Номер 2.214, страница 73, часть 1 - гдз по математике 5 класс учебник Виленкин, Жохов

Авторы: Виленкин Н. Я., Жохов В. И., Чесноков А. С., Александрова Л. А., Шварцбурд С. И.
Тип: Учебник
Издательство: Просвещение
Год издания: 2023 - 2025
Уровень обучения: базовый
Часть: 1
Цвет обложки: белый, красный, синий с пазлами
Допущено Министерством просвещения Российской Федерации
Популярные ГДЗ в 5 классе
11. Уравнение. § 2. Сложение и вычитание натуральных чисел. Глава 1. Натуральные числа. ч. 1 - номер 2.214, страница 73.
№2.214 (с. 73)
Условие. №2.214 (с. 73)
скриншот условия

2.214 Восстановите цепочку вычислений.

Решение 1. №2.214 (с. 73)
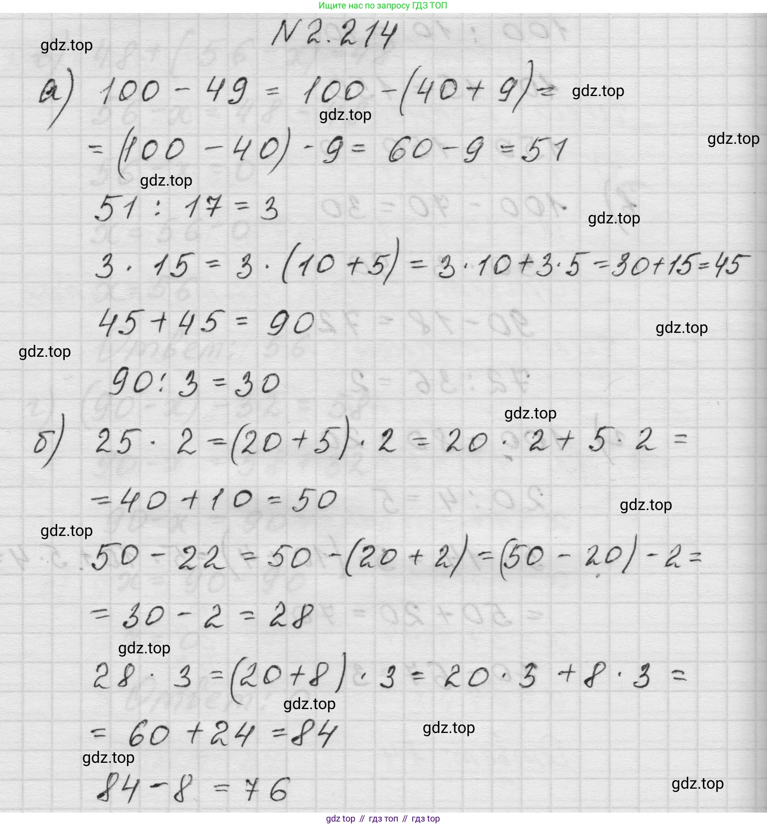
3 · 15 = 3 · (10 + 5) = 3 · 10 + 3 · 5 = 30 + 15 = 45;
45 + 45 = 90;
90 : 3 = 30.
50 - 22 = 50 - (20 + 2) = (50 - 20) - 2 = 30 - 2 = 28;
28 · 3 = (20 + 8) · 3 = 20 · 3 + 8 · 3 = 60 + 24 = 84;
84 - 8 = 76.
Решение 2. №2.214 (с. 73)
а)
Для того чтобы восстановить пропущенные числа в цепочке вычислений, будем двигаться от конца к началу, выполняя операции, обратные указанным.
1. Последний результат — 100. Он получен сложением числа 49. Чтобы найти предыдущее число, выполним вычитание: $100 - 49 = 51$. Это число находится в кружке перед последним действием.
2. Число 51 получено умножением на 17. Чтобы найти число до этого действия, выполним деление: $51 : 17 = 3$.
3. Число 3 получено делением на 15. Чтобы найти число до этого, выполним умножение: $3 \cdot 15 = 45$.
4. Число 45 получено вычитанием 45. Чтобы найти число до этого, выполним сложение: $45 + 45 = 90$.
5. Число 90 получено умножением на 3 исходного числа из зелёного квадрата. Чтобы найти исходное число, выполним деление: $90 : 3 = 30$.
Проверим последовательность вычислений: $30 \cdot 3 = 90$; $90 - 45 = 45$; $45 : 15 = 3$; $3 \cdot 17 = 51$; $51 + 49 = 100$. Все сходится.
Ответ: Исходное число в квадрате — 30. Числа в кружках по порядку вычислений: 90, 45, 3, 51.
б)
Аналогично первому пункту, будем восстанавливать цепочку, идя в обратном направлении от известного результата.
1. Конечный результат — 25. Он получен делением на 2. Найдём предыдущее число, выполнив умножение: $25 \cdot 2 = 50$.
2. Число 50 получено сложением с 22. Найдём число до этого действия, выполнив вычитание: $50 - 22 = 28$.
3. Число 28 получено делением на 3. Найдём число до этого, выполнив умножение: $28 \cdot 3 = 84$.
4. Число 84 (в верхнем левом кружке) получено сложением с 8. Найдём число, из которого оно получено (в нижнем левом кружке), выполнив вычитание: $84 - 8 = 76$.
5. Число 76 получено умножением на 4 исходного числа из зелёного квадрата. Найдём это исходное число, выполнив деление: $76 : 4 = 19$.
Проверим последовательность вычислений: $19 \cdot 4 = 76$; $76 + 8 = 84$; $84 : 3 = 28$; $28 + 22 = 50$; $50 : 2 = 25$. Все сходится.
Ответ: Исходное число в квадрате — 19. Числа в кружках по порядку вычислений: 76, 84, 28, 50.
Решение 3. №2.214 (с. 73)

Решение 4. №2.214 (с. 73)

Другие задания:
Помогло решение? Оставьте отзыв в комментариях ниже.
Мы подготовили для вас ответ c подробным объяснением домашего задания по математике за 5 класс, для упражнения номер 2.214 расположенного на странице 73 для 1-й части к учебнику 2023 года издания для учащихся школ и гимназий.
Теперь на нашем сайте ГДЗ.ТОП вы всегда легко и бесплатно найдёте условие с правильным ответом на вопрос «Как решить ДЗ» и «Как сделать» задание по математике к упражнению №2.214 (с. 73), авторов: Виленкин (Наум Яковлевич), Жохов (Владимир Иванович), Чесноков (Александр Семёнович), Александрова (Лилия Александровна), Шварцбурд (Семён Исаакович), 1-й части ФГОС (новый, красный) базовый уровень обучения учебного пособия издательства Просвещение.