)(x+6)}} = 10^{-6}$
Приравниваем показатели степеней:
$-\sqrt{(x+1)(x+6)} = -6$
$\sqrt{(x+1)(x+6)} = 6$
Возведем обе части в квадрат:
$(x+1)(x+6) = 36$
$x^2 + 6x + x + 6 = 36$
$x^2 + 7x + 6 - 36 = 0$
$x^2 + 7x - 30 = 0$
Решим квадратное уравнение с помощью дискриминанта: $D = b^2 - 4ac = 7^2 - 4(1)(-30) = 49 + 120 = 169 = 13^2$.
Корни уравнения:
$x_1 = \frac{-7 + 13}{2} = \frac{6}{2} = 3$
$x_2 = \frac{-7 - 13}{2} = \frac{-20}{2} = -10$
Проверим корни на соответствие ОДЗ ($x \ge -1$).
$x_1 = 3$ удовлетворяет ОДЗ.
$x_2 = -10$ не удовлетворяет ОДЗ, является посторонним корнем.
Ответ: $3$.
№40.9 (с. 161)
Условие. №40.9 (с. 161)
скриншот условия

40.9 a) $(\sqrt{12})^x \cdot (\sqrt{3})^x = \frac{1}{6};
б) $(\sqrt[3]{3})^{2x} \cdot (\sqrt[3]{9})^{2x} = 243.
Решение 1. №40.9 (с. 161)

Решение 2. №40.9 (с. 161)

Решение 3. №40.9 (с. 161)

Решение 5. №40.9 (с. 161)

Решение 6. №40.9 (с. 161)
а)
Исходное уравнение: $(\sqrt{12})^x \cdot (\sqrt{3})^x = \frac{1}{6}$
Поскольку показатели степени у обоих множителей в левой части одинаковы, мы можем использовать свойство степени произведения $(a \cdot b)^n = a^n \cdot b^n$ в обратном порядке. Объединим основания под одним знаком степени:
$(\sqrt{12} \cdot \sqrt{3})^x = \frac{1}{6}$
Теперь упростим выражение в скобках. Используем свойство корней $\sqrt{a} \cdot \sqrt{b} = \sqrt{a \cdot b}$:
$(\sqrt{12 \cdot 3})^x = \frac{1}{6}$
$(\sqrt{36})^x = \frac{1}{6}$
Так как $\sqrt{36} = 6$, уравнение принимает вид:
$6^x = \frac{1}{6}$
Чтобы решить это показательное уравнение, представим правую часть в виде степени с основанием 6. Используем свойство $a^{-n} = \frac{1}{a^n}$:
$\frac{1}{6} = 6^{-1}$
Подставим это в уравнение:
$6^x = 6^{-1}$
Поскольку основания степеней равны, мы можем приравнять их показатели:
$x = -1$
Ответ: $x = -1$.
б)
Исходное уравнение: $(\sqrt[3]{3})^{2x} \cdot (\sqrt[3]{9})^{2x} = 243$
Аналогично пункту а), показатели степени $2x$ у множителей в левой части одинаковы. Используем свойство $(a \cdot b)^n = a^n \cdot b^n$:
$(\sqrt[3]{3} \cdot \sqrt[3]{9})^{2x} = 243$
Упростим выражение в скобках, используя свойство корней $\sqrt[n]{a} \cdot \sqrt[n]{b} = \sqrt[n]{a \cdot b}$:
$(\sqrt[3]{3 \cdot 9})^{2x} = 243$
$(\sqrt[3]{27})^{2x} = 243$
Так как кубический корень из 27 равен 3 ($\sqrt[3]{27} = 3$), уравнение упрощается до:
$3^{2x} = 243$
Теперь представим число 243 в виде степени с основанием 3:
$3^1 = 3$
$3^2 = 9$
$3^3 = 27$
$3^4 = 81$
$3^5 = 243$
Таким образом, уравнение можно переписать в виде:
$3^{2x} = 3^5$
Поскольку основания степеней равны, приравниваем их показатели:
$2x = 5$
Находим $x$:
$x = \frac{5}{2}$ или $x = 2.5$
Ответ: $x = \frac{5}{2}$.
№40.13 (с. 161)
Условие. №40.13 (с. 161)
скриншот условия

