Номер 4, страница 136, часть 1 - гдз по математике 5 класс учебник Виленкин, Жохов

Авторы: Виленкин Н. Я., Жохов В. И., Чесноков А. С., Александрова Л. А., Шварцбурд С. И.
Тип: Учебник
Издательство: Просвещение
Год издания: 2023 - 2025
Уровень обучения: базовый
Часть: 1
Цвет обложки: белый, красный, синий с пазлами
Допущено Министерством просвещения Российской Федерации
Популярные ГДЗ в 5 классе
Проверьте себя. Проверочная работа. § 4. Площади и объёмы. Глава 1. Натуральные числа. ч. 1 - номер 4, страница 136.
№4 (с. 136)
Условие. №4 (с. 136)
скриншот условия

4 Заполните таблицу.
v₁ км/ч | 60 | 70 | 75 | 65 | 48 |
v₂, км/ч | 55 | 70 | 65 | 75 | 56 |
t, ч | 3 | 2 | 4 | 4 | 5 |
sп км | |||||
sод км |
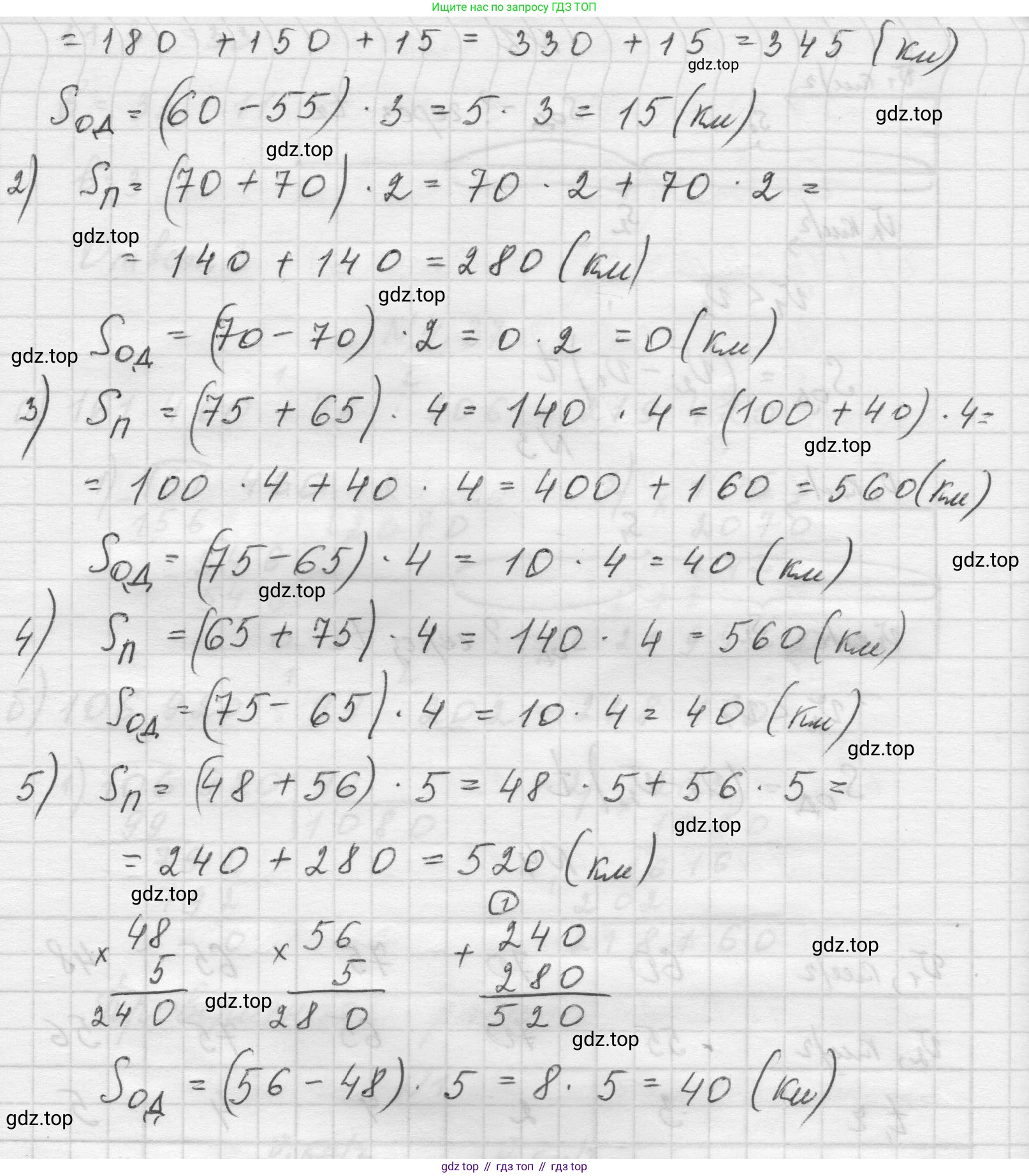
Решение 1. №4 (с. 136)
Решение 2. №4 (с. 136)
Для заполнения таблицы необходимо рассчитать два вида расстояний для каждого столбца, которые зависят от скоростей объектов ($v_1$, $v_2$) и времени их движения ($t$). В задаче, по-видимому, рассматриваются два стандартных случая относительного движения:
- $s_у$ — это расстояние, на которое объекты удалятся друг от друга при движении в противоположных направлениях. В этом случае их скорости складываются (скорость удаления). Формула для расчета: $s_у = (v_1 + v_2) \cdot t$.
- $s_{сбл}$ — это изменение расстояния между объектами при движении в одном направлении. В этом случае их относительная скорость (скорость сближения или удаления) равна модулю разности скоростей. Формула для расчета: $s_{сбл} = |v_1 - v_2| \cdot t$.
Выполним расчеты для каждого столбца таблицы.
Расчет для первого столбца
Дано: $v_1 = 60$ км/ч, $v_2 = 55$ км/ч, $t = 3$ ч.
1. Расстояние удаления при движении в противоположных направлениях:
$s_у = (60 + 55) \cdot 3 = 115 \cdot 3 = 345$ км.
2. Изменение расстояния при движении в одном направлении:
$s_{сбл} = |60 - 55| \cdot 3 = 5 \cdot 3 = 15$ км.
Ответ: $s_у = 345$ км, $s_{сбл} = 15$ км.
Расчет для второго столбца
Дано: $v_1 = 70$ км/ч, $v_2 = 70$ км/ч, $t = 2$ ч.
1. Расстояние удаления при движении в противоположных направлениях:
$s_у = (70 + 70) \cdot 2 = 140 \cdot 2 = 280$ км.
2. Изменение расстояния при движении в одном направлении:
