Страница 178 - гдз по геометрии 7-9 класс учебник Атанасян, Бутузов

Авторы: Атанасян Л. С., Бутузов В. Ф., Кадомцев С. Б., Позняк Э. Г., Юдина И. И.
Тип: Учебник
Издательство: Просвещение
Год издания: 2023 - 2025
Уровень обучения: базовый
Цвет обложки: синий
ISBN: 978-5-09-102538-5 (2023), 978-5-09-111167-5 (2024)
Допущено Министерством просвещения Российской Федерации
Популярные ГДЗ в 7 классе
Cтраница 178

№672 (с. 178)
Условие. №672 (с. 178)
скриншот условия

672 Дан треугольник, стороны которого равны 8 см, 5 см и 7 см. Найдите периметр треугольника, вершинами которого являются середины сторон данного треугольника.
Решение 2. №672 (с. 178)

Решение 3. №672 (с. 178)

Решение 4. №672 (с. 178)

Решение 6. №672 (с. 178)

Решение 7. №672 (с. 178)

Решение 9. №672 (с. 178)


Решение 11. №672 (с. 178)
Пусть стороны данного треугольника равны $a = 8$ см, $b = 5$ см и $c = 7$ см. Треугольник, вершинами которого являются середины сторон данного треугольника, состоит из средних линий исходного треугольника.
Средняя линия треугольника — это отрезок, соединяющий середины двух его сторон. По свойству средней линии, она параллельна третьей стороне и равна её половине.
Следовательно, стороны нового треугольника будут равны половинам сторон исходного треугольника:
Первая сторона: $\frac{8}{2} = 4$ см.
Вторая сторона: $\frac{5}{2} = 2.5$ см.
Третья сторона: $\frac{7}{2} = 3.5$ см.
Периметр — это сумма длин всех сторон. Найдем периметр нового треугольника, сложив длины его сторон:
$P_{нового} = 4 + 2.5 + 3.5 = 10$ см.
Также можно было сначала найти периметр исходного треугольника:
$P_{исходного} = 8 + 5 + 7 = 20$ см.
Периметр треугольника, образованного средними линиями, равен половине периметра исходного треугольника:
$P_{нового} = \frac{1}{2} \times P_{исходного} = \frac{1}{2} \times 20 = 10$ см.
Ответ: 10 см.
№673 (с. 178)
Условие. №673 (с. 178)
скриншот условия

673 Расстояние от точки пересечения диагоналей прямоугольника до прямой, содержащей его бо́льшую сторону, равно 2,5 см. Найдите меньшую сторону прямоугольника.
Решение 2. №673 (с. 178)

Решение 3. №673 (с. 178)

Решение 4. №673 (с. 178)

Решение 6. №673 (с. 178)



Решение 7. №673 (с. 178)

Решение 9. №673 (с. 178)

Решение 11. №673 (с. 178)
Пусть дан прямоугольник, у которого бoльшая и меньшая стороны имеют длины $a$ и $b$ соответственно. Точка пересечения диагоналей прямоугольника является его центром симметрии.
Расстояние от центра прямоугольника до его сторон равно половине длин перпендикулярных им сторон. То есть, расстояние до бoльшей стороны (длиной $a$) равно $b/2$, а расстояние до меньшей стороны (длиной $b$) равно $a/2$.
По условию задачи, расстояние от точки пересечения диагоналей до прямой, содержащей бoльшую сторону, равно 2,5 см. Это расстояние равно половине длины меньшей стороны.
Пусть $b$ — длина меньшей стороны прямоугольника. Тогда мы можем записать соотношение: $ \frac{b}{2} = 2,5 \text{ см} $
Чтобы найти длину меньшей стороны $b$, умножим обе части уравнения на 2: $ b = 2,5 \text{ см} \cdot 2 $ $ b = 5 \text{ см} $
Ответ: 5 см.
№674 (с. 178)
Условие. №674 (с. 178)
скриншот условия

674 Точки Р и Q — середины сторон AB и АС треугольника ABC. Найдите периметр треугольника ABC, если периметр треугольника APQ равен 21 см.
Решение 2. №674 (с. 178)

Решение 3. №674 (с. 178)

Решение 4. №674 (с. 178)

Решение 6. №674 (с. 178)

Решение 7. №674 (с. 178)

Решение 9. №674 (с. 178)


