Номер 5.279, страница 49, часть 2 - гдз по математике 5 класс учебник Виленкин, Жохов


Авторы: Виленкин Н. Я., Жохов В. И., Чесноков А. С., Александрова Л. А., Шварцбурд С. И.
Тип: Учебник
Издательство: Просвещение
Год издания: 2023 - 2025
Уровень обучения: базовый
Часть: 2
Цвет обложки: белый, красный, синий с пазлами
Допущено Министерством просвещения Российской Федерации
Популярные ГДЗ в 5 классе
32. Сложение и вычитание смешанных чисел. § 5. Обыкновенные дроби. Глава 2. Дробные числа. ч. 2 - номер 5.279, страница 49.
№5.279 (с. 49)
Условие. №5.279 (с. 49)
скриншот условия

5.279 Найдите разность:
а)
б)
в)
г)
Решение 1. №5.279 (с. 49)
Решение 2. №5.279 (с. 49)
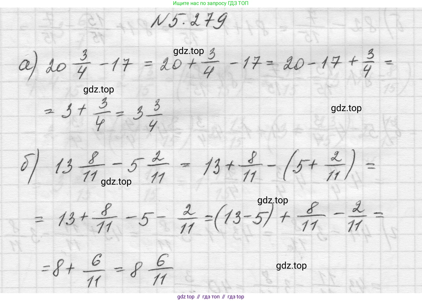
а) Чтобы найти разность смешанного числа и целого числа, нужно из целой части смешанного числа вычесть целое число, а дробную часть оставить без изменений.
$20\frac{3}{4} - 17 = (20 - 17) + \frac{3}{4} = 3 + \frac{3}{4} = 3\frac{3}{4}$
Ответ: $3\frac{3}{4}$.
б) Чтобы найти разность двух смешанных чисел с одинаковыми знаменателями, нужно отдельно вычесть их целые части и отдельно их дробные части, после чего сложить полученные результаты.
$13\frac{8}{11} - 5\frac{2}{11} = (13 - 5) + (\frac{8}{11} - \frac{2}{11}) = 8 + \frac{8-2}{11} = 8 + \frac{6}{11} = 8\frac{6}{11}$
Ответ: $8\frac{6}{11}$.
в) Вычитаем целые части. Поскольку они равны, их разность равна нулю. Дробная часть остается.
$34\frac{7}{15} - 34 = (34 - 34) + \frac{7}{15} = 0 + \frac{7}{15} = \frac{7}{15}$
Ответ: $\frac{7}{15}$.
г) Для нахождения разности двух смешанных чисел с одинаковыми знаменателями, вычитаем отдельно целые части и отдельно дробные части.
$29\frac{19}{23} - 7\frac{6}{23} = (29 - 7) + (\frac{19}{23} - \frac{6}{23}) = 22 + \frac{19-6}{23} = 22 + \frac{13}{23} = 22\frac{13}{23}$
Ответ: $22\frac{13}{23}$.
Решение 3. №5.279 (с. 49)

Решение 4. №5.279 (с. 49)

Другие задания:
Помогло решение? Оставьте отзыв в комментариях ниже.
Мы подготовили для вас ответ c подробным объяснением домашего задания по математике за 5 класс, для упражнения номер 5.279 расположенного на странице 49 для 2-й части к учебнику 2023 года издания для учащихся школ и гимназий.
Теперь на нашем сайте ГДЗ.ТОП вы всегда легко и бесплатно найдёте условие с правильным ответом на вопрос «Как решить ДЗ» и «Как сделать» задание по математике к упражнению №5.279 (с. 49), авторов: Виленкин (Наум Яковлевич), Жохов (Владимир Иванович), Чесноков (Александр Семёнович), Александрова (Лилия Александровна), Шварцбурд (Семён Исаакович), 2-й части ФГОС (новый, красный) базовый уровень обучения учебного пособия издательства Просвещение.