40.13 a) $3^x - 3^{x+3} = -78$;
б) $5^{2x-1} - 5^{2x-3} = 4,8$;
в) $2 \cdot \left(\frac{1}{7}\right)^{3x+7} - 7 \cdot \left(\frac{1}{7}\right)^{3x+8} = 49$;
г) $\left(\frac{1}{3}\right)^{5x-1} + \left(\frac{1}{3}\right)^{5x} = \frac{4}{9}$.
Решение 1. №40.13 (с. 161)

Решение 2. №40.13 (с. 161)


Решение 3. №40.13 (с. 161)

Решение 5. №40.13 (с. 161)


Решение 6. №40.13 (с. 161)
а)
Дано показательное уравнение $3^x - 3^{x+3} = -78$.
Для решения воспользуемся свойством степени $a^{m+n} = a^m \cdot a^n$. Преобразуем член $3^{x+3}$:
$3^{x+3} = 3^x \cdot 3^3 = 27 \cdot 3^x$.
Подставим полученное выражение в исходное уравнение:
$3^x - 27 \cdot 3^x = -78$.
Теперь можно вынести общий множитель $3^x$ за скобки:
$3^x(1 - 27) = -78$.
Выполним вычитание в скобках:
$3^x(-26) = -78$.
Чтобы найти $3^x$, разделим обе части уравнения на -26:
$3^x = \frac{-78}{-26}$.
$3^x = 3$.
Поскольку $3$ можно представить как $3^1$, получаем уравнение $3^x = 3^1$.
Так как основания степеней равны, мы можем приравнять их показатели:
$x = 1$.
Ответ: $x = 1$.
б)
Дано уравнение $5^{2x-1} - 5^{2x-3} = 4,8$.
Используя свойство степени $a^{m-n} = \frac{a^m}{a^n}$, преобразуем члены уравнения:
$5^{2x-1} = \frac{5^{2x}}{5^1} = \frac{5^{2x}}{5}$,
$5^{2x-3} = \frac{5^{2x}}{5^3} = \frac{5^{2x}}{125}$.
Подставим эти выражения в уравнение:
$\frac{5^{2x}}{5} - \frac{5^{2x}}{125} = 4,8$.
Вынесем общий множитель $5^{2x}$ за скобки:
$5^{2x}\left(\frac{1}{5} - \frac{1}{125}\right) = 4,8$.
Приведем дроби в скобках к общему знаменателю 125:
$5^{2x}\left(\frac{25}{125} - \frac{1}{125}\right) = 4,8$.
$5^{2x}\left(\frac{24}{125}\right) = 4,8$.
Представим десятичную дробь $4,8$ в виде обыкновенной: $4,8 = \frac{48}{10} = \frac{24}{5}$.
Уравнение принимает вид:
$5^{2x} \cdot \frac{24}{125} = \frac{24}{5}$.
Разделим обе части на $\frac{24}{125}$:
$5^{2x} = \frac{24}{5} \div \frac{24}{125} = \frac{24}{5} \cdot \frac{125}{24}$.
Сократим дробь на 24:
$5^{2x} = \frac{125}{5} = 25$.
Представим 25 как степень с основанием 5: $25 = 5^2$.
$5^{2x} = 5^2$.
Приравниваем показатели степеней:
$2x = 2$,
$x = 1$.
Ответ: $x = 1$.
в)
Дано уравнение $2 \cdot \left(\frac{1}{7}\right)^{3x+7} - 7 \cdot \left(\frac{1}{7}\right)^{3x+8} = 49$.
