Номер 3.356, страница 120, часть 1 - гдз по математике 5 класс учебник Виленкин, Жохов

Авторы: Виленкин Н. Я., Жохов В. И., Чесноков А. С., Александрова Л. А., Шварцбурд С. И.
Тип: Учебник
Издательство: Просвещение
Год издания: 2023 - 2025
Уровень обучения: базовый
Часть: 1
Цвет обложки: белый, красный, синий с пазлами
Допущено Министерством просвещения Российской Федерации
Популярные ГДЗ в 5 классе
18. Делители и кратные. § 3. Умножение и деление натуральных чисел. Глава 1. Натуральные числа. ч. 1 - номер 3.356, страница 120.
№3.356 (с. 120)
Условие. №3.356 (с. 120)
скриншот условия

3.356 Найдите значение выражения:
172 + 28;
59 + 37;
4587 + 764;
80 - 34;
123 - 18;
10 273 - 549;
302 • 7;
26 • 37;
45 • 206;
84 : 4;
608 : 19;
2052 : 38.
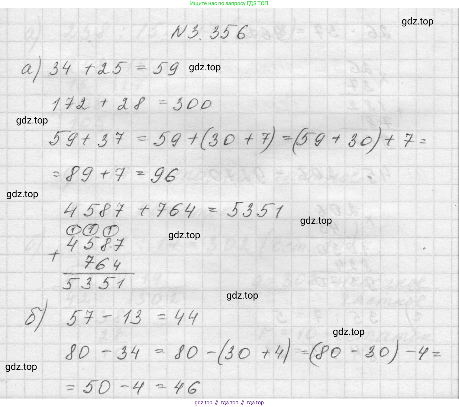
Решение 1. №3.356 (с. 120)
a)

б)

в)


г)


Решение 2. №3.356 (с. 120)
а)
$34 + 25$. Складываем десятки с десятками ($30+20=50$), затем единицы с единицами ($4+5=9$). Суммируем полученные результаты: $50+9=59$.
$172 + 28$. Складываем единицы: $2+8=10$ (0 пишем, 1 переносим в разряд десятков). Складываем десятки: $7+2+1=10$ (0 пишем, 1 переносим в разряд сотен). Складываем сотни: $1+1=2$. Результат: $200$.
$59 + 37$. Складываем единицы: $9+7=16$ (6 пишем, 1 переносим в разряд десятков). Складываем десятки: $5+3+1=9$. Результат: $96$.
$4587 + 764$. Выполним сложение в столбик. Единицы: $7+4=11$ (1 пишем, 1 в уме). Десятки: $8+6+1=15$ (5 пишем, 1 в уме). Сотни: $5+7+1=13$ (3 пишем, 1 в уме). Тысячи: $4+1=5$. Результат: $5351$.
Ответ: 59; 200; 96; 5351.
б)
$57 - 13$. Вычитаем десятки из десятков ($50-10=40$), затем единицы из единиц ($7-3=4$). Складываем результаты: $40+4=44$.
$80 - 34$. Можно представить вычитаемое как $30+4$. $80-30=50$, затем $50-4=46$. Результат: $46$.
$123 - 18$. Можно представить вычитаемое как $10+8$. $123-10=113$, затем $113-8=105$. Результат: $105$.
$10273 - 549$. Выполним вычитание в столбик. Единицы: из 3 вычесть 9 нельзя, занимаем 1 десяток, $13-9=4$. Десятки: было 7, стало 6, $6-4=2$. Сотни: из 2 вычесть 5 нельзя, занимаем 1 тысячу, $12-5=7$. Тысячи: было 10, стало 9, $9-0=9$. Результат: $9724$.
Ответ: 44; 46; 105; 9724.
в)
$24 \cdot 3$. Раскладываем 24 на $20+4$. Умножаем по частям: $20 \cdot 3 = 60$, $4 \cdot 3 = 12$. Складываем результаты: $60+12=72$.
$302 \cdot 7$. Раскладываем 302 на $300+2$. Умножаем по частям: $300 \cdot 7 = 2100$, $2 \cdot 7 = 14$. Складываем результаты: $2100+14=2114$.
$26 \cdot 37$. Умножаем в столбик: сначала $26 \cdot 7 = 182$. Затем $26 \cdot 30 = 780$. Складываем полученные произведения: $182+780=962$.
$45 \cdot 206$. Умножаем в столбик (удобнее $206 \cdot 45$): сначала $206 \cdot 5 = 1030$. Затем $206 \cdot 40 = 8240$. Складываем полученные произведения: $1030+8240=9270$.
Ответ: 72; 2114; 962; 9270.
г)
$35 : 7$. Это табличный случай деления. $35 \div 7 = 5$, так как $5 \cdot 7 = 35$.
$84 : 4$. Раскладываем 84 на $80+4$. Делим по частям: $80 \div 4 = 20$, $4 \div 4 = 1$. Складываем результаты: $20+1=21$.
$608 : 19$. Делим в столбик. Сначала делим $60$ на $19$, получаем $3$ (остаток $60 - 3 \cdot 19 = 3$). Сносим $8$, получаем $38$. Делим $38$ на $19$, получаем $2$. Результат: $32$.
$2052 : 38$. Делим в столбик. Сначала делим $205$ на $38$, получаем $5$ (остаток $205 - 5 \cdot 38 = 15$). Сносим $2$, получаем $152$. Делим $152$ на $38$, получаем $4$. Результат: $54$.
Ответ: 5; 21; 32; 54.
Решение 3. №3.356 (с. 120)

Решение 4. №3.356 (с. 120)

Другие задания:
Помогло решение? Оставьте отзыв в комментариях ниже.
Мы подготовили для вас ответ c подробным объяснением домашего задания по математике за 5 класс, для упражнения номер 3.356 расположенного на странице 120 для 1-й части к учебнику 2023 года издания для учащихся школ и гимназий.
Теперь на нашем сайте ГДЗ.ТОП вы всегда легко и бесплатно найдёте условие с правильным ответом на вопрос «Как решить ДЗ» и «Как сделать» задание по математике к упражнению №3.356 (с. 120), авторов: Виленкин (Наум Яковлевич), Жохов (Владимир Иванович), Чесноков (Александр Семёнович), Александрова (Лилия Александровна), Шварцбурд (Семён Исаакович), 1-й части ФГОС (новый, красный) базовый уровень обучения учебного пособия издательства Просвещение.