Номер 355, страница 70 - гдз по алгебре 7 класс учебник Мерзляк, Полонский
 
                                                Авторы: Мерзляк А. Г., Полонский В. Б., Якир М. С.
Тип: Учебник
Издательство: Просвещение, Вентана-граф
Год издания: 2016 - 2022
Цвет обложки:
ISBN: 978-5-360-07440-3
Рекомендовано Министерством образования и науки Российской Федерации
Популярные ГДЗ в 7 классе
Глава 2. Целые выражения. §10. Умножение одночлена на многочлен - номер 355, страница 70.
№355 (с. 70)
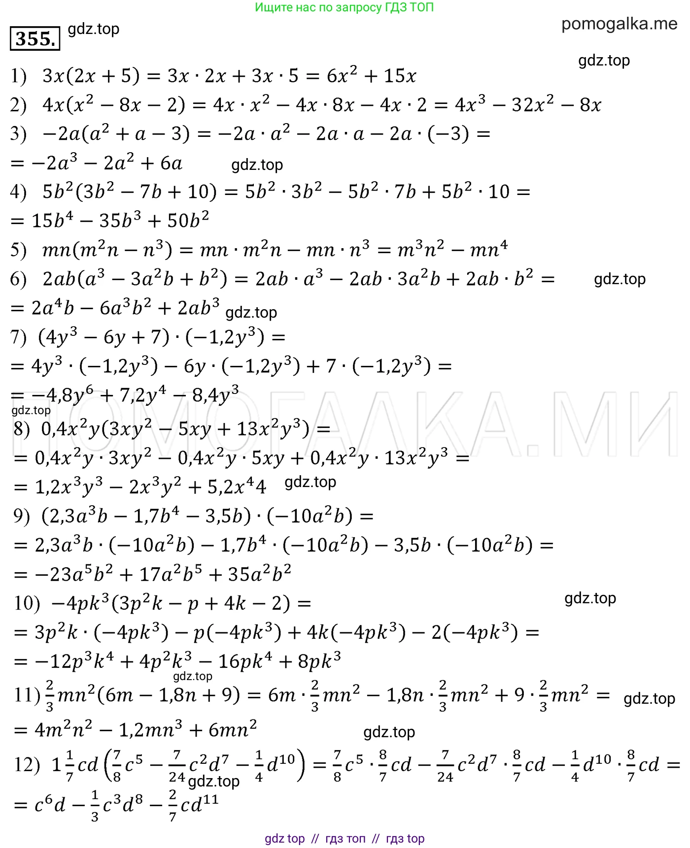
Условие. №355 (с. 70)
 
                            Решение 1. №355 (с. 70)
 
             
             
             
             
             
             
             
             
             
             
                            Решение 2. №355 (с. 70)
 
                            Решение 3. №355 (с. 70)
 
                            Решение 4. №355 (с. 70)
 
                            Решение 5. №355 (с. 70)
 
                            Другие задания:
Помогло решение? Оставьте отзыв в комментариях ниже.
Присоединяйтесь к Телеграм-группе @top_gdz
ПрисоединитьсяМы подготовили для вас ответ c подробным объяснением домашего задания по алгебре за 7 класс, для упражнения номер 355 расположенного на странице 70 к учебнику 2016 - 2022 года издания для учащихся школ и гимназий.
Теперь на нашем сайте ГДЗ.ТОП вы всегда легко и бесплатно найдёте условие с правильным ответом на вопрос «Как решить ДЗ» и «Как сделать» задание по алгебре к упражнению №355 (с. 70), авторов: Мерзляк (Аркадий Григорьевич), Полонский (Виталий Борисович), Якир (Михаил Семёнович), ФГОС (старый) учебного пособия издательства Просвещение, Вентана-граф.
 
                     
                     
                     
                     
                     
                     
                     
                     
                     
                     
                     
                     
                     
                    