Номер 6.5, страница 94, часть 2 - гдз по математике 5 класс учебник Виленкин, Жохов


Авторы: Виленкин Н. Я., Жохов В. И., Чесноков А. С., Александрова Л. А., Шварцбурд С. И.
Тип: Учебник
Издательство: Просвещение
Год издания: 2023 - 2025
Уровень обучения: базовый
Часть: 2
Цвет обложки: белый, красный, синий с пазлами
Допущено Министерством просвещения Российской Федерации
Популярные ГДЗ в 5 классе
41. Десятичная запись дробей. § 6. Десятичные дроби. Глава 2. Дробные числа. ч. 2 - номер 6.5, страница 94.
№6.5 (с. 94)
Условие. №6.5 (с. 94)
скриншот условия

6.5 Выразите:
а) в метрах: 4 м 6 дм; 7 м 1 дм; 8 дм; 6 см 5 мм;
б) в тоннах: 25 т 6 ц; 20 ц 75 кг; 12 ц 40 кг; 72 кг; 25 т 6 ц; 20 ц 75 кг;
в) в килограммах: 9 кг 559 г; 8 кг 11 г; 8 т 11 кг 5 г; 250 г;
г) в тоннах и центнерах: 2,441 т; 26,200 т; 9,031 т; 7,070 т;
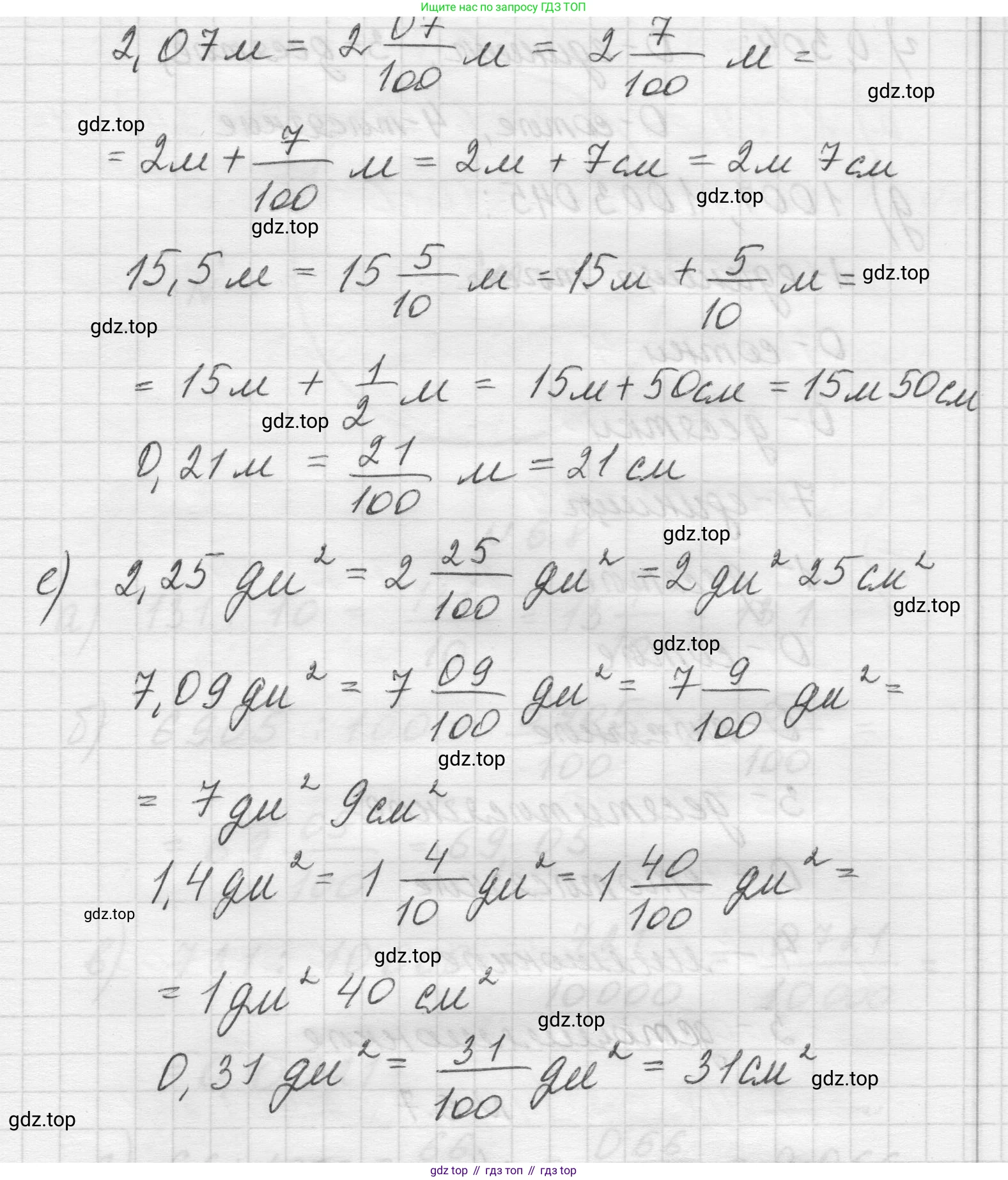
д) в метрах и сантиметрах: 4,79 м; 2,07 м; 15,5 м; 0,21 м;
е) в квадратных дециметрах и квадратных сантиметрах: 2,25 дм²; 7,09 дм²; 1,4 дм²; 0,31 дм².
