Номер 1, страница 171, часть 2 - гдз по математике 5 класс учебник Виленкин, Жохов
 
                                                Авторы: Виленкин Н. Я., Жохов В. И., Чесноков А. С., Александрова Л. А., Шварцбурд С. И.
Тип: Учебник
Издательство: Просвещение
Год издания: 2023 - 2025
Уровень обучения: базовый
Часть: 2
Цвет обложки: белый, красный, синий с пазлами
Допущено Министерством просвещения Российской Федерации
Популярные ГДЗ в 5 классе
Часть 2. Глава 2. Дробные числа. Вопросы и задачи на повторение. Проверьте себя. Проверочная работа на повторение № 2 - номер 1, страница 171.
№1 (с. 171)
Условие. №1 (с. 171)
скриншот условия
 
                                1 Выполните действия:
 
 Решение 1. №1 (с. 171)
Решение 2. №1 (с. 171)
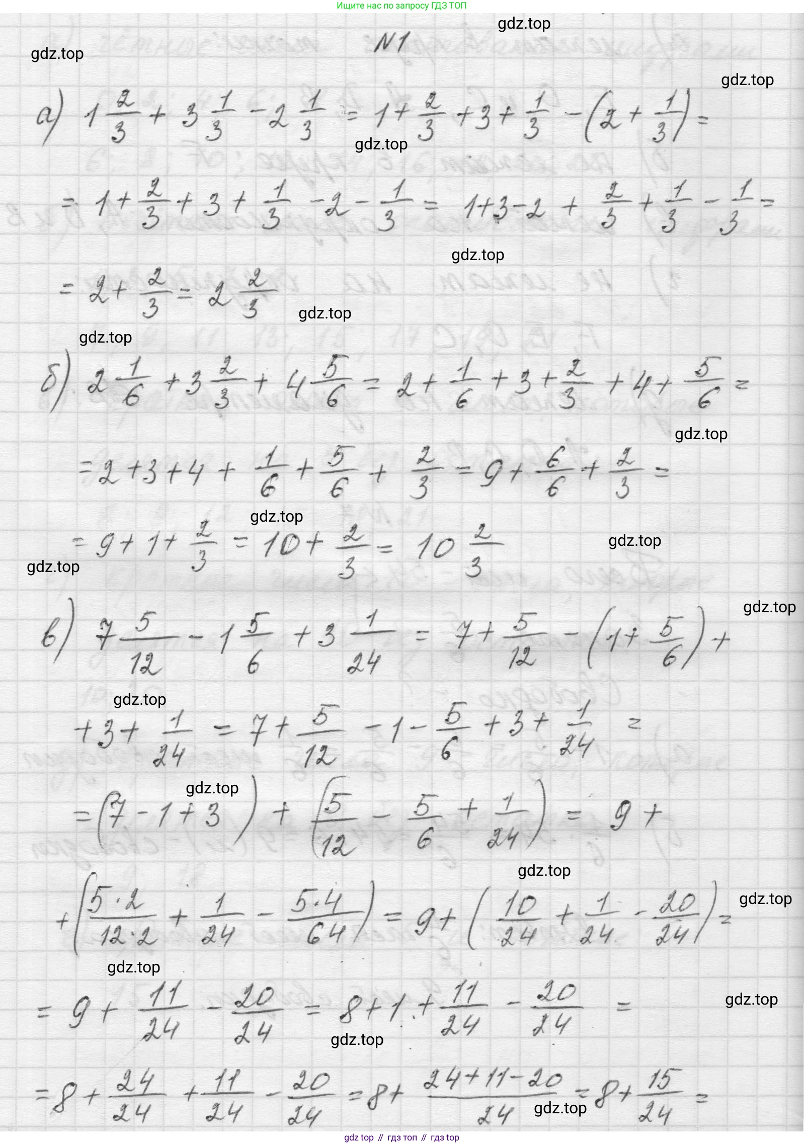
а) $1\frac{2}{3} + 3\frac{1}{3} - 2\frac{1}{3}$
Так как знаменатели у всех дробей одинаковы (равны 3), мы можем выполнить действия отдельно для целых и для дробных частей.
Действия с целыми частями: $1 + 3 - 2 = 2$.
Действия с дробными частями: $\frac{2}{3} + \frac{1}{3} - \frac{1}{3} = \frac{2+1-1}{3} = \frac{2}{3}$.
Сложим полученные результаты: $2 + \frac{2}{3} = 2\frac{2}{3}$.
Ответ: $2\frac{2}{3}$.
б) $2\frac{1}{6} + 3\frac{2}{3} + 4\frac{5}{6}$
Для выполнения сложения приведем все дроби к общему знаменателю. Наименьший общий знаменатель для 6 и 3 это 6.
Преобразуем дробь $3\frac{2}{3}$ в дробь со знаменателем 6: $3\frac{2}{3} = 3\frac{2 \cdot 2}{3 \cdot 2} = 3\frac{4}{6}$.
Теперь сложим смешанные числа: $2\frac{1}{6} + 3\frac{4}{6} + 4\frac{5}{6}$.
Складываем целые части: $2 + 3 + 4 = 9$.
Складываем дробные части: $\frac{1}{6} + \frac{4}{6} + \frac{5}{6} = \frac{1+4+5}{6} = \frac{10}{6}$.
Получили результат $9\frac{10}{6}$. Так как дробная часть $\frac{10}{6}$ — неправильная дробь, выделим из нее целую часть: $\frac{10}{6} = 1\frac{4}{6}$.
Сократим дробную часть полученного числа: $1\frac{4}{6} = 1\frac{2}{3}$.
Добавим эту часть к целой: $9 + 1\frac{2}{3} = 10\frac{2}{3}$.
Ответ: $10\frac{2}{3}$.
в) $7\frac{5}{12} - 1\frac{5}{6} + 3\frac{1}{24}$
Приведем дроби к наименьшему общему знаменателю для 12, 6 и 24, который равен 24.
Преобразуем дроби: $7\frac{5}{12} = 7\frac{5 \cdot 2}{12 \cdot 2} = 7\frac{10}{24}$ и $1\frac{5}{6} = 1\frac{5 \cdot 4}{6 \cdot 4} = 1\frac{20}{24}$.
Исходное выражение принимает вид: $7\frac{10}{24} - 1\frac{20}{24} + 3\frac{1}{24}$.
Сгруппируем и вычислим отдельно целые и дробные части.
Целые части: $7 - 1 + 3 = 9$.