Преобразуем второй член уравнения, используя свойство $a^{m+n} = a^m \cdot a^n$:
$\left(\frac{1}{7}\right)^{3x+8} = \left(\frac{1}{7}\right)^{3x+7} \cdot \left(\frac{1}{7}\right)^1 = \frac{1}{7} \cdot \left(\frac{1}{7}\right)^{3x+7}$.
Подставим это в исходное уравнение:
$2 \cdot \left(\frac{1}{7}\right)^{3x+7} - 7 \cdot \left(\frac{1}{7} \cdot \left(\frac{1}{7}\right)^{3x+7}\right) = 49$.
Упростим второй член:
$2 \cdot \left(\frac{1}{7}\right)^{3x+7} - 1 \cdot \left(\frac{1}{7}\right)^{3x+7} = 49$.
Вынесем общий множитель $\left(\frac{1}{7}\right)^{3x+7}$ за скобки:
$\left(\frac{1}{7}\right)^{3x+7} \cdot (2 - 1) = 49$.
$\left(\frac{1}{7}\right)^{3x+7} \cdot 1 = 49$.
$\left(\frac{1}{7}\right)^{3x+7} = 49$.
Чтобы решить уравнение, приведем обе его части к одному основанию, например, к 7.
Мы знаем, что $\frac{1}{7} = 7^{-1}$ и $49 = 7^2$.
$(7^{-1})^{3x+7} = 7^2$.
По свойству $(a^m)^n = a^{mn}$:
$7^{-1 \cdot (3x+7)} = 7^2$.
$7^{-3x-7} = 7^2$.
Теперь, когда основания равны, приравниваем показатели:
$-3x - 7 = 2$.
$-3x = 9$.
$x = \frac{9}{-3} = -3$.
Ответ: $x = -3$.
г)
Дано уравнение $\left(\frac{1}{3}\right)^{5x-1} + \left(\frac{1}{3}\right)^{5x} = \frac{4}{9}$.
Преобразуем первый член уравнения, используя свойство $a^{m-n} = a^m \cdot a^{-n}$:
$\left(\frac{1}{3}\right)^{5x-1} = \left(\frac{1}{3}\right)^{5x} \cdot \left(\frac{1}{3}\right)^{-1}$.
Поскольку $\left(\frac{1}{3}\right)^{-1} = 3$, выражение становится равным $3 \cdot \left(\frac{1}{3}\right)^{5x}$.
Подставим это в уравнение:
$3 \cdot \left(\frac{1}{3}\right)^{5x} + 1 \cdot \left(\frac{1}{3}\right)^{5x} = \frac{4}{9}$.
Вынесем общий множитель $\left(\frac{1}{3}\right)^{5x}$ за скобки:
$\left(\frac{1}{3}\right)^{5x}(3+1) = \frac{4}{9}$.
$\left(\frac{1}{3}\right)^{5x} \cdot 4 = \frac{4}{9}$.
Разделим обе части на 4:
$\left(\frac{1}{3}\right)^{5x} = \frac{4}{9 \cdot 4} = \frac{1}{9}$.
Представим правую часть как степень с основанием $\frac{1}{3}$:
$\frac{1}{9} = \frac{1}{3^2} = \left(\frac{1}{3}\right)^2$.
Теперь уравнение имеет вид:
$\left(\frac{1}{3}\right)^{5x} = \left(\frac{1}{3}\right)^2$.
Приравниваем показатели степеней:
$5x = 2$.
$x = \frac{2}{5}$.
Ответ: $x = \frac{2}{5}$.
№40.6 (с. 161)
Условие. №40.6 (с. 161)
скриншот условия

