Номер 6.359, страница 141, часть 2 - гдз по математике 5 класс учебник Виленкин, Жохов


Авторы: Виленкин Н. Я., Жохов В. И., Чесноков А. С., Александрова Л. А., Шварцбурд С. И.
Тип: Учебник
Издательство: Просвещение
Год издания: 2023 - 2025
Уровень обучения: базовый
Часть: 2
Цвет обложки: белый, красный, синий с пазлами
Допущено Министерством просвещения Российской Федерации
Популярные ГДЗ в 5 классе
48. Деление на десятичную дробь. § 6. Десятичные дроби. Глава 2. Дробные числа. ч. 2 - номер 6.359, страница 141.
№6.359 (с. 141)
Условие. №6.359 (с. 141)
скриншот условия

6.359 Выполните деление:
б) 1,972 : 5,8;
в) 41,666 : 8,3;
г) 1,8315 : 4,5;
д) 213,9 : 9,3; е) 0,0825 : 0,33;
ж) 0,03472 : 0,028;
з) 15,39 : 4,05;
и) 86,496 : 21,2.
Решение 1. №6.359 (с. 141)
Решение 2. №6.359 (с. 141)
а) Чтобы выполнить деление десятичных дробей, нужно перенести запятую в делителе и делимом на столько знаков вправо, чтобы делитель стал целым числом.
В примере $19,44 : 7,2$ перенесем запятую на один знак вправо. Получим $194,4 : 72$.
Выполним деление столбиком:
$194,4 \div 72 = 2,7$.
$194$ делим на $72$, получаем $2$. $72 \cdot 2 = 144$. Остаток $194 - 144 = 50$.
Сносим $4$ после запятой, в частном тоже ставим запятую. Делим $504$ на $72$, получаем $7$. $72 \cdot 7 = 504$. Остаток $0$.
Ответ: 2,7
б) В примере $1,972 : 5,8$ перенесем запятую на один знак вправо. Получим $19,72 : 58$.
Выполним деление:
$19,72 \div 58 = 0,34$.
$19$ меньше $58$, поэтому в частном пишем $0$ и ставим запятую.
Делим $197$ на $58$, получаем $3$. $58 \cdot 3 = 174$. Остаток $197 - 174 = 23$.
Сносим $2$. Делим $232$ на $58$, получаем $4$. $58 \cdot 4 = 232$. Остаток $0$.
Ответ: 0,34
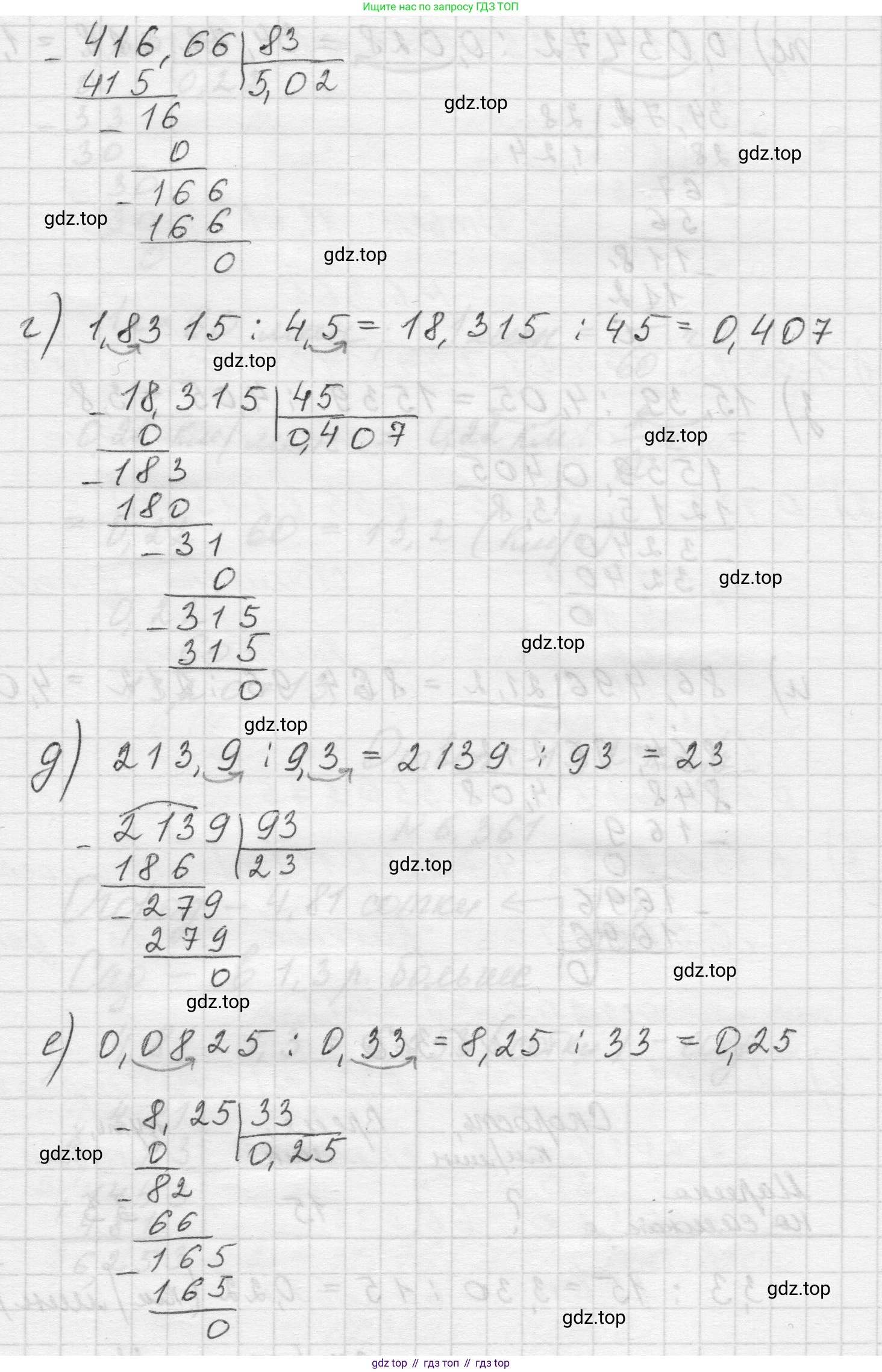
в) В примере $41,666 : 8,3$ перенесем запятую на один знак вправо. Получим $416,66 : 83$.
Выполним деление:
$416,66 \div 83 = 5,02$.
Делим $416$ на $83$, получаем $5$. $83 \cdot 5 = 415$. Остаток $416 - 415 = 1$.
Ставим в частном запятую. Сносим $6$. $16$ меньше $83$, поэтому в частном пишем $0$.
Сносим следующую $6$. Делим $166$ на $83$, получаем $2$. $83 \cdot 2 = 166$. Остаток $0$.
Ответ: 5,02
г) В примере $1,8315 : 4,5$ перенесем запятую на один знак вправо. Получим $18,315 : 45$.
Выполним деление:
$18,315 \div 45 = 0,407$.
$18$ меньше $45$, поэтому в частном пишем $0$ и ставим запятую.
Делим $183$ на $45$, получаем $4$. $45 \cdot 4 = 180$. Остаток $183 - 180 = 3$.
Сносим $1$. $31$ меньше $45$, поэтому в частном пишем $0$.
Сносим $5$. Делим $315$ на $45$, получаем $7$. $45 \cdot 7 = 315$. Остаток $0$.
Ответ: 0,407
д) В примере $213,9 : 9,3$ перенесем запятую на один знак вправо. Получим $2139 : 93$.