Дробные части: $\frac{10}{24} - \frac{20}{24} + \frac{1}{24} = \frac{10 - 20 + 1}{24} = \frac{-9}{24}$.
Объединим результаты: $9 + (-\frac{9}{24}) = 9 - \frac{9}{24}$.
Выполним вычитание: $9 - \frac{9}{24} = 8\frac{24}{24} - \frac{9}{24} = 8\frac{15}{24}$.
Сократим дробную часть $\frac{15}{24}$, разделив числитель и знаменатель на их наибольший общий делитель 3: $\frac{15 \div 3}{24 \div 3} = \frac{5}{8}$.
Ответ: $8\frac{5}{8}$.
г) $9\frac{7}{18} - 6\frac{2}{36} + 11\frac{2}{9}$
Вначале упростим дробь во втором числе: $6\frac{2}{36} = 6\frac{2 \div 2}{36 \div 2} = 6\frac{1}{18}$.
Выражение примет вид: $9\frac{7}{18} - 6\frac{1}{18} + 11\frac{2}{9}$.
Приведем все дроби к общему знаменателю 18. Для этого преобразуем последнее число: $11\frac{2}{9} = 11\frac{2 \cdot 2}{9 \cdot 2} = 11\frac{4}{18}$.
Теперь выражение выглядит так: $9\frac{7}{18} - 6\frac{1}{18} + 11\frac{4}{18}$.
Выполним действия отдельно с целыми и дробными частями.
Целые части: $9 - 6 + 11 = 3 + 11 = 14$.
Дробные части: $\frac{7}{18} - \frac{1}{18} + \frac{4}{18} = \frac{7 - 1 + 4}{18} = \frac{10}{18}$.
Объединим результаты: $14\frac{10}{18}$.
Сократим дробную часть $\frac{10}{18}$ на 2: $\frac{10 \div 2}{18 \div 2} = \frac{5}{9}$.
Ответ: $14\frac{5}{9}$.
Решение 3. №1 (с. 171)
 
                            Решение 4. №1 (с. 171)
 
                            Другие задания:
Помогло решение? Оставьте отзыв в комментариях ниже.
Присоединяйтесь к Телеграм-группе @top_gdz
ПрисоединитьсяМы подготовили для вас ответ c подробным объяснением домашего задания по математике за 5 класс, для упражнения номер 1 расположенного на странице 171 для 2-й части к учебнику 2023 года издания для учащихся школ и гимназий.
Теперь на нашем сайте ГДЗ.ТОП вы всегда легко и бесплатно найдёте условие с правильным ответом на вопрос «Как решить ДЗ» и «Как сделать» задание по математике к упражнению №1 (с. 171), авторов: Виленкин (Наум Яковлевич), Жохов (Владимир Иванович), Чесноков (Александр Семёнович), Александрова (Лилия Александровна), Шварцбурд (Семён Исаакович), 2-й части ФГОС (новый, красный) базовый уровень обучения учебного пособия издательства Просвещение.
 
                     
                     
                     
                     
                     
                     
                     
                     
                     
                     
                     
                     
                     
                     
                     
                     
                     
                     
                    