40.6 a) $3^{-1-x} = \left(\frac{1}{3}\right)^{2x+3};$
б) $6^{2x-8} = 216^x;$
В) $\left(\frac{1}{6}\right)^{4x-7} = 6^{x-3};$
Г) $\left(\frac{2}{3}\right)^{8x+1} = 1,5^{2x-3}.$
Решение 1. №40.6 (с. 161)

Решение 2. №40.6 (с. 161)

Решение 3. №40.6 (с. 161)

Решение 5. №40.6 (с. 161)


Решение 6. №40.6 (с. 161)
а) Дано показательное уравнение $3^{1-x} = \left(\frac{1}{3}\right)^{2x+3}$.
Для решения необходимо привести обе части уравнения к одному основанию. Основание в левой части — 3. Основание в правой части — $\frac{1}{3}$.
Мы знаем, что $\frac{1}{3}$ можно представить как $3^{-1}$.
Подставим это в правую часть уравнения:
$\left(\frac{1}{3}\right)^{2x+3} = (3^{-1})^{2x+3}$
Применяя свойство степени $(a^m)^n = a^{mn}$, получаем:
$(3^{-1})^{2x+3} = 3^{-1 \cdot (2x+3)} = 3^{-2x-3}$
Теперь исходное уравнение можно переписать в виде:
$3^{1-x} = 3^{-2x-3}$
Поскольку основания степеней равны, мы можем приравнять их показатели:
$1-x = -2x-3$
Решим это линейное уравнение:
$2x - x = -3 - 1$
$x = -4$
Ответ: -4.
б) Дано уравнение $6^{2x-8} = 216^x$.
Приведем обе части к основанию 6. Левая часть уже имеет основание 6.
Число 216 можно представить как степень числа 6: $216 = 6 \cdot 6 \cdot 6 = 6^3$.
Подставим это в правую часть уравнения:
$216^x = (6^3)^x$
Используя свойство степени $(a^m)^n = a^{mn}$, получаем:
$(6^3)^x = 6^{3x}$
Теперь уравнение выглядит так:
$6^{2x-8} = 6^{3x}$
Так как основания равны, приравниваем показатели степеней:
$2x-8 = 3x$
Решим уравнение относительно $x$:
$-8 = 3x - 2x$
$x = -8$
Ответ: -8.
в) Дано уравнение $\left(\frac{1}{6}\right)^{4x-7} = 6^{x-3}$.
Приведем обе части уравнения к одному основанию, в данном случае к 6.
Представим основание левой части $\frac{1}{6}$ как степень числа 6: $\frac{1}{6} = 6^{-1}$.
Подставим это в левую часть:
$\left(\frac{1}{6}\right)^{4x-7} = (6^{-1})^{4x-7}$
Упростим, используя свойство $(a^m)^n = a^{mn}$:
$(6^{-1})^{4x-7} = 6^{-1 \cdot (4x-7)} = 6^{-4x+7}$
Теперь уравнение имеет вид:
$6^{-4x+7} = 6^{x-3}$
Приравниваем показатели, так как основания равны:
$-4x+7 = x-3$
Решаем линейное уравнение:
$7+3 = x+4x$
$10 = 5x$
$x = \frac{10}{5}$
$x = 2$
Ответ: 2.
г) Дано уравнение $\left(\frac{2}{3}\right)^{8x+1} = 1,5^{2x-3}$.
Приведем обе части к одному основанию. Для этого представим десятичную дробь 1,5 в виде обыкновенной:
$1,5 = \frac{15}{10} = \frac{3}{2}$
Теперь уравнение выглядит так: $\left(\frac{2}{3}\right)^{8x+1} = \left(\frac{3}{2}\right)^{2x-3}$.
Основания $\frac{2}{3}$ и $\frac{3}{2}$ являются взаимно обратными числами. Выразим одно через другое: $\frac{3}{2} = \left(\frac{2}{3}\right)^{-1}$.
Подставим это в правую часть уравнения:
$\left(\frac{3}{2}\right)^{2x-3} = \left(\left(\frac{2}{3}\right)^{-1}\right)^{2x-3}$
Применим свойство степени $(a^m)^n = a^{mn}$:
$\left(\left(\frac{2}{3}\right)^{-1}\right)^{2x-3} = \left(\frac{2}{3}\right)^{-(2x-3)} = \left(\frac{2}{3}\right)^{-2x+3}$
Теперь уравнение имеет вид:
$\left(\frac{2}{3}\right)^{8x+1} = \left(\frac{2}{3}\right)^{-2x+3}$
Поскольку основания равны, приравниваем показатели:
$8x+1 = -2x+3$
Решаем полученное уравнение:
$8x+2x = 3-1$
$10x = 2$
$x = \frac{2}{10} = \frac{1}{5} = 0,2$
Ответ: 0,2.
№40.10 (с. 161)
Условие. №40.10 (с. 161)
скриншот условия