$s_{сбл} = |70 - 70| \cdot 2 = 0 \cdot 2 = 0$ км.
Ответ: $s_у = 280$ км, $s_{сбл} = 0$ км.
Расчет для третьего столбца
Дано: $v_1 = 75$ км/ч, $v_2 = 65$ км/ч, $t = 4$ ч.
1. Расстояние удаления при движении в противоположных направлениях:
$s_у = (75 + 65) \cdot 4 = 140 \cdot 4 = 560$ км.
2. Изменение расстояния при движении в одном направлении:
$s_{сбл} = |75 - 65| \cdot 4 = 10 \cdot 4 = 40$ км.
Ответ: $s_у = 560$ км, $s_{сбл} = 40$ км.
Расчет для четвертого столбца
Дано: $v_1 = 65$ км/ч, $v_2 = 75$ км/ч, $t = 4$ ч.
1. Расстояние удаления при движении в противоположных направлениях:
$s_у = (65 + 75) \cdot 4 = 140 \cdot 4 = 560$ км.
2. Изменение расстояния при движении в одном направлении:
$s_{сбл} = |65 - 75| \cdot 4 = |-10| \cdot 4 = 10 \cdot 4 = 40$ км.
Ответ: $s_у = 560$ км, $s_{сбл} = 40$ км.
Расчет для пятого столбца
Дано: $v_1 = 48$ км/ч, $v_2 = 56$ км/ч, $t = 5$ ч.
1. Расстояние удаления при движении в противоположных направлениях:
$s_у = (48 + 56) \cdot 5 = 104 \cdot 5 = 520$ км.
2. Изменение расстояния при движении в одном направлении:
$s_{сбл} = |48 - 56| \cdot 5 = |-8| \cdot 5 = 8 \cdot 5 = 40$ км.
Ответ: $s_у = 520$ км, $s_{сбл} = 40$ км.
Заполненная таблица:
$v_1$, км/ч | 60 | 70 | 75 | 65 | 48 |
$v_2$, км/ч | 55 | 70 | 65 | 75 | 56 |
$t$, ч | 3 | 2 | 4 | 4 | 5 |
$s_у$, км | 345 | 280 | 560 | 560 | 520 |
$s_{сбл}$, км | 15 | 0 | 40 | 40 | 40 |
Решение 3. №4 (с. 136)


Решение 4. №4 (с. 136)

Другие задания:
Помогло решение? Оставьте отзыв в комментариях ниже.
Мы подготовили для вас ответ c подробным объяснением домашего задания по математике за 5 класс, для упражнения номер 4 расположенного на странице 136 для 1-й части к учебнику 2023 года издания для учащихся школ и гимназий.
Теперь на нашем сайте ГДЗ.ТОП вы всегда легко и бесплатно найдёте условие с правильным ответом на вопрос «Как решить ДЗ» и «Как сделать» задание по математике к упражнению №4 (с. 136), авторов: Виленкин (Наум Яковлевич), Жохов (Владимир Иванович), Чесноков (Александр Семёнович), Александрова (Лилия Александровна), Шварцбурд (Семён Исаакович), 1-й части ФГОС (новый, красный) базовый уровень обучения учебного пособия издательства Просвещение.