Решение 1. №6.5 (с. 94)
Решение 2. №6.5 (с. 94)
а) в метрах
Для перевода в метры используем следующие соотношения: в одном метре 10 дециметров ($1 \text{ м} = 10 \text{ дм}$), 100 сантиметров ($1 \text{ м} = 100 \text{ см}$) и 1000 миллиметров ($1 \text{ м} = 1000 \text{ мм}$).
4 м 6 дм: Дециметры переводим в метры: $6 \text{ дм} = \frac{6}{10} \text{ м} = 0,6 \text{ м}$. Складываем с метрами: $4 \text{ м} + 0,6 \text{ м} = 4,6 \text{ м}$.
7 м 1 дм: $1 \text{ дм} = \frac{1}{10} \text{ м} = 0,1 \text{ м}$. Складываем: $7 \text{ м} + 0,1 \text{ м} = 7,1 \text{ м}$.
8 дм: $8 \text{ дм} = \frac{8}{10} \text{ м} = 0,8 \text{ м}$.
6 см 5 мм: Переводим обе величины в метры: $6 \text{ см} = \frac{6}{100} \text{ м} = 0,06 \text{ м}$ и $5 \text{ мм} = \frac{5}{1000} \text{ м} = 0,005 \text{ м}$. Складываем их: $0,06 \text{ м} + 0,005 \text{ м} = 0,065 \text{ м}$.
Ответ: 4,6 м; 7,1 м; 0,8 м; 0,065 м.
б) в тоннах
Для перевода в тонны используем соотношения: в одной тонне 10 центнеров ($1 \text{ т} = 10 \text{ ц}$) и 1000 килограммов ($1 \text{ т} = 1000 \text{ кг}$). В задании некоторые значения повторяются, поэтому приведем решение для уникальных.
25 т 6 ц: Центнеры переводим в тонны: $6 \text{ ц} = \frac{6}{10} \text{ т} = 0,6 \text{ т}$. Складываем: $25 \text{ т} + 0,6 \text{ т} = 25,6 \text{ т}$.
20 ц 75 кг: Переводим обе величины в тонны: $20 \text{ ц} = \frac{20}{10} \text{ т} = 2 \text{ т}$ и $75 \text{ кг} = \frac{75}{1000} \text{ т} = 0,075 \text{ т}$. Складываем: $2 \text{ т} + 0,075 \text{ т} = 2,075 \text{ т}$.
12 ц 40 кг: Переводим обе величины в тонны: $12 \text{ ц} = \frac{12}{10} \text{ т} = 1,2 \text{ т}$ и $40 \text{ кг} = \frac{40}{1000} \text{ т} = 0,04 \text{ т}$. Складываем: $1,2 \text{ т} + 0,04 \text{ т} = 1,24 \text{ т}$.
72 кг: $72 \text{ кг} = \frac{72}{1000} \text{ т} = 0,072 \text{ т}$.
Ответ: 25,6 т; 2,075 т; 1,24 т; 0,072 т; 25,6 т; 2,075 т.
в) в килограммах
Для перевода в килограммы используем соотношения: в одном килограмме 1000 граммов ($1 \text{ кг} = 1000 \text{ г}$), в одной тонне 1000 килограммов ($1 \text{ т} = 1000 \text{ кг}$).
9 кг 559 г: Граммы переводим в килограммы: $559 \text{ г} = \frac{559}{1000} \text{ кг} = 0,559 \text{ кг}$. Складываем: $9 \text{ кг} + 0,559 \text{ кг} = 9,559 \text{ кг}$.
8 кг 11 г: $11 \text{ г} = \frac{11}{1000} \text{ кг} = 0,011 \text{ кг}$. Складываем: $8 \text{ кг} + 0,011 \text{ кг} = 8,011 \text{ кг}$.
8 т 11 кг 5 г: Переводим все в килограммы: $8 \text{ т} = 8 \cdot 1000 \text{ кг} = 8000 \text{ кг}$, $5 \text{ г} = \frac{5}{1000} \text{ кг} = 0,005 \text{ кг}$. Складываем все: $8000 \text{ кг} + 11 \text{ кг} + 0,005 \text{ кг} = 8011,005 \text{ кг}$.
250 г: $250 \text{ г} = \frac{250}{1000} \text{ кг} = 0,25 \text{ кг}$.
Ответ: 9,559 кг; 8,011 кг; 8011,005 кг; 0,25 кг.
г) в тоннах и центнерах
Для представления десятичной дроби в тоннах через тонны, центнеры и килограммы, используем соотношения: $1 \text{ т} = 10 \text{ ц}$ и $1 \text{ ц} = 100 \text{ кг}$. Целая часть исходного числа — это тонны. Дробную часть тонн переводим в меньшие единицы.
