Номер 6.365, страница 141, часть 2 - гдз по математике 5 класс учебник Виленкин, Жохов


Авторы: Виленкин Н. Я., Жохов В. И., Чесноков А. С., Александрова Л. А., Шварцбурд С. И.
Тип: Учебник
Издательство: Просвещение
Год издания: 2023 - 2025
Уровень обучения: базовый
Часть: 2
Цвет обложки: белый, красный, синий с пазлами
Допущено Министерством просвещения Российской Федерации
Популярные ГДЗ в 5 классе
48. Деление на десятичную дробь. § 6. Десятичные дроби. Глава 2. Дробные числа. ч. 2 - номер 6.365, страница 141.
№6.365 (с. 141)
Условие. №6.365 (с. 141)
скриншот условия

6.365 Найдите корень уравнения:
а) 2,442 : (6,8 - x) = 8,14;
б) 3,6 • (1,3 + y) = 7,56;
в) 0,3n + 1,6n - 0,31 = 0,45;
г) 8,3m - 4m - 1,8m + 4,25 = 8.
Решение 1. №6.365 (с. 141)
Решение 2. №6.365 (с. 141)
а) $2,442 : (6,8 - x) = 8,14$
В данном уравнении неизвестное $x$ является частью делителя. Чтобы найти делитель $(6,8 - x)$, необходимо разделить делимое $2,442$ на частное $8,14$.
$6,8 - x = 2,442 : 8,14$
$6,8 - x = 0,3$
Теперь мы имеем простое уравнение, где $x$ — вычитаемое. Чтобы найти вычитаемое, нужно из уменьшаемого $6,8$ вычесть разность $0,3$.
$x = 6,8 - 0,3$
$x = 6,5$
Ответ: $6,5$
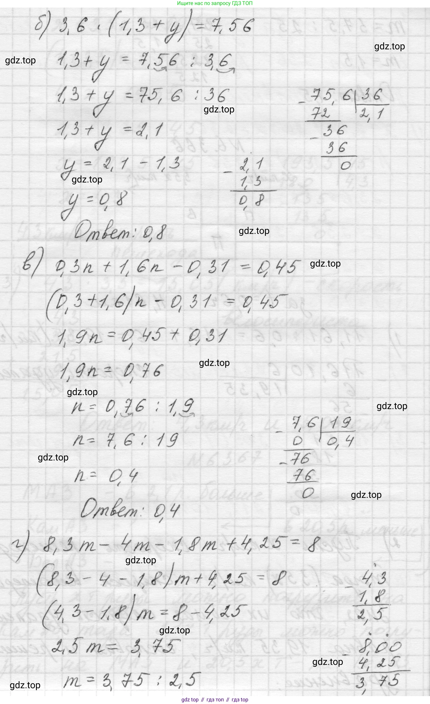
б) $3,6 \cdot (1,3 + y) = 7,56$
В этом уравнении неизвестное $y$ является частью одного из множителей. Чтобы найти этот множитель $(1,3 + y)$, нужно разделить произведение $7,56$ на известный множитель $3,6$.
$1,3 + y = 7,56 : 3,6$
$1,3 + y = 2,1$
Теперь, чтобы найти неизвестное слагаемое $y$, нужно из суммы $2,1$ вычесть известное слагаемое $1,3$.
$y = 2,1 - 1,3$
$y = 0,8$
Ответ: $0,8$
в) $0,3n + 1,6n - 0,31 = 0,45$
Сначала упростим уравнение, приведя подобные слагаемые с переменной $n$ в левой части.
$(0,3 + 1,6)n - 0,31 = 0,45$
$1,9n - 0,31 = 0,45$
Далее, перенесем свободный член $-0,31$ в правую часть уравнения, изменив его знак на противоположный.
$1,9n = 0,45 + 0,31$
$1,9n = 0,76$
Чтобы найти $n$, разделим обе части уравнения на коэффициент при $n$, то есть на $1,9$.
$n = 0,76 : 1,9$
$n = 0,4$
Ответ: $0,4$
г) $8,3m - 4m - 1,8m + 4,25 = 8$
Сначала упростим уравнение, приведя подобные слагаемые с переменной $m$ в левой части.
$(8,3 - 4 - 1,8)m + 4,25 = 8$
$(4,3 - 1,8)m + 4,25 = 8$
$2,5m + 4,25 = 8$
Далее, перенесем свободный член $4,25$ в правую часть уравнения, изменив его знак на противоположный.
$2,5m = 8 - 4,25$
$2,5m = 3,75$
Чтобы найти $m$, разделим обе части уравнения на коэффициент при $m$, то есть на $2,5$.
$m = 3,75 : 2,5$
$m = 1,5$
Ответ: $1,5$
Решение 3. №6.365 (с. 141)


Решение 4. №6.365 (с. 141)

Другие задания:
Помогло решение? Оставьте отзыв в комментариях ниже.
Мы подготовили для вас ответ c подробным объяснением домашего задания по математике за 5 класс, для упражнения номер 6.365 расположенного на странице 141 для 2-й части к учебнику 2023 года издания для учащихся школ и гимназий.
Теперь на нашем сайте ГДЗ.ТОП вы всегда легко и бесплатно найдёте условие с правильным ответом на вопрос «Как решить ДЗ» и «Как сделать» задание по математике к упражнению №6.365 (с. 141), авторов: Виленкин (Наум Яковлевич), Жохов (Владимир Иванович), Чесноков (Александр Семёнович), Александрова (Лилия Александровна), Шварцбурд (Семён Исаакович), 2-й части ФГОС (новый, красный) базовый уровень обучения учебного пособия издательства Просвещение.