Номер 4.106, страница 145, часть 1 - гдз по математике 5 класс учебник Виленкин, Жохов

Авторы: Виленкин Н. Я., Жохов В. И., Чесноков А. С., Александрова Л. А., Шварцбурд С. И.
Тип: Учебник
Издательство: Просвещение
Год издания: 2023 - 2025
Уровень обучения: базовый
Часть: 1
Цвет обложки: белый, красный, синий с пазлами
Допущено Министерством просвещения Российской Федерации
Популярные ГДЗ в 5 классе
22. Единицы измерения площадей. § 4. Площади и объёмы. Глава 1. Натуральные числа. ч. 1 - номер 4.106, страница 145.
№4.106 (с. 145)
Условие. №4.106 (с. 145)
скриншот условия

4.106 Выполните действия:
а) 4 • 7³ - 5 • 3³;
б) (6² - 5²)³;
в) 7! : 40;
г) 3! + 3³;
д) 5! - 5².
Решение 1. №4.106 (с. 145)
Решение 2. №4.106 (с. 145)
а) $4 \cdot 7^3 - 5 \cdot 3^3$
Для решения этого примера необходимо соблюдать порядок действий: сначала возведение в степень, затем умножение, и в конце вычитание.
1. Возведем числа в степень:
$7^3 = 7 \cdot 7 \cdot 7 = 49 \cdot 7 = 343$
$3^3 = 3 \cdot 3 \cdot 3 = 9 \cdot 3 = 27$
2. Выполним умножение:
$4 \cdot 343 = 1372$
$5 \cdot 27 = 135$
3. Выполним вычитание:
$1372 - 135 = 1237$
Таким образом, $4 \cdot 7^3 - 5 \cdot 3^3 = 1372 - 135 = 1237$.
Ответ: 1237.
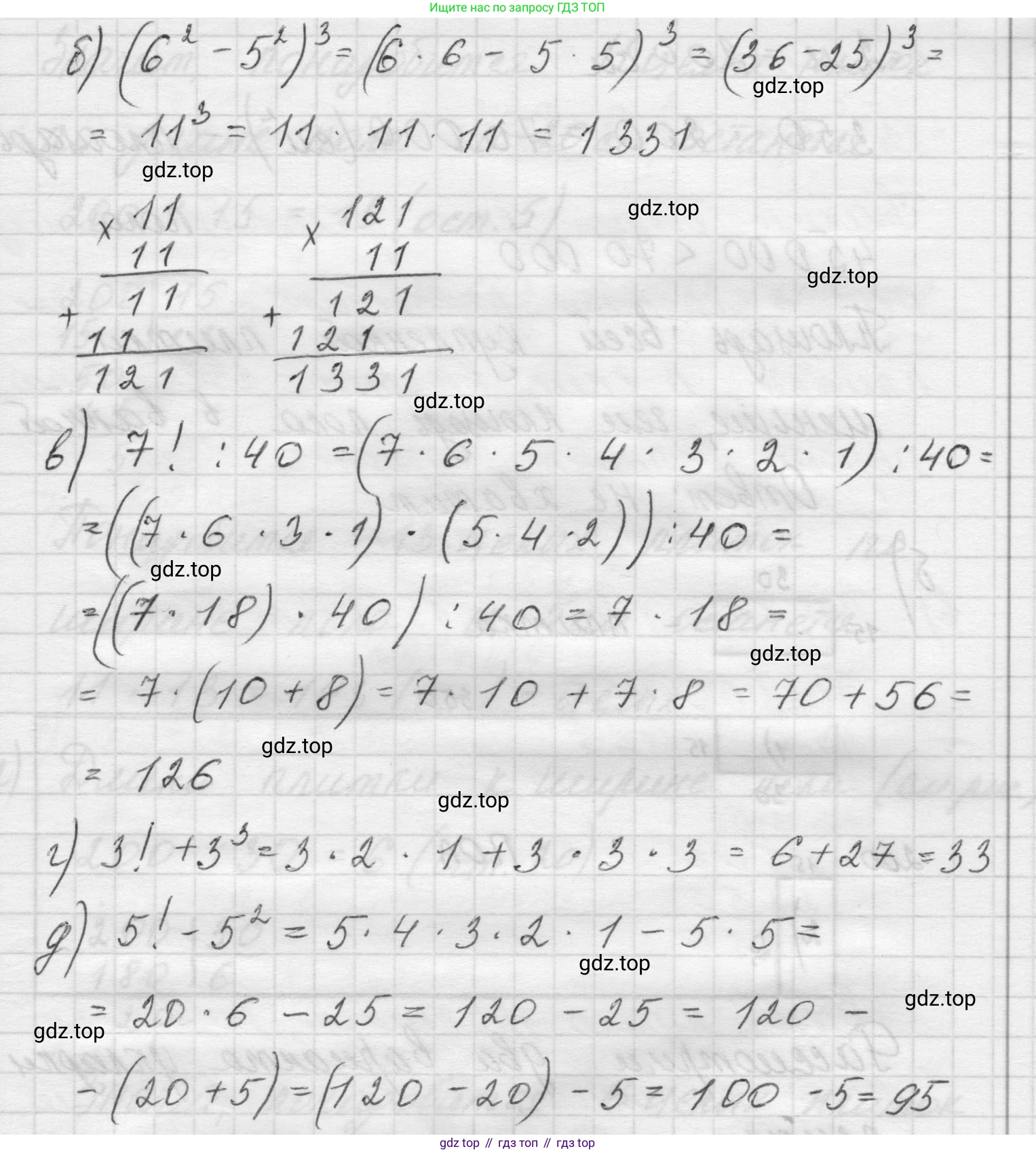
б) $(6^2 - 5^2)^3$
Сначала выполним действия в скобках, а затем возведем результат в степень.
1. Вычислим значения квадратов в скобках:
$6^2 = 36$
$5^2 = 25$
2. Найдем разность в скобках:
$36 - 25 = 11$
3. Возведем полученный результат в куб:
$11^3 = 11 \cdot 11 \cdot 11 = 121 \cdot 11 = 1331$
Таким образом, $(6^2 - 5^2)^3 = (36 - 25)^3 = 11^3 = 1331$.
Ответ: 1331.
в) $7! : 40$
Сначала вычислим значение факториала. Факториал числа $n$ (обозначается как $n!$) — это произведение всех натуральных чисел от 1 до $n$ включительно.
