Номер 6.9, страница 94, часть 2 - гдз по математике 5 класс учебник Виленкин, Жохов


Авторы: Виленкин Н. Я., Жохов В. И., Чесноков А. С., Александрова Л. А., Шварцбурд С. И.
Тип: Учебник
Издательство: Просвещение
Год издания: 2023 - 2025
Уровень обучения: базовый
Часть: 2
Цвет обложки: белый, красный, синий с пазлами
Допущено Министерством просвещения Российской Федерации
Популярные ГДЗ в 5 классе
41. Десятичная запись дробей. § 6. Десятичные дроби. Глава 2. Дробные числа. ч. 2 - номер 6.9, страница 94.
№6.9 (с. 94)
Условие. №6.9 (с. 94)
скриншот условия

6.9 Вычислите.

Решение 1. №6.9 (с. 94)
Решение 2. №6.9 (с. 94)
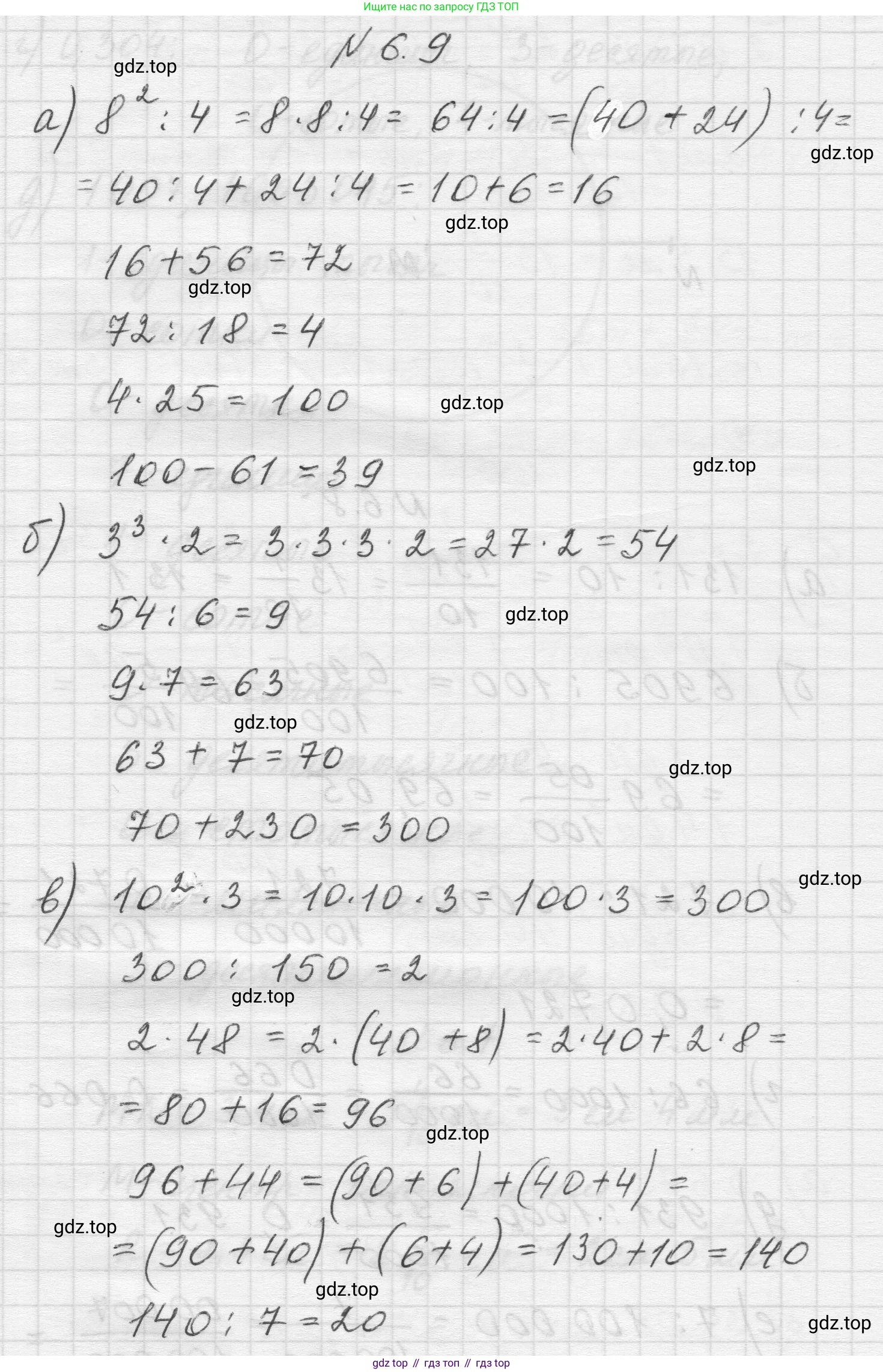
а) Решим по действиям:
1) $8^2 : 4 = 64 : 4 = 16$
2) $16 + 56 = 72$
3) $72 : 18 = 4$
4) $4 \cdot 25 = 100$
5) $100 - 61 = 39$
Ответ: 39
б) Решим по действиям:
1) $3^3 \cdot 2 = 27 \cdot 2 = 54$
2) $54 : 6 = 9$
3) $9 \cdot 7 = 63$
4) $63 + 7 = 70$
5) $70 + 230 = 300$
Ответ: 300
в) Решим по действиям:
1) $10^2 \cdot 3 = 100 \cdot 3 = 300$
2) $300 : 150 = 2$
3) $2 \cdot 48 = 96$
4) $96 + 44 = 140$
5) $140 : 7 = 20$
Ответ: 20
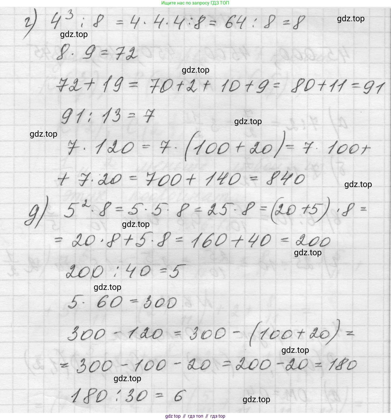
г) Решим по действиям:
1) $4^3 : 8 = 64 : 8 = 8$
2) $8 \cdot 9 = 72$
3) $72 + 19 = 91$
4) $91 : 13 = 7$
5) $7 \cdot 120 = 840$
Ответ: 840
д) Решим по действиям:
1) $5^2 \cdot 8 = 25 \cdot 8 = 200$
2) $200 : 40 = 5$
3) $5 \cdot 60 = 300$
4) $300 - 120 = 180$
5) $180 : 30 = 6$
Ответ: 6
Решение 3. №6.9 (с. 94)

Решение 4. №6.9 (с. 94)

Другие задания:
Помогло решение? Оставьте отзыв в комментариях ниже.
Мы подготовили для вас ответ c подробным объяснением домашего задания по математике за 5 класс, для упражнения номер 6.9 расположенного на странице 94 для 2-й части к учебнику 2023 года издания для учащихся школ и гимназий.
Теперь на нашем сайте ГДЗ.ТОП вы всегда легко и бесплатно найдёте условие с правильным ответом на вопрос «Как решить ДЗ» и «Как сделать» задание по математике к упражнению №6.9 (с. 94), авторов: Виленкин (Наум Яковлевич), Жохов (Владимир Иванович), Чесноков (Александр Семёнович), Александрова (Лилия Александровна), Шварцбурд (Семён Исаакович), 2-й части ФГОС (новый, красный) базовый уровень обучения учебного пособия издательства Просвещение.