Номер 3, страница 106, часть 1 - гдз по математике 5 класс учебник Виленкин, Жохов

Авторы: Виленкин Н. Я., Жохов В. И., Чесноков А. С., Александрова Л. А., Шварцбурд С. И.
Тип: Учебник
Издательство: Просвещение
Год издания: 2023 - 2025
Уровень обучения: базовый
Часть: 1
Цвет обложки: белый, красный, синий с пазлами
Допущено Министерством просвещения Российской Федерации
Популярные ГДЗ в 5 классе
Проверочная работа Nº1. Проверьте себя. § 3. Умножение и деление натуральных чисел. Глава 1. Натуральные числа. ч. 1 - номер 3, страница 106.
№3 (с. 106)
Условие. №3 (с. 106)
скриншот условия

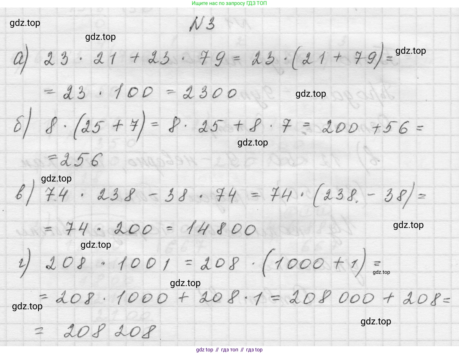
3 Вычислите значение выражения, выбирая удобный способ:
а) 23 • 21 + 23 • 79;
б) 8 • (25 + 7);
в) 74 • 238 - 38 • 74;
г) 208 • 1001;
д) 99 • 134.
Решение 1. №3 (с. 106)
a)
б)
в)
г)
д)

Решение 2. №3 (с. 106)
а) $23 \cdot 21 + 23 \cdot 79$.
В этом выражении есть общий множитель 23. Чтобы упростить вычисление, воспользуемся распределительным свойством умножения $a \cdot b + a \cdot c = a \cdot (b+c)$ и вынесем общий множитель за скобки.
$23 \cdot 21 + 23 \cdot 79 = 23 \cdot (21 + 79)$.
Сначала выполним сложение в скобках: $21 + 79 = 100$.
Затем умножим: $23 \cdot 100 = 2300$.
Ответ: 2300
б) $8 \cdot (25 + 7)$.
Здесь удобнее сначала выполнить действие в скобках, а затем умножение.
1. Сложение: $25 + 7 = 32$.
2. Умножение: $8 \cdot 32 = 256$.
Также можно использовать распределительное свойство: $8 \cdot 25 + 8 \cdot 7 = 200 + 56 = 256$.
Ответ: 256
в) $74 \cdot 238 - 38 \cdot 74$.
Здесь также есть общий множитель 74. Используя переместительное свойство ($a \cdot b = b \cdot a$), мы видим, что $38 \cdot 74 = 74 \cdot 38$. Теперь применим распределительное свойство умножения относительно вычитания $a \cdot b - a \cdot c = a \cdot (b-c)$ и вынесем 74 за скобки.
$74 \cdot 238 - 74 \cdot 38 = 74 \cdot (238 - 38)$.
Сначала выполним вычитание в скобках: $238 - 38 = 200$.
Затем умножим: $74 \cdot 200 = 14800$.
Ответ: 14800
г) $208 \cdot 1001$.
Для удобства представим множитель 1001 в виде суммы $1000 + 1$ и применим распределительное свойство умножения.
$208 \cdot (1000 + 1) = 208 \cdot 1000 + 208 \cdot 1$.
Выполним умножения: $208 \cdot 1000 = 208000$ и $208 \cdot 1 = 208$.
Сложим результаты: $208000 + 208 = 208208$.
Ответ: 208208
д) $99 \cdot 134$.
Удобно представить множитель 99 в виде разности $100 - 1$ и применить распределительное свойство умножения.
$(100 - 1) \cdot 134 = 100 \cdot 134 - 1 \cdot 134$.
Выполним умножения: $100 \cdot 134 = 13400$ и $1 \cdot 134 = 134$.
Вычтем из первого результата второй: $13400 - 134 = 13266$.
Ответ: 13266
Решение 3. №3 (с. 106)

Решение 4. №3 (с. 106)

Другие задания:
Помогло решение? Оставьте отзыв в комментариях ниже.
Мы подготовили для вас ответ c подробным объяснением домашего задания по математике за 5 класс, для упражнения номер 3 расположенного на странице 106 для 1-й части к учебнику 2023 года издания для учащихся школ и гимназий.
Теперь на нашем сайте ГДЗ.ТОП вы всегда легко и бесплатно найдёте условие с правильным ответом на вопрос «Как решить ДЗ» и «Как сделать» задание по математике к упражнению №3 (с. 106), авторов: Виленкин (Наум Яковлевич), Жохов (Владимир Иванович), Чесноков (Александр Семёнович), Александрова (Лилия Александровна), Шварцбурд (Семён Исаакович), 1-й части ФГОС (новый, красный) базовый уровень обучения учебного пособия издательства Просвещение.