Номер 2, страница 106, часть 1 - гдз по математике 5 класс учебник Виленкин, Жохов

Авторы: Виленкин Н. Я., Жохов В. И., Чесноков А. С., Александрова Л. А., Шварцбурд С. И.
Тип: Учебник
Издательство: Просвещение
Год издания: 2023 - 2025
Уровень обучения: базовый
Часть: 1
Цвет обложки: белый, красный, синий с пазлами
Допущено Министерством просвещения Российской Федерации
Популярные ГДЗ в 5 классе
Проверочная работа Nº1. Проверьте себя. § 3. Умножение и деление натуральных чисел. Глава 1. Натуральные числа. ч. 1 - номер 2, страница 106.
№2 (с. 106)
Условие. №2 (с. 106)
скриншот условия

2 Упростите выражение:
а) a + 2a;
б) 25x - 19x;
в) 18b • 2 • 5;
г) 5 • (3t - t);
д) (21s + 79) • 3.
Решение 1. №2 (с. 106)
a)
б)
в)
г)
д)

Решение 2. №2 (с. 106)
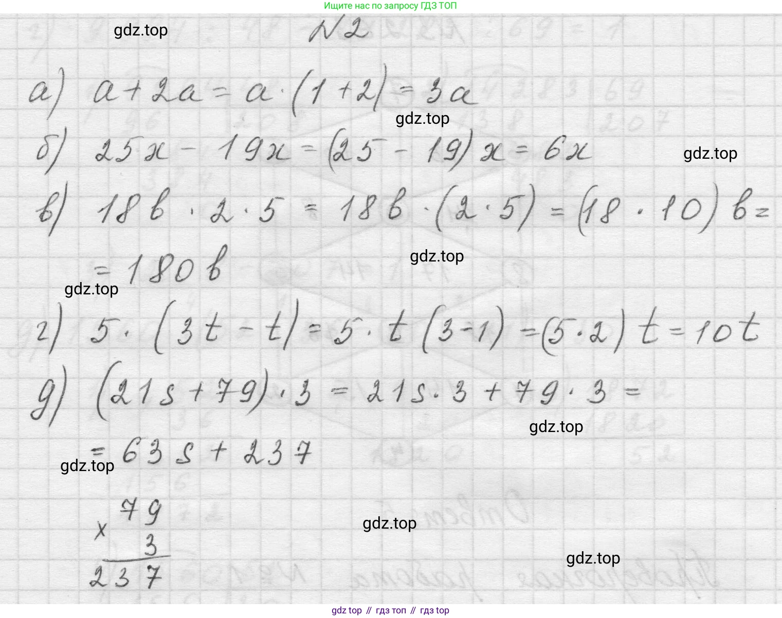
а) Чтобы упростить выражение $a + 2a$, нужно сложить подобные слагаемые. Подобными слагаемыми называются слагаемые, имеющие одинаковую буквенную часть. В данном случае это $a$ и $2a$. Коэффициент при $a$ равен 1. Используя распределительное свойство, выносим общую буквенную часть $a$ за скобки и складываем коэффициенты: $a + 2a = 1a + 2a = (1 + 2)a = 3a$. Ответ: $3a$
б) В выражении $25x - 19x$ слагаемые $25x$ и $19x$ являются подобными, так как у них одинаковая буквенная часть $x$. Чтобы упростить выражение, вынесем общую буквенную часть $x$ за скобки и выполним вычитание коэффициентов, стоящих при ней: $25x - 19x = (25 - 19)x = 6x$. Ответ: $6x$
в) Чтобы упростить выражение $18b \cdot 2 \cdot 5$, воспользуемся сочетательным (ассоциативным) свойством умножения, которое позволяет нам перемножать множители в любом порядке. Удобнее сначала перемножить числовые множители: $18b \cdot 2 \cdot 5 = (18 \cdot 2 \cdot 5)b$. Вычислим произведение чисел: $2 \cdot 5 = 10$, а затем $18 \cdot 10 = 180$. Таким образом, итоговое выражение равно $180b$. Ответ: $180b$
г) В выражении $5 \cdot (3t - t)$ сначала следует упростить выражение в скобках. В скобках находится разность подобных слагаемых $3t$ и $t$. Выполним вычитание: $3t - t = (3-1)t = 2t$. Теперь исходное выражение принимает вид $5 \cdot (2t)$. Перемножим числовые коэффициенты: $5 \cdot 2 = 10$. В результате получаем $10t$. Ответ: $10t$
д) Для упрощения выражения $(21s + 79) \cdot 3$ необходимо применить распределительное (дистрибутивное) свойство умножения относительно сложения. Для этого нужно умножить каждый член в скобках на множитель за скобками, то есть на 3: $(21s + 79) \cdot 3 = 21s \cdot 3 + 79 \cdot 3$. Вычислим каждое произведение по отдельности: $21s \cdot 3 = 63s$ и $79 \cdot 3 = 237$. В итоге получаем сумму $63s + 237$. Так как слагаемые $63s$ и $237$ не являются подобными (у них разная буквенная часть), дальнейшее упрощение невозможно. Ответ: $63s + 237$
Решение 3. №2 (с. 106)


Решение 4. №2 (с. 106)

Другие задания:
Помогло решение? Оставьте отзыв в комментариях ниже.
Мы подготовили для вас ответ c подробным объяснением домашего задания по математике за 5 класс, для упражнения номер 2 расположенного на странице 106 для 1-й части к учебнику 2023 года издания для учащихся школ и гимназий.
Теперь на нашем сайте ГДЗ.ТОП вы всегда легко и бесплатно найдёте условие с правильным ответом на вопрос «Как решить ДЗ» и «Как сделать» задание по математике к упражнению №2 (с. 106), авторов: Виленкин (Наум Яковлевич), Жохов (Владимир Иванович), Чесноков (Александр Семёнович), Александрова (Лилия Александровна), Шварцбурд (Семён Исаакович), 1-й части ФГОС (новый, красный) базовый уровень обучения учебного пособия издательства Просвещение.