2,441 т: Это $2$ целых тонны и $0,441$ тонны. $0,441 \text{ т} = 0,441 \cdot 10 \text{ ц} = 4,41 \text{ ц}$. Это $4$ целых центнера и $0,41$ центнера. $0,41 \text{ ц} = 0,41 \cdot 100 \text{ кг} = 41 \text{ кг}$. Итого: $2$ т $4$ ц $41$ кг.
26,200 т: Это $26$ тонн и $0,200 \text{ т} = 0,2$ т. $0,2 \text{ т} = 0,2 \cdot 10 \text{ ц} = 2 \text{ ц}$. Итого: $26$ т $2$ ц.
9,031 т: Это $9$ тонн и $0,031$ т. $0,031 \text{ т} = 0,031 \cdot 1000 \text{ кг} = 31 \text{ кг}$. Поскольку $31 \text{ кг}$ меньше, чем $1$ центнер ($100$ кг), то целых центнеров нет. Итого: $9$ т $31$ кг.
7,070 т: Это $7$ тонн и $0,070 \text{ т} = 0,07$ т. $0,07 \text{ т} = 0,07 \cdot 1000 \text{ кг} = 70 \text{ кг}$. Целых центнеров нет. Итого: $7$ т $70$ кг.
Ответ: 2 т 4 ц 41 кг; 26 т 2 ц; 9 т 31 кг; 7 т 70 кг.
д) в метрах и сантиметрах
Для представления десятичной дроби в метрах через метры и сантиметры, используем соотношение $1 \text{ м} = 100 \text{ см}$. Целая часть числа — это метры, а дробная часть, умноженная на 100, — сантиметры.
4,79 м: $4$ целых метра и $0,79$ м. $0,79 \text{ м} = 0,79 \cdot 100 \text{ см} = 79 \text{ см}$. Итого: $4$ м $79$ см.
2,07 м: $2$ целых метра и $0,07$ м. $0,07 \text{ м} = 0,07 \cdot 100 \text{ см} = 7 \text{ см}$. Итого: $2$ м $7$ см.
15,5 м: $15$ целых метров и $0,5$ м. $0,5 \text{ м} = 0,50 \text{ м} = 0,50 \cdot 100 \text{ см} = 50 \text{ см}$. Итого: $15$ м $50$ см.
0,21 м: $0$ целых метров и $0,21$ м. $0,21 \text{ м} = 0,21 \cdot 100 \text{ см} = 21 \text{ см}$. Итого: $21$ см.
Ответ: 4 м 79 см; 2 м 7 см; 15 м 50 см; 21 см.
е) в квадратных дециметрах и квадратных сантиметрах
Для перевода используем соотношение $1 \text{ дм}? = 100 \text{ см}?$. Целая часть числа — это квадратные дециметры, а дробная часть, умноженная на 100, — квадратные сантиметры.
2,25 дм?: $2$ целых дм? и $0,25$ дм?. $0,25 \text{ дм}? = 0,25 \cdot 100 \text{ см}? = 25 \text{ см}?$. Итого: $2$ дм? $25$ см?.
7,09 дм?: $7$ целых дм? и $0,09$ дм?. $0,09 \text{ дм}? = 0,09 \cdot 100 \text{ см}? = 9 \text{ см}?$. Итого: $7$ дм? $9$ см?.
1,4 дм?: $1$ целый дм? и $0,4$ дм?. $0,4 \text{ дм}? = 0,40 \text{ дм}? = 0,40 \cdot 100 \text{ см}? = 40 \text{ см}?$. Итого: $1$ дм? $40$ см?.
0,31 дм?: $0$ целых дм? и $0,31$ дм?. $0,31 \text{ дм}? = 0,31 \cdot 100 \text{ см}? = 31 \text{ см}?$. Итого: $31$ см?.
Ответ: 2 дм? 25 см?; 7 дм? 9 см?; 1 дм? 40 см?; 31 см?.
Решение 3. №6.5 (с. 94)


Решение 4. №6.5 (с. 94)

Другие задания:
Помогло решение? Оставьте отзыв в комментариях ниже.
Мы подготовили для вас ответ c подробным объяснением домашего задания по математике за 5 класс, для упражнения номер 6.5 расположенного на странице 94 для 2-й части к учебнику 2023 года издания для учащихся школ и гимназий.
Теперь на нашем сайте ГДЗ.ТОП вы всегда легко и бесплатно найдёте условие с правильным ответом на вопрос «Как решить ДЗ» и «Как сделать» задание по математике к упражнению №6.5 (с. 94), авторов: Виленкин (Наум Яковлевич), Жохов (Владимир Иванович), Чесноков (Александр Семёнович), Александрова (Лилия Александровна), Шварцбурд (Семён Исаакович), 2-й части ФГОС (новый, красный) базовый уровень обучения учебного пособия издательства Просвещение.