Номер 1215, страница 253 - гдз по математике 6 класс учебник Мерзляк, Полонский

Авторы: Мерзляк А. Г., Полонский В. Б., Якир М. С.
Тип: Учебник
Издательство: Просвещение, Вентана-граф
Год издания: 2019 - 2022
Цвет обложки: салатовый, зелёный
ISBN: 978-5-360-10057-7
Рекомендовано Министерством образования и науки Российской Федерации
Популярные ГДЗ в 6 классе
Упражнения. Параграф 42. Решение задач с помощью уравнений. Глава 4. Рациональные числа и действия над ними - номер 1215, страница 253.
№1215 (с. 253)
Условие. №1215 (с. 253)
скриншот условия

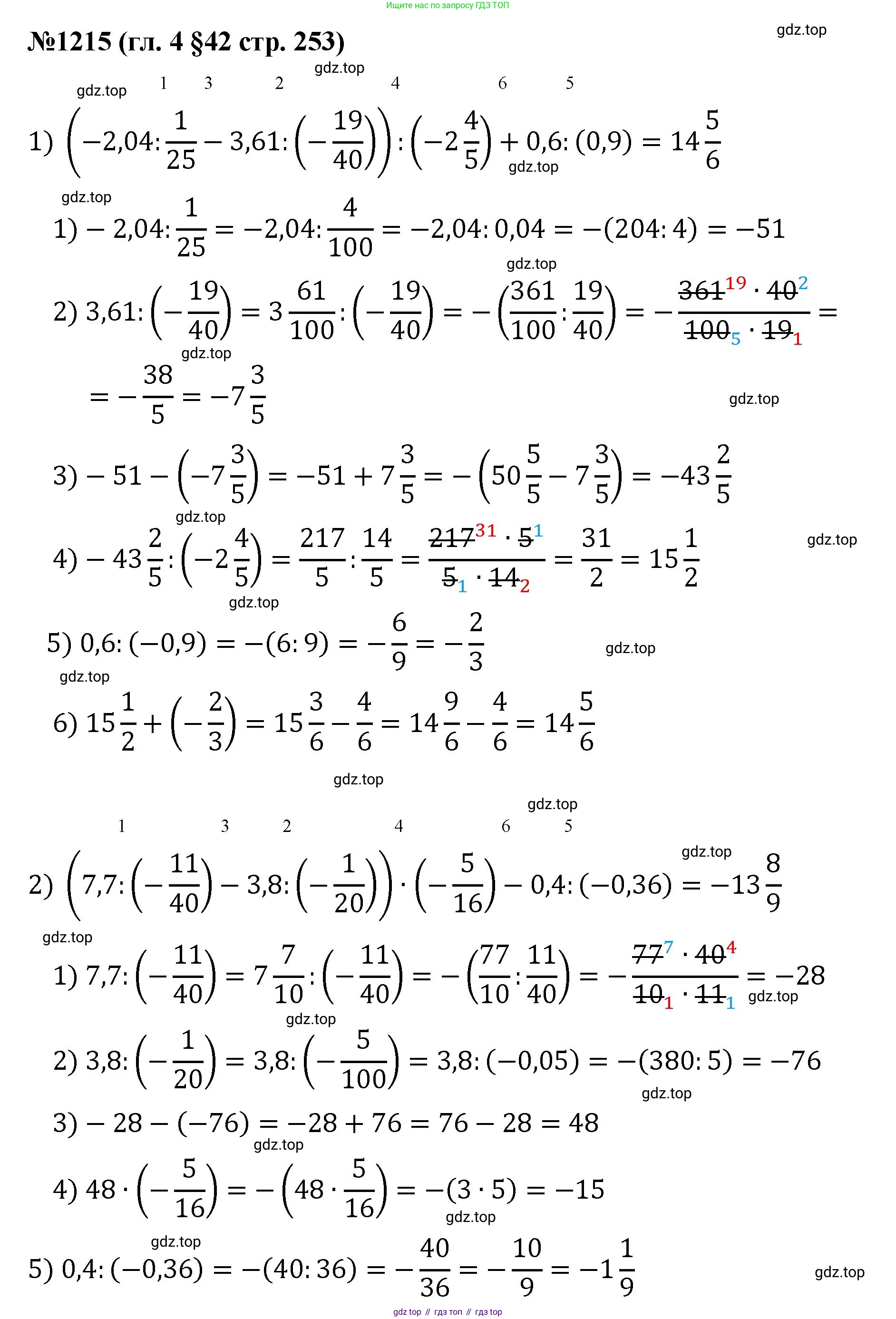
1215. Найдите значение выражения:
1) $(-2,04 : \frac{1}{25} - 3,61 : (-\frac{19}{40})) : (-2\frac{4}{5}) + 0,6 : (-0,9);$
2) $(7,7 : (-\frac{11}{40}) - 3,8 : (-\frac{1}{20})) \cdot (-\frac{5}{16}) - 0,4 : (-0,36).$
Решение. №1215 (с. 253)


