Номер 3.248, страница 104, часть 1 - гдз по математике 5 класс учебник Виленкин, Жохов

Авторы: Виленкин Н. Я., Жохов В. И., Чесноков А. С., Александрова Л. А., Шварцбурд С. И.
Тип: Учебник
Издательство: Просвещение
Год издания: 2023 - 2025
Уровень обучения: базовый
Часть: 1
Цвет обложки: белый, красный, синий с пазлами
Допущено Министерством просвещения Российской Федерации
Популярные ГДЗ в 5 классе
15. Упрощение выражений. § 3. Умножение и деление натуральных чисел. Глава 1. Натуральные числа. ч. 1 - номер 3.248, страница 104.
№3.248 (с. 104)
Условие. №3.248 (с. 104)
скриншот условия

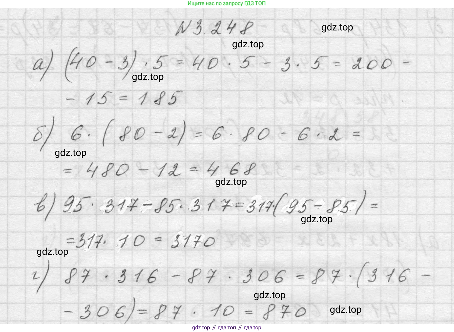
3.248 Вычислите наиболее удобным способом:
а) (40 - 3) • 5;
б) 6 • (80 - 2);
в) 95 • 317 - 85 • 317;
г) 87 • 316 - 87 • 306.
Решение 1. №3.248 (с. 104)
a)
б)
в)
г)
Решение 2. №3.248 (с. 104)
а) Для вычисления выражения $(40 - 3) \cdot 5$ наиболее удобным способом является применение распределительного свойства умножения относительно вычитания, которое имеет вид $(a - b) \cdot c = a \cdot c - b \cdot c$. Применив это свойство, мы можем легко выполнить вычисления в уме:
$(40 - 3) \cdot 5 = 40 \cdot 5 - 3 \cdot 5 = 200 - 15 = 185$.
Ответ: 185
б) Аналогично, для вычисления выражения $6 \cdot (80 - 2)$ используем распределительное свойство $a \cdot (b - c) = a \cdot b - a \cdot c$. Это позволяет упростить вычисления:
$6 \cdot (80 - 2) = 6 \cdot 80 - 6 \cdot 2 = 480 - 12 = 468$.
Ответ: 468
в) В выражении $95 \cdot 317 - 85 \cdot 317$ наиболее удобным является вынесение общего множителя $317$ за скобки. Это обратное применение распределительного свойства: $a \cdot c - b \cdot c = (a - b) \cdot c$. Это значительно упрощает расчеты:
$95 \cdot 317 - 85 \cdot 317 = (95 - 85) \cdot 317 = 10 \cdot 317 = 3170$.
Ответ: 3170
г) В выражении $87 \cdot 316 - 87 \cdot 306$ также выносим общий множитель $87$ за скобки по правилу $a \cdot b - a \cdot c = a \cdot (b - c)$. Это позволяет быстро найти результат:
$87 \cdot 316 - 87 \cdot 306 = 87 \cdot (316 - 306) = 87 \cdot 10 = 870$.
Ответ: 870
Решение 3. №3.248 (с. 104)

Решение 4. №3.248 (с. 104)

Другие задания:
Помогло решение? Оставьте отзыв в комментариях ниже.
Мы подготовили для вас ответ c подробным объяснением домашего задания по математике за 5 класс, для упражнения номер 3.248 расположенного на странице 104 для 1-й части к учебнику 2023 года издания для учащихся школ и гимназий.
Теперь на нашем сайте ГДЗ.ТОП вы всегда легко и бесплатно найдёте условие с правильным ответом на вопрос «Как решить ДЗ» и «Как сделать» задание по математике к упражнению №3.248 (с. 104), авторов: Виленкин (Наум Яковлевич), Жохов (Владимир Иванович), Чесноков (Александр Семёнович), Александрова (Лилия Александровна), Шварцбурд (Семён Исаакович), 1-й части ФГОС (новый, красный) базовый уровень обучения учебного пособия издательства Просвещение.