40.10 a) $\left(\frac{\sqrt{10}}{3}\right)^{3x^2-3} = 0,81^{-2x}$;
б) $\left(\frac{\sqrt[4]{2}}{\sqrt{3}}\right)^{x^2+4} = 20,25^{x+1}$.
Решение 1. №40.10 (с. 161)

Решение 2. №40.10 (с. 161)


Решение 3. №40.10 (с. 161)

Решение 5. №40.10 (с. 161)


Решение 6. №40.10 (с. 161)
а) $(\frac{\sqrt{10}}{3})^{3x^2-3} = 0,81^{-2x}$
Для решения данного показательного уравнения необходимо привести обе его части к одному основанию. В левой части основание равно $\frac{\sqrt{10}}{3}$.
Преобразуем правую часть уравнения. Представим десятичную дробь $0,81$ в виде обыкновенной:
$0,81 = \frac{81}{100} = (\frac{9}{10})^2$.
Теперь найдем связь между основаниями $\frac{\sqrt{10}}{3}$ и $\frac{9}{10}$. Возведем основание левой части в квадрат:
$(\frac{\sqrt{10}}{3})^2 = \frac{10}{9}$.
Заметим, что $\frac{9}{10}$ является обратной дробью к $\frac{10}{9}$, то есть $\frac{9}{10} = (\frac{10}{9})^{-1}$.
Таким образом, мы можем выразить $\frac{9}{10}$ через основание левой части:
$\frac{9}{10} = ((\frac{\sqrt{10}}{3})^2)^{-1} = (\frac{\sqrt{10}}{3})^{-2}$.
Теперь подставим это выражение в правую часть исходного уравнения:
$0,81^{-2x} = ((\frac{9}{10})^2)^{-2x} = (\frac{9}{10})^{-4x} = ((\frac{\sqrt{10}}{3})^{-2})^{-4x} = (\frac{\sqrt{10}}{3})^{(-2) \cdot (-4x)} = (\frac{\sqrt{10}}{3})^{8x}$.
Исходное уравнение принимает вид:
$(\frac{\sqrt{10}}{3})^{3x^2-3} = (\frac{\sqrt{10}}{3})^{8x}$.
Поскольку основания степеней в обеих частях уравнения равны, мы можем приравнять их показатели:
$3x^2 - 3 = 8x$.
Получили квадратное уравнение. Перенесем все слагаемые в левую часть:
$3x^2 - 8x - 3 = 0$.
Решим его через дискриминант $D = b^2 - 4ac$:
$D = (-8)^2 - 4 \cdot 3 \cdot (-3) = 64 + 36 = 100$.
Корни уравнения $x_{1,2} = \frac{-b \pm \sqrt{D}}{2a}$:
$x_1 = \frac{8 + \sqrt{100}}{2 \cdot 3} = \frac{8 + 10}{6} = \frac{18}{6} = 3$.
