Номер 4, страница 170, часть 2 - гдз по математике 5 класс учебник Виленкин, Жохов


Авторы: Виленкин Н. Я., Жохов В. И., Чесноков А. С., Александрова Л. А., Шварцбурд С. И.
Тип: Учебник
Издательство: Просвещение
Год издания: 2023 - 2025
Уровень обучения: базовый
Часть: 2
Цвет обложки: белый, красный, синий с пазлами
Допущено Министерством просвещения Российской Федерации
Популярные ГДЗ в 5 классе
Проверочная работа на повторение № 1. Проверьте себя. Вопросы и задачи на повторение. Глава 2. Дробные числа. ч. 2 - номер 4, страница 170.
№4 (с. 170)
Условие. №4 (с. 170)
скриншот условия

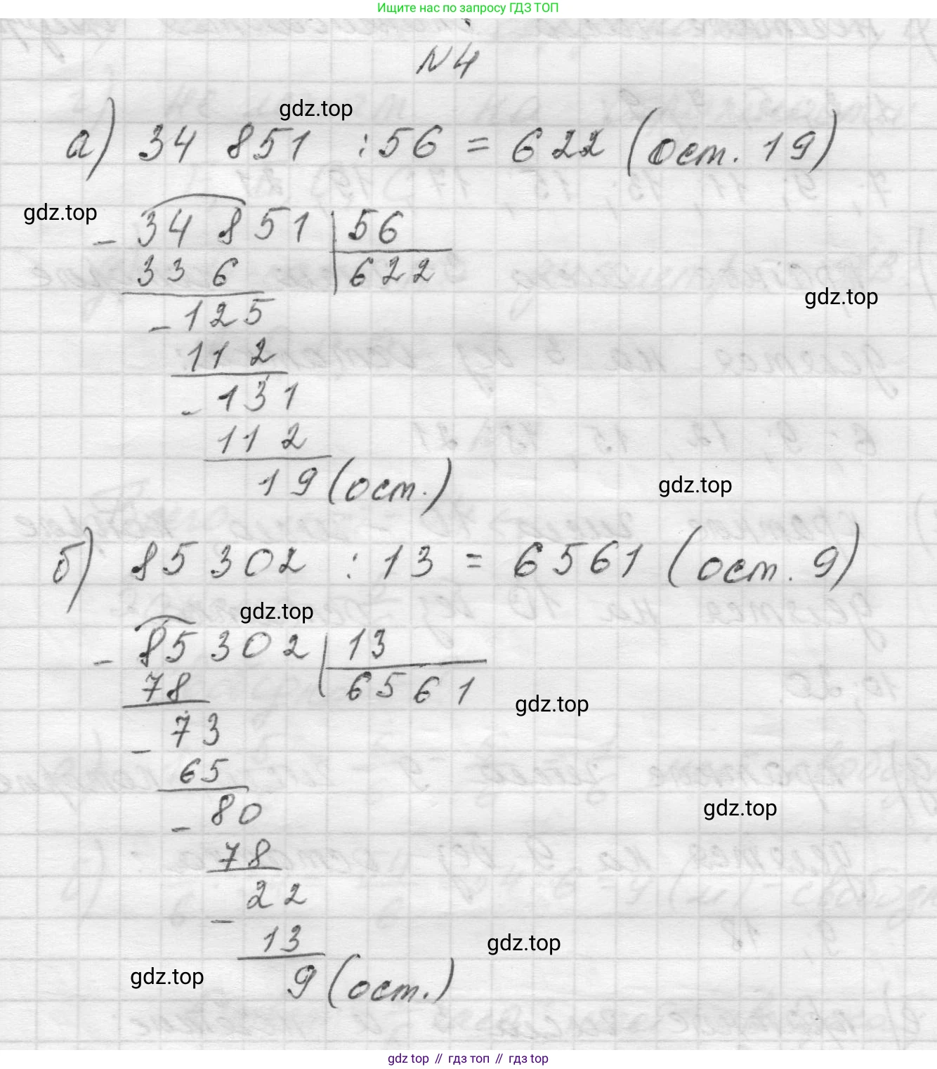
4 Выполните деление с остатком:
а) 34 851 на 56;
б) 85 302 на 13.
Решение 1. №4 (с. 170)
Решение 2. №4 (с. 170)
а) Чтобы разделить 34 851 на 56 с остатком, выполним деление в столбик.
1. Начнем деление с первых цифр делимого, которые образуют число большее или равное 56. Это число 348. Делим 348 на 56. Подбираем число, которое при умножении на 56 даст результат, наиболее близкий к 348, но не превышающий его. $56 \times 6 = 336$. Записываем 6 в частное. Находим остаток: $348 - 336 = 12$.
2. Сносим следующую цифру делимого (5) к остатку. Получаем число 125. Делим 125 на 56. $56 \times 2 = 112$. Записываем 2 в частное. Находим остаток: $125 - 112 = 13$.
3. Сносим последнюю цифру делимого (1) к остатку. Получаем число 131. Делим 131 на 56. $56 \times 2 = 112$. Записываем 2 в частное. Находим остаток: $131 - 112 = 19$.
Деление закончено. Неполное частное равно 622, а остаток 19. Остаток (19) меньше делителя (56), значит, деление выполнено верно.
Проверим: $622 \times 56 + 19 = 34832 + 19 = 34851$.
Ответ: $34851 : 56 = 622$ (ост. 19).
б) Чтобы разделить 85 302 на 13 с остатком, выполним деление в столбик.
1. Начнем деление с числа 85. Делим 85 на 13. $13 \times 6 = 78$. Записываем 6 в частное. Находим остаток: $85 - 78 = 7$.
2. Сносим следующую цифру (3). Получаем 73. Делим 73 на 13. $13 \times 5 = 65$. Записываем 5 в частное. Находим остаток: $73 - 65 = 8$.
3. Сносим следующую цифру (0). Получаем 80. Делим 80 на 13. $13 \times 6 = 78$. Записываем 6 в частное. Находим остаток: $80 - 78 = 2$.
4. Сносим последнюю цифру (2). Получаем 22. Делим 22 на 13. $13 \times 1 = 13$. Записываем 1 в частное. Находим остаток: $22 - 13 = 9$.
Деление закончено. Неполное частное равно 6561, а остаток 9. Остаток (9) меньше делителя (13), значит, деление выполнено верно.
Проверим: $6561 \times 13 + 9 = 85293 + 9 = 85302$.
Ответ: $85302 : 13 = 6561$ (ост. 9).
Решение 3. №4 (с. 170)

Решение 4. №4 (с. 170)

Другие задания:
Помогло решение? Оставьте отзыв в комментариях ниже.
Мы подготовили для вас ответ c подробным объяснением домашего задания по математике за 5 класс, для упражнения номер 4 расположенного на странице 170 для 2-й части к учебнику 2023 года издания для учащихся школ и гимназий.
Теперь на нашем сайте ГДЗ.ТОП вы всегда легко и бесплатно найдёте условие с правильным ответом на вопрос «Как решить ДЗ» и «Как сделать» задание по математике к упражнению №4 (с. 170), авторов: Виленкин (Наум Яковлевич), Жохов (Владимир Иванович), Чесноков (Александр Семёнович), Александрова (Лилия Александровна), Шварцбурд (Семён Исаакович), 2-й части ФГОС (новый, красный) базовый уровень обучения учебного пособия издательства Просвещение.