Номер 5.281, страница 49, часть 2 - гдз по математике 5 класс учебник Виленкин, Жохов


Авторы: Виленкин Н. Я., Жохов В. И., Чесноков А. С., Александрова Л. А., Шварцбурд С. И.
Тип: Учебник
Издательство: Просвещение
Год издания: 2023 - 2025
Уровень обучения: базовый
Часть: 2
Цвет обложки: белый, красный, синий с пазлами
Допущено Министерством просвещения Российской Федерации
Популярные ГДЗ в 5 классе
32. Сложение и вычитание смешанных чисел. § 5. Обыкновенные дроби. Глава 2. Дробные числа. ч. 2 - номер 5.281, страница 49.
№5.281 (с. 49)
Условие. №5.281 (с. 49)
скриншот условия

5.281 Вычислите:

Решение 1. №5.281 (с. 49)
Решение 2. №5.281 (с. 49)
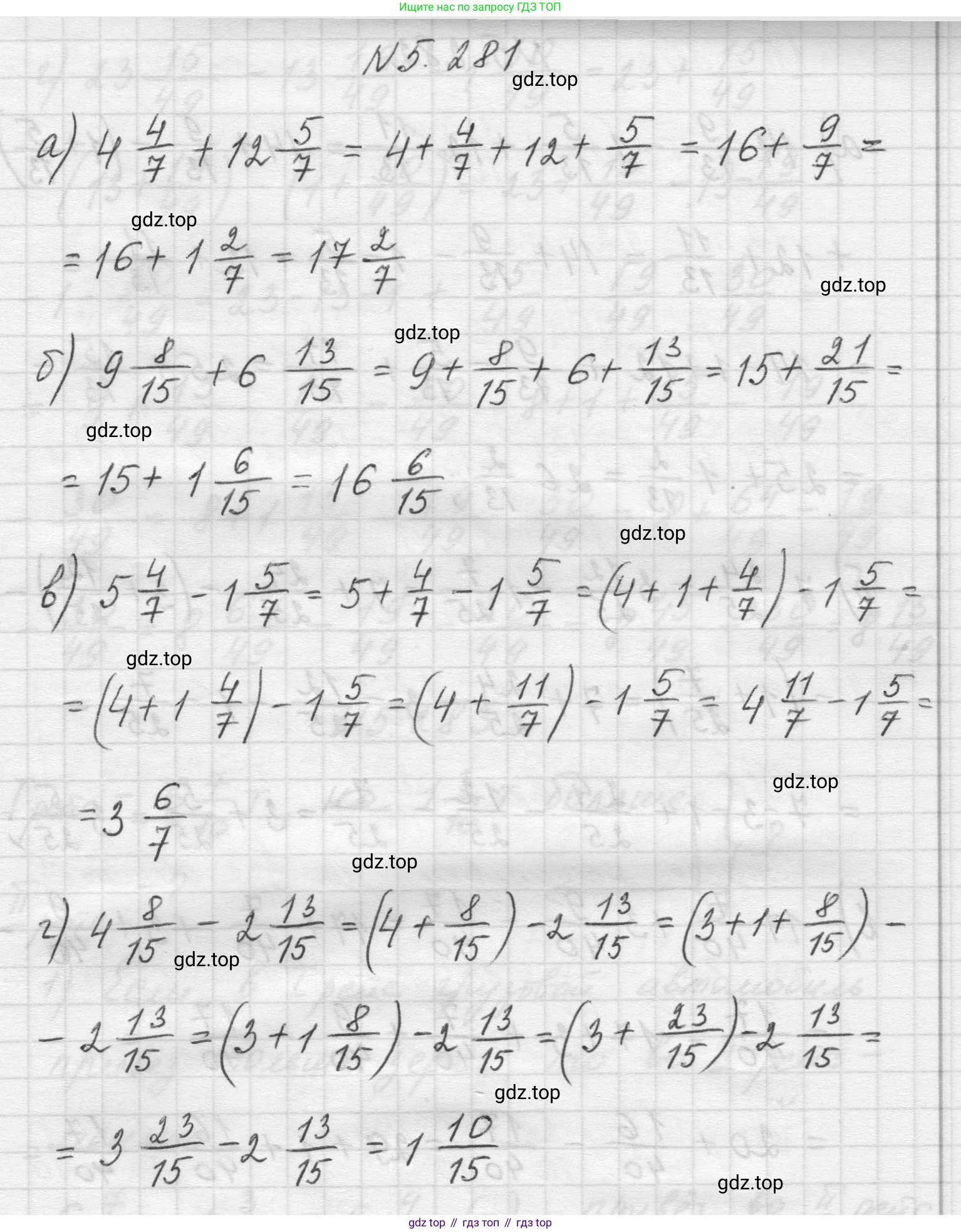
а) $4\frac{4}{7} + 12\frac{5}{7}$
Чтобы сложить смешанные числа, у которых знаменатели дробных частей одинаковы, можно сложить их целые и дробные части по отдельности.
Сложим целые части: $4 + 12 = 16$.
Сложим дробные части: $\frac{4}{7} + \frac{5}{7} = \frac{4+5}{7} = \frac{9}{7}$.
Так как дробная часть получилась в виде неправильной дроби, выделим из нее целую часть: $\frac{9}{7} = 1\frac{2}{7}$.
Теперь сложим результат сложения целых частей с полученной смешанной дробью: $16 + 1\frac{2}{7} = 17\frac{2}{7}$.
Ответ: $17\frac{2}{7}$.
б) $9\frac{8}{15} + 6\frac{13}{15}$
Складываем целые и дробные части отдельно.
Сложение целых частей: $9 + 6 = 15$.
Сложение дробных частей: $\frac{8}{15} + \frac{13}{15} = \frac{8+13}{15} = \frac{21}{15}$.
Выделим целую часть из неправильной дроби $\frac{21}{15}$: $\frac{21}{15} = 1\frac{6}{15}$.
Сократим дробную часть полученного числа: $\frac{6}{15} = \frac{6 \div 3}{15 \div 3} = \frac{2}{5}$. Таким образом, $1\frac{6}{15} = 1\frac{2}{5}$.
Прибавим эту часть к результату сложения целых частей: $15 + 1\frac{2}{5} = 16\frac{2}{5}$.
Ответ: $16\frac{2}{5}$.
в) $5\frac{4}{7} - 1\frac{5}{7}$