$x_2 = \frac{8 - \sqrt{100}}{2 \cdot 3} = \frac{8 - 10}{6} = \frac{-2}{6} = -\frac{1}{3}$.
Ответ: $x_1=3, x_2=-\frac{1}{3}$.
б) $(\frac{\sqrt[4]{2}}{\sqrt{3}})^{x^2+4} = 20,25^{x+1}$
Приведем обе части уравнения к одному основанию.
Сначала преобразуем основание в левой части, используя свойства корней и степеней:
$\frac{\sqrt[4]{2}}{\sqrt{3}} = \frac{2^{1/4}}{3^{1/2}} = \frac{2^{1/4}}{(3^2)^{1/4}} = \frac{2^{1/4}}{9^{1/4}} = (\frac{2}{9})^{1/4}$.
Теперь преобразуем правую часть. Переведем десятичную дробь в обыкновенную:
$20,25 = \frac{2025}{100} = \frac{81 \cdot 25}{4 \cdot 25} = \frac{81}{4}$.
Заметим, что основание $\frac{81}{4}$ связано с основанием $\frac{2}{9}$:
$\frac{81}{4} = (\frac{9}{2})^2 = ((\frac{2}{9})^{-1})^2 = (\frac{2}{9})^{-2}$.
Подставим полученные выражения в исходное уравнение:
$((\frac{2}{9})^{1/4})^{x^2+4} = ((\frac{2}{9})^{-2})^{x+1}$.
По свойству степени $(a^m)^n = a^{mn}$ упростим обе части:
$(\frac{2}{9})^{\frac{x^2+4}{4}} = (\frac{2}{9})^{-2(x+1)}$.
Так как основания степеней равны, приравниваем их показатели:
$\frac{x^2+4}{4} = -2(x+1)$.
$\frac{x^2+4}{4} = -2x-2$.
Умножим обе части уравнения на 4, чтобы избавиться от знаменателя:
$x^2 + 4 = 4(-2x-2)$.
$x^2 + 4 = -8x - 8$.
Перенесем все слагаемые в левую часть, чтобы получить стандартное квадратное уравнение:
$x^2 + 8x + 12 = 0$.
Решим это уравнение. По теореме Виета, сумма корней $x_1 + x_2 = -8$, а их произведение $x_1 \cdot x_2 = 12$. Подбором находим корни $x_1 = -2$ и $x_2 = -6$.
Или решим через дискриминант $D = b^2 - 4ac$:
$D = 8^2 - 4 \cdot 1 \cdot 12 = 64 - 48 = 16$.
Корни уравнения $x_{1,2} = \frac{-b \pm \sqrt{D}}{2a}$:
$x_1 = \frac{-8 + \sqrt{16}}{2 \cdot 1} = \frac{-8 + 4}{2} = \frac{-4}{2} = -2$.
$x_2 = \frac{-8 - \sqrt{16}}{2 \cdot 1} = \frac{-8 - 4}{2} = \frac{-12}{2} = -6$.
Ответ: $x_1=-2, x_2=-6$.
№40.7 (с. 161)
Условие. №40.7 (с. 161)
скриншот условия