Решение 11. №674 (с. 178)
По условию задачи, точки $P$ и $Q$ являются серединами сторон $AB$ и $AC$ треугольника $ABC$ соответственно. Это означает, что отрезок $PQ$ является средней линией треугольника $ABC$.
Периметр треугольника $APQ$ ($P_{APQ}$) — это сумма длин его сторон: $P_{APQ} = AP + AQ + PQ$.
Так как $P$ — середина стороны $AB$, то длина отрезка $AP$ равна половине длины стороны $AB$: $AP = \frac{1}{2}AB$.
Аналогично, так как $Q$ — середина стороны $AC$, то длина отрезка $AQ$ равна половине длины стороны $AC$: $AQ = \frac{1}{2}AC$.
По свойству средней линии треугольника, длина отрезка $PQ$ равна половине длины третьей стороны треугольника, $BC$: $PQ = \frac{1}{2}BC$.
Теперь выразим периметр треугольника $APQ$ через стороны треугольника $ABC$. Подставим полученные соотношения в формулу периметра $P_{APQ}$: $P_{APQ} = \frac{1}{2}AB + \frac{1}{2}AC + \frac{1}{2}BC$.
Вынесем общий множитель $\frac{1}{2}$ за скобки: $P_{APQ} = \frac{1}{2}(AB + AC + BC)$.
Выражение в скобках, $AB + AC + BC$, является периметром треугольника $ABC$ ($P_{ABC}$). Таким образом, мы установили связь между периметрами двух треугольников: $P_{APQ} = \frac{1}{2}P_{ABC}$.
Из этого равенства можно выразить периметр треугольника $ABC$: $P_{ABC} = 2 \cdot P_{APQ}$.
По условию задачи, периметр треугольника $APQ$ равен 21 см. Подставим это значение в формулу: $P_{ABC} = 2 \cdot 21 = 42$ см.
Ответ: 42 см.
№675 (с. 178)
Условие. №675 (с. 178)
скриншот условия

675 Докажите, что отрезок, соединяющий середины диагоналей трапеции, параллелен её основаниям и равен полуразности оснований.
Решение 2. №675 (с. 178)

Решение 3. №675 (с. 178)

Решение 4. №675 (с. 178)

Решение 6. №675 (с. 178)


Решение 7. №675 (с. 178)

Решение 9. №675 (с. 178)


Решение 11. №675 (с. 178)
Пусть дана трапеция $ABCD$ с основаниями $AD$ и $BC$, где $AD \parallel BC$. Обозначим точки $M$ и $N$ как середины диагоналей $AC$ и $BD$ соответственно. Требуется доказать, что отрезок $MN$ параллелен основаниям трапеции ($MN \parallel AD$ и $MN \parallel BC$) и его длина равна полуразности длин оснований.
Для доказательства воспользуемся свойством средней линии треугольника. Выберем вспомогательную точку $K$ — середину боковой стороны $AB$.
Сначала рассмотрим треугольник $ABD$. В нём отрезок $KN$ соединяет середины сторон $AB$ и $BD$. По определению, $KN$ является средней линией треугольника $ABD$. Согласно свойству средней линии треугольника, она параллельна третьей стороне и равна её половине. Таким образом, мы имеем:
$KN \parallel AD$ и $KN = \frac{1}{2}AD$.
Теперь рассмотрим треугольник $ABC$. В нём отрезок $KM$ соединяет середины сторон $AB$ и $AC$. Следовательно, $KM$ является средней линией треугольника $ABC$. По тому же свойству, получаем:
$KM \parallel BC$ и $KM = \frac{1}{2}BC$.
По условию, основания трапеции параллельны, то есть $AD \parallel BC$. Из этого и из полученных выше соотношений ($KN \parallel AD$ и $KM \parallel BC$) следует, что $KN \parallel KM$.
Поскольку отрезки $KN$ и $KM$ параллельны и имеют общую точку $K$, они лежат на одной прямой. Это означает, что точки $K$, $M$ и $N$ коллинеарны. Так как прямая, на которой лежат эти точки, параллельна основаниям $AD$ и $BC$, то и отрезок $MN$, являющийся её частью, также параллелен основаниям трапеции. Первая часть утверждения доказана.
Далее найдем длину отрезка $MN$. Поскольку точки $K$, $M$ и $N$ лежат на одной прямой, длина отрезка $MN$ будет равна разности длин отрезков $KN$ и $KM$. Предположим, без ограничения общности, что $AD > BC$. Тогда $KN = \frac{1}{2}AD > \frac{1}{2}BC = KM$. Векторы $\vec{KN}$ и $\vec{KM}$ сонаправлены, так как они сонаправлены с векторами $\vec{AD}$ и $\vec{BC}$ соответственно. Значит, точка $M$ лежит между точками $K$ и $N$.
Следовательно, $MN = KN - KM$.
Подставим выражения для длин $KN$ и $KM$:
$MN = \frac{1}{2}AD - \frac{1}{2}BC = \frac{AD - BC}{2}$.
Если бы $BC > AD$, мы бы получили $MN = \frac{BC - AD}{2}$. Таким образом, в общем случае длина отрезка равна полуразности длин большего и меньшего оснований. Вторая часть утверждения также доказана.
Ответ: Утверждение доказано. Отрезок, соединяющий середины диагоналей трапеции, действительно параллелен её основаниям и его длина равна полуразности длин оснований.
№676 (с. 178)
Условие. №676 (с. 178)
скриншот условия