При вычитании смешанных чисел мы видим, что дробная часть уменьшаемого ($\frac{4}{7}$) меньше дробной части вычитаемого ($\frac{5}{7}$). В этом случае нужно "занять" единицу у целой части уменьшаемого и представить ее в виде дроби со знаменателем 7.
$5\frac{4}{7} = 4 + 1 + \frac{4}{7} = 4 + \frac{7}{7} + \frac{4}{7} = 4\frac{11}{7}$.
Теперь можно выполнить вычитание: $4\frac{11}{7} - 1\frac{5}{7}$.
Вычтем целые части: $4 - 1 = 3$.
Вычтем дробные части: $\frac{11}{7} - \frac{5}{7} = \frac{11-5}{7} = \frac{6}{7}$.
Объединим результаты: $3\frac{6}{7}$.
Ответ: $3\frac{6}{7}$.
г) $4\frac{8}{15} - 2\frac{13}{15}$
Дробная часть уменьшаемого ($\frac{8}{15}$) меньше дробной части вычитаемого ($\frac{13}{15}$), поэтому необходимо "занять" единицу у целой части уменьшаемого.
$4\frac{8}{15} = 3 + 1 + \frac{8}{15} = 3 + \frac{15}{15} + \frac{8}{15} = 3\frac{23}{15}$.
Теперь выполним вычитание из преобразованного числа: $3\frac{23}{15} - 2\frac{13}{15}$.
Вычитаем целые части: $3 - 2 = 1$.
Вычитаем дробные части: $\frac{23}{15} - \frac{13}{15} = \frac{23-13}{15} = \frac{10}{15}$.
Сократим полученную дробь, разделив числитель и знаменатель на 5: $\frac{10}{15} = \frac{10 \div 5}{15 \div 5} = \frac{2}{3}$.
Объединим целую и дробную части: $1\frac{2}{3}$.
Ответ: $1\frac{2}{3}$.
Решение 3. №5.281 (с. 49)

Решение 4. №5.281 (с. 49)

Другие задания:
Помогло решение? Оставьте отзыв в комментариях ниже.
Мы подготовили для вас ответ c подробным объяснением домашего задания по математике за 5 класс, для упражнения номер 5.281 расположенного на странице 49 для 2-й части к учебнику 2023 года издания для учащихся школ и гимназий.
Теперь на нашем сайте ГДЗ.ТОП вы всегда легко и бесплатно найдёте условие с правильным ответом на вопрос «Как решить ДЗ» и «Как сделать» задание по математике к упражнению №5.281 (с. 49), авторов: Виленкин (Наум Яковлевич), Жохов (Владимир Иванович), Чесноков (Александр Семёнович), Александрова (Лилия Александровна), Шварцбурд (Семён Исаакович), 2-й части ФГОС (новый, красный) базовый уровень обучения учебного пособия издательства Просвещение.