40.7 a) $3^{x^2 - 4,5} \cdot \sqrt{3} = \frac{1}{27}$;
б) $0,5^{x^2 - 5,5} \cdot \sqrt{0,5} = 32$;
в) $\sqrt{2^{-1}} \cdot 2^{x^2 - 7,5} = \frac{1}{128}$;
г) $0,1^{x^2 - 0,5} \cdot \sqrt{0,1} = 0,001$.
Решение 1. №40.7 (с. 161)

Решение 2. №40.7 (с. 161)


Решение 3. №40.7 (с. 161)

Решение 5. №40.7 (с. 161)


Решение 6. №40.7 (с. 161)
а) $3^{x^2 - 4,5} \cdot \sqrt{3} = \frac{1}{27}$
Чтобы решить это показательное уравнение, приведем все его части к одному основанию, в данном случае к основанию 3.
Представим $\sqrt{3}$ и $\frac{1}{27}$ в виде степени с основанием 3:
$\sqrt{3} = 3^{\frac{1}{2}} = 3^{0,5}$
$\frac{1}{27} = \frac{1}{3^3} = 3^{-3}$
Теперь подставим эти выражения в исходное уравнение:
$3^{x^2 - 4,5} \cdot 3^{0,5} = 3^{-3}$
Используя свойство степеней $a^m \cdot a^n = a^{m+n}$, сложим показатели в левой части:
$3^{(x^2 - 4,5) + 0,5} = 3^{-3}$
$3^{x^2 - 4} = 3^{-3}$
Так как основания степеней равны, мы можем приравнять их показатели:
$x^2 - 4 = -3$
Решим полученное квадратное уравнение:
$x^2 = 4 - 3$
$x^2 = 1$
$x = \pm \sqrt{1}$
Ответ: $x_1 = 1, x_2 = -1$.
б) $0,5^{x^2 - 5,5} \cdot \sqrt{0,5} = 32$
Приведем все части уравнения к основанию 2.
Представим $0,5$, $\sqrt{0,5}$ и $32$ в виде степени с основанием 2:
$0,5 = \frac{1}{2} = 2^{-1}$
$\sqrt{0,5} = \sqrt{\frac{1}{2}} = (2^{-1})^{\frac{1}{2}} = 2^{-0,5}$
$32 = 2^5$
Подставим эти выражения в уравнение:
$(2^{-1})^{x^2 - 5,5} \cdot 2^{-0,5} = 2^5$
Используя свойство $(a^m)^n = a^{m \cdot n}$, раскроем скобки в левой части:
$2^{-1 \cdot (x^2 - 5,5)} \cdot 2^{-0,5} = 2^5$
$2^{-x^2 + 5,5} \cdot 2^{-0,5} = 2^5$
Сложим показатели степеней в левой части:
$2^{(-x^2 + 5,5) - 0,5} = 2^5$
$2^{-x^2 + 5} = 2^5$
Приравниваем показатели степеней:
$-x^2 + 5 = 5$
Решаем уравнение:
$-x^2 = 0$
$x^2 = 0$
$x = 0$
Ответ: $x=0$.
в) $\sqrt{2^{-1}} \cdot 2^{x^2 - 7,5} = \frac{1}{128}$
Приведем все части уравнения к основанию 2.
Представим $\sqrt{2^{-1}}$ и $\frac{1}{128}$ в виде степени с основанием 2:
$\sqrt{2^{-1}} = (2^{-1})^{\frac{1}{2}} = 2^{-1 \cdot 0,5} = 2^{-0,5}$
$\frac{1}{128} = \frac{1}{2^7} = 2^{-7}$
Подставим эти выражения в уравнение:
$2^{-0,5} \cdot 2^{x^2 - 7,5} = 2^{-7}$
Сложим показатели степеней в левой части:
$2^{-0,5 + (x^2 - 7,5)} = 2^{-7}$
$2^{x^2 - 8} = 2^{-7}$
Приравниваем показатели степеней:
$x^2 - 8 = -7$
Решаем полученное квадратное уравнение:
$x^2 = 8 - 7$
$x^2 = 1$
$x = \pm \sqrt{1}$
Ответ: $x_1 = 1, x_2 = -1$.
г) $0,1^{x^2 - 0,5} \cdot \sqrt{0,1} = 0,001$
Приведем все части уравнения к основанию 0,1.
Представим $\sqrt{0,1}$ и $0,001$ в виде степени с основанием 0,1:
$\sqrt{0,1} = (0,1)^{\frac{1}{2}} = 0,1^{0,5}$
$0,001 = (0,1)^3$
Подставим эти выражения в уравнение:
$0,1^{x^2 - 0,5} \cdot 0,1^{0,5} = 0,1^3$
Сложим показатели степеней в левой части:
$0,1^{(x^2 - 0,5) + 0,5} = 0,1^3$
$0,1^{x^2} = 0,1^3$
Приравниваем показатели степеней:
$x^2 = 3$
Решаем уравнение:
$x = \pm \sqrt{3}$
Ответ: $x_1 = \sqrt{3}, x_2 = -\sqrt{3}$.
№40.11 (с. 161)
Условие. №40.11 (с. 161)
скриншот условия

40.11 a) $\sqrt{625} \cdot \sqrt{5^{14x - 9}} = \sqrt[6]{125 \cdot 5^{6x - 12}}$;
б) $\sqrt[3]{0,2} \cdot \sqrt{0,2^{2x - \frac{1}{3}}} = \sqrt[3]{0,04^{-3x + 6}}$.
Решение 1. №40.11 (с. 161)

Решение 2. №40.11 (с. 161)

Решение 3. №40.11 (с. 161)

Решение 5. №40.11 (с. 161)