Выполним деление:
$2139 \div 93 = 23$.
Делим $213$ на $93$, получаем $2$. $93 \cdot 2 = 186$. Остаток $213 - 186 = 27$.
Сносим $9$. Делим $279$ на $93$, получаем $3$. $93 \cdot 3 = 279$. Остаток $0$.
Ответ: 23
е) В примере $0,0825 : 0,33$ перенесем запятую на два знака вправо. Получим $8,25 : 33$.
Выполним деление:
$8,25 \div 33 = 0,25$.
$8$ меньше $33$, поэтому в частном пишем $0$ и ставим запятую.
Делим $82$ на $33$, получаем $2$. $33 \cdot 2 = 66$. Остаток $82 - 66 = 16$.
Сносим $5$. Делим $165$ на $33$, получаем $5$. $33 \cdot 5 = 165$. Остаток $0$.
Ответ: 0,25
ж) В примере $0,03472 : 0,028$ перенесем запятую на три знака вправо. Получим $34,72 : 28$.
Выполним деление:
$34,72 \div 28 = 1,24$.
Делим $34$ на $28$, получаем $1$. $28 \cdot 1 = 28$. Остаток $34 - 28 = 6$.
Ставим в частном запятую. Сносим $7$. Делим $67$ на $28$, получаем $2$. $28 \cdot 2 = 56$. Остаток $67 - 56 = 11$.
Сносим $2$. Делим $112$ на $28$, получаем $4$. $28 \cdot 4 = 112$. Остаток $0$.
Ответ: 1,24
з) В примере $15,39 : 4,05$ перенесем запятую на два знака вправо. Получим $1539 : 405$.
Выполним деление:
$1539 \div 405 = 3,8$.
Делим $1539$ на $405$, получаем $3$. $405 \cdot 3 = 1215$. Остаток $1539 - 1215 = 324$.
Ставим в частном запятую и дописываем к остатку $0$. Делим $3240$ на $405$, получаем $8$. $405 \cdot 8 = 3240$. Остаток $0$.
Ответ: 3,8
и) В примере $86,496 : 21,2$ перенесем запятую на один знак вправо. Получим $864,96 : 212$.
Выполним деление:
$864,96 \div 212 = 4,08$.
Делим $864$ на $212$, получаем $4$. $212 \cdot 4 = 848$. Остаток $864 - 848 = 16$.
Ставим в частном запятую. Сносим $9$. $169$ меньше $212$, поэтому в частном пишем $0$.
Сносим $6$. Делим $1696$ на $212$, получаем $8$. $212 \cdot 8 = 1696$. Остаток $0$.
Ответ: 4,08
Решение 3. №6.359 (с. 141)


Решение 4. №6.359 (с. 141)

Другие задания:
Помогло решение? Оставьте отзыв в комментариях ниже.
Мы подготовили для вас ответ c подробным объяснением домашего задания по математике за 5 класс, для упражнения номер 6.359 расположенного на странице 141 для 2-й части к учебнику 2023 года издания для учащихся школ и гимназий.
Теперь на нашем сайте ГДЗ.ТОП вы всегда легко и бесплатно найдёте условие с правильным ответом на вопрос «Как решить ДЗ» и «Как сделать» задание по математике к упражнению №6.359 (с. 141), авторов: Виленкин (Наум Яковлевич), Жохов (Владимир Иванович), Чесноков (Александр Семёнович), Александрова (Лилия Александровна), Шварцбурд (Семён Исаакович), 2-й части ФГОС (новый, красный) базовый уровень обучения учебного пособия издательства Просвещение.