Номер 4.97, страница 143, часть 1 - гдз по математике 5 класс учебник Виленкин, Жохов

Авторы: Виленкин Н. Я., Жохов В. И., Чесноков А. С., Александрова Л. А., Шварцбурд С. И.
Тип: Учебник
Издательство: Просвещение
Год издания: 2023 - 2025
Уровень обучения: базовый
Часть: 1
Цвет обложки: белый, красный, синий с пазлами
Допущено Министерством просвещения Российской Федерации
Популярные ГДЗ в 5 классе
22. Единицы измерения площадей. § 4. Площади и объёмы. Глава 1. Натуральные числа. ч. 1 - номер 4.97, страница 143.
№4.97 (с. 143)
Условие. №4.97 (с. 143)
скриншот условия

4.97 Выполните умножение, выбирая удобный способ:
а) 2 • 128 • 500;
б) 25 • 31 • 12;
в) 125 • 85 • 8;
г) 8 • 207 • 50;
д) 25 • 374 • 4;
е) 16 • 17 • 125.
Решение 1. №4.97 (с. 143)
Решение 2. №4.97 (с. 143)
а) $2 \cdot 128 \cdot 500$
Для удобства вычислений воспользуемся переместительным свойством умножения и поменяем множители местами, чтобы сгруппировать 2 и 500, так как их произведение дает круглое число.
$2 \cdot 128 \cdot 500 = (2 \cdot 500) \cdot 128 = 1000 \cdot 128 = 128000$
Ответ: 128000
б) $25 \cdot 31 \cdot 12$
В этом примере удобно сгруппировать множители 25 и 12. Можно представить 12 как произведение $4 \cdot 3$ и умножить 25 на 4. Либо можно умножить 25 на 12 напрямую.
$(25 \cdot 12) \cdot 31 = 300 \cdot 31 = 9300$
Ответ: 9300
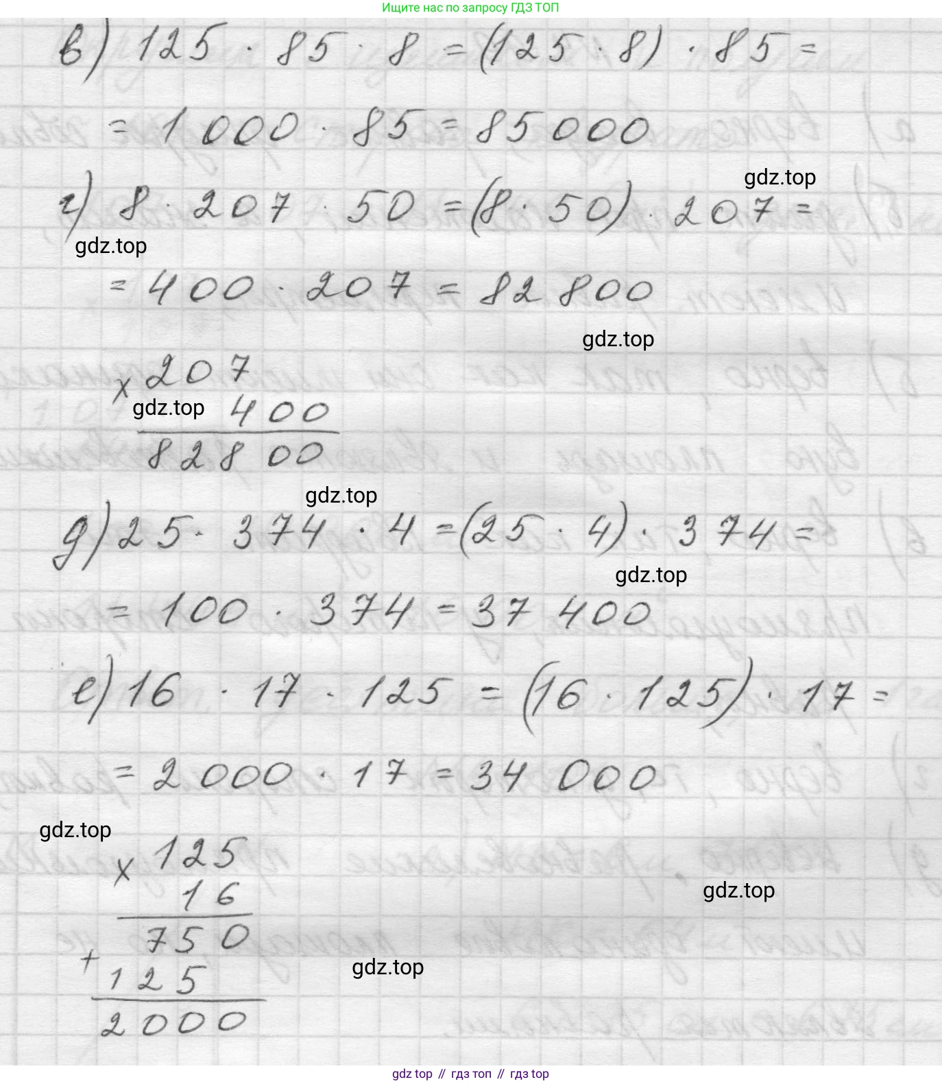
в) $125 \cdot 85 \cdot 8$
Здесь удобно перемножить 125 и 8, так как их произведение равно 1000.
$125 \cdot 85 \cdot 8 = (125 \cdot 8) \cdot 85 = 1000 \cdot 85 = 85000$
Ответ: 85000
г) $8 \cdot 207 \cdot 50$
Удобнее всего сначала умножить 8 на 50.
$8 \cdot 207 \cdot 50 = (8 \cdot 50) \cdot 207 = 400 \cdot 207 = 82800$
Ответ: 82800
д) $25 \cdot 374 \cdot 4$
Сгруппируем множители 25 и 4, так как их произведение равно 100.
$25 \cdot 374 \cdot 4 = (25 \cdot 4) \cdot 374 = 100 \cdot 374 = 37400$
Ответ: 37400
е) $16 \cdot 17 \cdot 125$
В этом выражении удобно использовать тот факт, что $8 \cdot 125 = 1000$. Для этого представим множитель 16 как произведение $2 \cdot 8$.
$16 \cdot 17 \cdot 125 = (2 \cdot 8) \cdot 17 \cdot 125 = 2 \cdot 17 \cdot (8 \cdot 125) = 34 \cdot 1000 = 34000$
Ответ: 34000
Решение 3. №4.97 (с. 143)

Решение 4. №4.97 (с. 143)

Другие задания:
Помогло решение? Оставьте отзыв в комментариях ниже.
Мы подготовили для вас ответ c подробным объяснением домашего задания по математике за 5 класс, для упражнения номер 4.97 расположенного на странице 143 для 1-й части к учебнику 2023 года издания для учащихся школ и гимназий.
Теперь на нашем сайте ГДЗ.ТОП вы всегда легко и бесплатно найдёте условие с правильным ответом на вопрос «Как решить ДЗ» и «Как сделать» задание по математике к упражнению №4.97 (с. 143), авторов: Виленкин (Наум Яковлевич), Жохов (Владимир Иванович), Чесноков (Александр Семёнович), Александрова (Лилия Александровна), Шварцбурд (Семён Исаакович), 1-й части ФГОС (новый, красный) базовый уровень обучения учебного пособия издательства Просвещение.