676 Диагональ АС параллелограмма ABCD равна 18 см. Середина М стороны AB соединена с вершиной D. Найдите отрезки, на которые делится диагональ АС отрезком DM.
Решение 2. №676 (с. 178)

Решение 3. №676 (с. 178)

Решение 4. №676 (с. 178)

Решение 6. №676 (с. 178)



Решение 7. №676 (с. 178)


Решение 9. №676 (с. 178)

Решение 11. №676 (с. 178)
Пусть $ABCD$ — данный параллелограмм. Диагональ $AC = 18$ см. Точка $M$ — середина стороны $AB$, т.е. $AM = MB = \frac{1}{2}AB$. Отрезок $DM$ пересекает диагональ $AC$ в точке $O$. Требуется найти длины отрезков $AO$ и $OC$.
Рассмотрим треугольники $\triangle AOM$ и $\triangle COD$.
1. Угол $\angle AOM$ равен углу $\angle COD$, так как они являются вертикальными углами.
2. Так как $ABCD$ — параллелограмм, его противоположные стороны параллельны, то есть $AB \parallel DC$. Прямая $AC$ является секущей для этих параллельных прямых. Следовательно, углы $\angle OAM$ (он же $\angle CAB$) и $\angle OCD$ (он же $\angle ACD$) равны как накрест лежащие углы.
Поскольку два угла одного треугольника соответственно равны двум углам другого треугольника, треугольники $\triangle AOM$ и $\triangle COD$ подобны по первому признаку подобия (по двум углам).
Из подобия треугольников следует пропорциональность их соответственных сторон: $$ \frac{AO}{CO} = \frac{AM}{CD} = \frac{OM}{OD} $$
По условию, $M$ — середина стороны $AB$, значит $AM = \frac{1}{2}AB$. В параллелограмме противолежащие стороны равны, поэтому $AB = CD$. Заменим $AB$ на $CD$ в выражении для $AM$: $$ AM = \frac{1}{2}CD $$
Теперь подставим это в соотношение сторон подобных треугольников: $$ \frac{AO}{CO} = \frac{\frac{1}{2}CD}{CD} = \frac{1}{2} $$
Из этой пропорции получаем, что $CO = 2 \cdot AO$.
Точка $O$ делит диагональ $AC$ на два отрезка, $AO$ и $OC$. Их сумма равна длине всей диагонали: $$ AO + OC = AC = 18 \text{ см} $$
Подставим в это уравнение выражение $CO = 2 \cdot AO$: $$ AO + 2 \cdot AO = 18 $$ $$ 3 \cdot AO = 18 $$ $$ AO = \frac{18}{3} = 6 \text{ см} $$
Теперь найдем длину второго отрезка: $$ OC = 2 \cdot AO = 2 \cdot 6 = 12 \text{ см} $$
Проверка: $AO + OC = 6 + 12 = 18$ см, что соответствует условию задачи.
Ответ: отрезок $DM$ делит диагональ $AC$ на отрезки длиной 6 см и 12 см.
№677 (с. 178)
Условие. №677 (с. 178)
скриншот условия

677 В треугольнике ABC медианы АА₁ и ВВ₁ пересекаются в точке О. Найдите площадь треугольника ABC, если площадь треугольника ABО равна S.
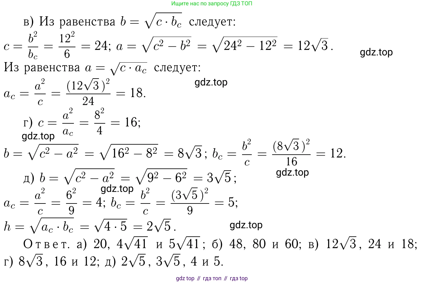
В задачах 678—680 использованы следующие обозначения для прямоугольного треугольника ABC с прямым углом С и высотой СН: ВС = а, СА = b, AB = с, СН = h, АН = bc, НВ = аc.
Решение 2. №677 (с. 178)