Решение 6. №40.11 (с. 161)
a) $\sqrt{625} \cdot \sqrt{5^{14x-9}} = \sqrt[6]{125 \cdot 5^{6x-12}}$
Для решения данного уравнения представим все числа в виде степеней с одним основанием. В данном случае это основание 5.
Заметим, что $625 = 5^4$ и $125 = 5^3$.
Преобразуем левую часть уравнения, используя свойства корней и степеней ($\sqrt[n]{a} = a^{\frac{1}{n}}$ и $a^m \cdot a^n = a^{m+n}$):
$\sqrt{625} \cdot \sqrt{5^{14x-9}} = \sqrt{5^4} \cdot (5^{14x-9})^{\frac{1}{2}} = 5^{\frac{4}{2}} \cdot 5^{\frac{14x-9}{2}} = 5^2 \cdot 5^{\frac{14x-9}{2}} = 5^{2 + \frac{14x-9}{2}} = 5^{\frac{4+14x-9}{2}} = 5^{\frac{14x-5}{2}}$.
Теперь преобразуем правую часть уравнения:
$\sqrt[6]{125 \cdot 5^{6x-12}} = \sqrt[6]{5^3 \cdot 5^{6x-12}} = \sqrt[6]{5^{3+6x-12}} = \sqrt[6]{5^{6x-9}} = (5^{6x-9})^{\frac{1}{6}} = 5^{\frac{6x-9}{6}} = 5^{\frac{3(2x-3)}{3 \cdot 2}} = 5^{\frac{2x-3}{2}}$.
Теперь, когда обе части уравнения представлены в виде степеней с одинаковым основанием, мы можем приравнять их:
$5^{\frac{14x-5}{2}} = 5^{\frac{2x-3}{2}}$.
Так как основания равны, приравниваем показатели степеней:
$\frac{14x-5}{2} = \frac{2x-3}{2}$.
Умножим обе части уравнения на 2, чтобы избавиться от знаменателей:
$14x - 5 = 2x - 3$.
Сгруппируем слагаемые с $x$ в левой части, а свободные члены — в правой:
$14x - 2x = 5 - 3$.
$12x = 2$.
$x = \frac{2}{12} = \frac{1}{6}$.
Ответ: $x = \frac{1}{6}$.
б) $\sqrt[3]{0,2} \cdot \sqrt{0,2^{2x-\frac{1}{3}}} = \sqrt[3]{0,04^{-3x+6}}$
Для решения данного уравнения приведем все выражения к одному основанию. Заметим, что $0,04 = \frac{4}{100} = \frac{1}{25} = (\frac{1}{5})^2 = (0,2)^2$. Таким образом, будем использовать основание 0,2.
Преобразуем левую часть уравнения:
$\sqrt[3]{0,2} \cdot \sqrt{0,2^{2x-\frac{1}{3}}} = (0,2)^{\frac{1}{3}} \cdot (0,2^{2x-\frac{1}{3}})^{\frac{1}{2}} = (0,2)^{\frac{1}{3}} \cdot (0,2)^{\frac{2x-1/3}{2}} = (0,2)^{\frac{1}{3}} \cdot (0,2)^{x-\frac{1}{6}}$.
При умножении степеней с одинаковым основанием их показатели складываются:
$(0,2)^{\frac{1}{3} + x - \frac{1}{6}} = (0,2)^{x + \frac{2}{6} - \frac{1}{6}} = (0,2)^{x + \frac{1}{6}}$.
Теперь преобразуем правую часть уравнения:
$\sqrt[3]{0,04^{-3x+6}} = \sqrt[3]{((0,2)^2)^{-3x+6}} = \sqrt[3]{(0,2)^{2(-3x+6)}} = \sqrt[3]{(0,2)^{-6x+12}}$.
Представим корень в виде степени:
$((0,2)^{-6x+12})^{\frac{1}{3}} = (0,2)^{\frac{-6x+12}{3}} = (0,2)^{-2x+4}$.
Теперь приравняем преобразованные левую и правую части:
$(0,2)^{x + \frac{1}{6}} = (0,2)^{-2x+4}$.
Так как основания степеней равны, приравниваем их показатели:
$x + \frac{1}{6} = -2x + 4$.
Сгруппируем слагаемые с $x$ в левой части, а свободные члены — в правой:
$x + 2x = 4 - \frac{1}{6}$.
$3x = \frac{24}{6} - \frac{1}{6}$.
$3x = \frac{23}{6}$.
Разделим обе части на 3:
$x = \frac{23}{6 \cdot 3} = \frac{23}{18}$.
Ответ: $x = \frac{23}{18}$.
Помогло решение? Оставьте отзыв в комментариях ниже.