1. Вычислим $7!$ (семь факториал):
$7! = 1 \cdot 2 \cdot 3 \cdot 4 \cdot 5 \cdot 6 \cdot 7 = 5040$
2. Выполним деление:
$5040 : 40 = 504 : 4 = 126$
Таким образом, $7! : 40 = 5040 : 40 = 126$.
Ответ: 126.
г) $3! + 3^3$
Сначала вычислим значение факториала и возведем число в степень, а затем сложим результаты.
1. Вычислим $3!$ (три факториал):
$3! = 1 \cdot 2 \cdot 3 = 6$
2. Вычислим $3^3$ (три в кубе):
$3^3 = 3 \cdot 3 \cdot 3 = 27$
3. Сложим полученные значения:
$6 + 27 = 33$
Таким образом, $3! + 3^3 = 6 + 27 = 33$.
Ответ: 33.
д) $5! - 5^2$
Сначала вычислим значение факториала и возведем число в степень, а затем найдем их разность.
1. Вычислим $5!$ (пять факториал):
$5! = 1 \cdot 2 \cdot 3 \cdot 4 \cdot 5 = 120$
2. Вычислим $5^2$ (пять в квадрате):
$5^2 = 5 \cdot 5 = 25$
3. Найдем разность:
$120 - 25 = 95$
Таким образом, $5! - 5^2 = 120 - 25 = 95$.
Ответ: 95.
Решение 3. №4.106 (с. 145)


Решение 4. №4.106 (с. 145)

Другие задания:
Помогло решение? Оставьте отзыв в комментариях ниже.
Мы подготовили для вас ответ c подробным объяснением домашего задания по математике за 5 класс, для упражнения номер 4.106 расположенного на странице 145 для 1-й части к учебнику 2023 года издания для учащихся школ и гимназий.
Теперь на нашем сайте ГДЗ.ТОП вы всегда легко и бесплатно найдёте условие с правильным ответом на вопрос «Как решить ДЗ» и «Как сделать» задание по математике к упражнению №4.106 (с. 145), авторов: Виленкин (Наум Яковлевич), Жохов (Владимир Иванович), Чесноков (Александр Семёнович), Александрова (Лилия Александровна), Шварцбурд (Семён Исаакович), 1-й части ФГОС (новый, красный) базовый уровень обучения учебного пособия издательства Просвещение.