Решение 2. №1215 (с. 253)
1) $\left(-2,04 : \frac{1}{25} - 3,61 : \left(-\frac{19}{40}\right)\right) : \left(-2\frac{4}{5}\right) + 0,6 : (-0,9)$
Решим по действиям, соблюдая порядок операций. Для удобства вычислений будем преобразовывать десятичные дроби в обыкновенные.
1. Выполним деление в скобках: $-2,04 : \frac{1}{25} = -\frac{204}{100} \cdot \frac{25}{1} = -\frac{204 \cdot 25}{100} = -\frac{204}{4} = -51$.
2. Выполним второе деление в скобках: $3,61 : \left(-\frac{19}{40}\right) = \frac{361}{100} \cdot \left(-\frac{40}{19}\right) = -\frac{19 \cdot 19 \cdot 40}{100 \cdot 19} = -\frac{19 \cdot 4}{10} = -\frac{76}{10} = -7,6$.
3. Выполним вычитание в скобках: $-51 - (-7,6) = -51 + 7,6 = -43,4$.
4. Преобразуем смешанную дробь в десятичную: $-2\frac{4}{5} = -2\frac{8}{10} = -2,8$.
5. Выполним деление результата скобок: $-43,4 : (-2,8) = 43,4 : 2,8 = 434 : 28 = 15,5$.
6. Выполним деление во второй части выражения: $0,6 : (-0,9) = -\frac{6}{9} = -\frac{2}{3}$.
7. Выполним сложение: $15,5 + \left(-\frac{2}{3}\right) = \frac{155}{10} - \frac{2}{3} = \frac{31}{2} - \frac{2}{3} = \frac{31 \cdot 3 - 2 \cdot 2}{6} = \frac{93 - 4}{6} = \frac{89}{6} = 14\frac{5}{6}$.
Ответ: $14\frac{5}{6}$
2) $\left(7,7 : \left(-\frac{11}{40}\right) - 3,8 : \left(-\frac{1}{20}\right)\right) \cdot \left(-\frac{5}{16}\right) - 0,4 : (-0,36)$
Решим по действиям, соблюдая порядок операций.
1. Выполним первое деление в скобках: $7,7 : \left(-\frac{11}{40}\right) = \frac{77}{10} \cdot \left(-\frac{40}{11}\right) = -\frac{77 \cdot 40}{10 \cdot 11} = -\frac{7 \cdot 4}{1} = -28$.
2. Выполним второе деление в скобках: $3,8 : \left(-\frac{1}{20}\right) = \frac{38}{10} \cdot (-20) = -38 \cdot 2 = -76$.
3. Выполним вычитание в скобках: $-28 - (-76) = -28 + 76 = 48$.
4. Выполним умножение: $48 \cdot \left(-\frac{5}{16}\right) = -\frac{48 \cdot 5}{16} = -3 \cdot 5 = -15$.
5. Выполним деление во второй части выражения: $-0,4 : (-0,36) = 0,4 : 0,36 = \frac{4}{10} : \frac{36}{100} = \frac{4}{10} \cdot \frac{100}{36} = \frac{4 \cdot 10}{36} = \frac{40}{36} = \frac{10}{9}$.
6. Выполним вычитание: $-15 - \frac{10}{9} = -\frac{15 \cdot 9}{9} - \frac{10}{9} = \frac{-135 - 10}{9} = -\frac{145}{9} = -16\frac{1}{9}$.
Ответ: $-16\frac{1}{9}$
Другие задания:
Помогло решение? Оставьте отзыв в комментариях ниже.
Присоединяйтесь к Телеграм-группе @top_gdz
ПрисоединитьсяМы подготовили для вас ответ c подробным объяснением домашего задания по математике за 6 класс, для упражнения номер 1215 расположенного на странице 253 к учебнику 2019 - 2022 года издания для учащихся школ и гимназий.
Теперь на нашем сайте ГДЗ.ТОП вы всегда легко и бесплатно найдёте условие с правильным ответом на вопрос «Как решить ДЗ» и «Как сделать» задание по математике к упражнению №1215 (с. 253), авторов: Мерзляк (Аркадий Григорьевич), Полонский (Виталий Борисович), Якир (Михаил Семёнович), ФГОС (старый) учебного пособия издательства Просвещение, Вентана-граф.