Номер 6.269, страница 131, часть 2 - гдз по математике 5 класс учебник Виленкин, Жохов


Авторы: Виленкин Н. Я., Жохов В. И., Чесноков А. С., Александрова Л. А., Шварцбурд С. И.
Тип: Учебник
Издательство: Просвещение
Год издания: 2023 - 2025
Уровень обучения: базовый
Часть: 2
Цвет обложки: белый, красный, синий с пазлами
Допущено Министерством просвещения Российской Федерации
Популярные ГДЗ в 5 классе
47. Умножение на десятичную дробь. § 6. Десятичные дроби. Глава 2. Дробные числа. ч. 2 - номер 6.269, страница 131.
№6.269 (с. 131)
Условие. №6.269 (с. 131)
скриншот условия

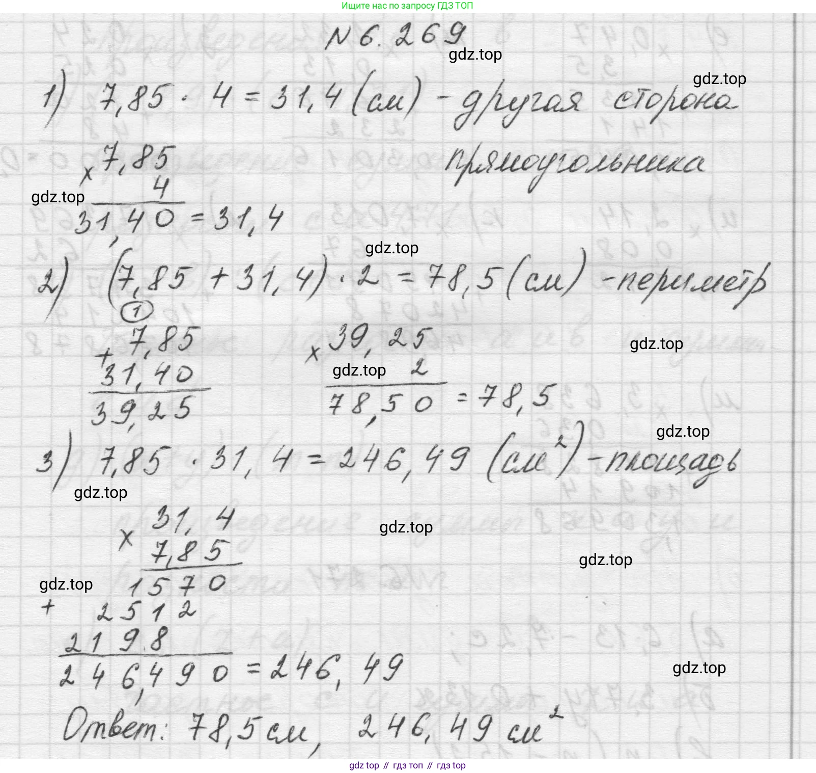
6.269 Вычислите периметр и площадь прямоугольника, если одна его сторона равна 7,85 см, а другая — в 4 раза длиннее.
Решение 1. №6.269 (с. 131)
Решение 2. №6.269 (с. 131)
Для решения задачи сначала найдем длины обеих сторон прямоугольника. Пусть длина одной стороны, обозначим ее $a$, равна $7,85$ см. Согласно условию, другая сторона, $b$, в 4 раза длиннее.
Вычислим длину второй стороны:
$b = a \cdot 4 = 7,85 \text{ см} \cdot 4 = 31,4 \text{ см}$.
Теперь, зная длины обеих сторон, мы можем вычислить периметр и площадь.
Вычисление периметра
Периметр прямоугольника ($P$) — это сумма длин всех его сторон. Он вычисляется по формуле $P = 2(a+b)$. Подставим в формулу известные значения длин сторон:
$P = 2 \cdot (7,85 + 31,4) = 2 \cdot 39,25 = 78,5 \text{ см}$.
Ответ: периметр прямоугольника равен 78,5 см.
Вычисление площади
Площадь прямоугольника ($S$) вычисляется как произведение его длины на ширину по формуле $S = a \cdot b$. Подставим значения сторон:
$S = 7,85 \text{ см} \cdot 31,4 \text{ см} = 246,49 \text{ см}^2$.
Ответ: площадь прямоугольника равна 246,49 см$^2$.
Решение 3. №6.269 (с. 131)


Решение 4. №6.269 (с. 131)

Другие задания:
Помогло решение? Оставьте отзыв в комментариях ниже.
Мы подготовили для вас ответ c подробным объяснением домашего задания по математике за 5 класс, для упражнения номер 6.269 расположенного на странице 131 для 2-й части к учебнику 2023 года издания для учащихся школ и гимназий.
Теперь на нашем сайте ГДЗ.ТОП вы всегда легко и бесплатно найдёте условие с правильным ответом на вопрос «Как решить ДЗ» и «Как сделать» задание по математике к упражнению №6.269 (с. 131), авторов: Виленкин (Наум Яковлевич), Жохов (Владимир Иванович), Чесноков (Александр Семёнович), Александрова (Лилия Александровна), Шварцбурд (Семён Исаакович), 2-й части ФГОС (новый, красный) базовый уровень обучения учебного пособия издательства Просвещение.