Решение 3. №677 (с. 178)

Решение 4. №677 (с. 178)

Решение 7. №677 (с. 178)

Решение 9. №677 (с. 178)

Решение 11. №677 (с. 178)
По условию задачи, в треугольнике $ABC$ медианы $AA_1$ и $BB_1$ пересекаются в точке $O$, и площадь треугольника $ABO$ равна $S$.
Точка пересечения медиан треугольника, по определению, является его центроидом. Свойство центроида заключается в том, что он делит каждую медиану в отношении 2:1, считая от вершины. Таким образом, для медианы $AA_1$ справедливо соотношение: $$ AO : OA_1 = 2:1 $$
Рассмотрим треугольники $ABO$ и $A_1BO$. У них общая высота, проведенная из вершины $B$ к прямой $AA_1$. Площади треугольников с общей высотой относятся так же, как и их основания. Следовательно: $$ \frac{S_{ABO}}{S_{A_1BO}} = \frac{AO}{OA_1} = \frac{2}{1} $$ Зная, что $S_{ABO} = S$, мы можем выразить площадь треугольника $A_1BO$: $$ S_{A_1BO} = \frac{1}{2} S_{ABO} = \frac{S}{2} $$
Площадь треугольника $ABA_1$ является суммой площадей треугольников $ABO$ и $A_1BO$: $$ S_{ABA_1} = S_{ABO} + S_{A_1BO} = S + \frac{S}{2} = \frac{3S}{2} $$
По свойству медианы, $AA_1$ делит треугольник $ABC$ на два равновеликих треугольника (треугольника с равными площадями) - $ABA_1$ и $ACA_1$. Таким образом, площадь треугольника $ABA_1$ равна половине площади всего треугольника $ABC$: $$ S_{ABA_1} = \frac{1}{2} S_{ABC} $$
Теперь приравняем два полученных выражения для площади $S_{ABA_1}$: $$ \frac{1}{2} S_{ABC} = \frac{3S}{2} $$ Умножив обе части равенства на 2, найдем искомую площадь треугольника $ABC$: $$ S_{ABC} = 3S $$
Ответ: $3S$
№678 (с. 178)
Условие. №678 (с. 178)
скриншот условия


678 Найдите:
а) h, a и b, если bс = 25, ас = 16;
б) h, a и b, если bс = 36, ас = 64;
в) а, с и ас, если b = 12, bс = 6;
г) b, с и bс, если a = 8, ас = 4;
д) h, b, ас и bс, если а = 6, с = 9.
Решение 2. №678 (с. 178)





Решение 3. №678 (с. 178)


Решение 4. №678 (с. 178)

Решение 6. №678 (с. 178)


Решение 7. №678 (с. 178)


Решение 8. №678 (с. 178)


Решение 9. №678 (с. 178)



Решение 11. №678 (с. 178)
В данной задаче используются метрические соотношения в прямоугольном треугольнике. Обозначения: $a, b$ — катеты; $c$ — гипотенуза; $h$ — высота, проведенная к гипотенузе; $a_c, b_c$ — проекции катетов $a$ и $b$ на гипотенузу.
Основные формулы:
1. $c = a_c + b_c$
2. $h^2 = a_c \cdot b_c$
3. $a^2 = c \cdot a_c$
4. $b^2 = c \cdot b_c$
5. $a^2 + b^2 = c^2$ (Теорема Пифагора)
а) Дано: $b_c = 25$, $a_c = 16$.
Находим гипотенузу $c$ как сумму проекций катетов: $c = a_c + b_c = 16 + 25 = 41$.
Высоту $h$, опущенную на гипотенузу, находим из соотношения $h^2 = a_c \cdot b_c$:
$h^2 = 16 \cdot 25 = 400$, откуда $h = \sqrt{400} = 20$.
Катеты $a$ и $b$ находим из соотношений $a^2 = c \cdot a_c$ и $b^2 = c \cdot b_c$:
$a^2 = 41 \cdot 16 = 656 \implies a = \sqrt{656} = \sqrt{16 \cdot 41} = 4\sqrt{41}$.
$b^2 = 41 \cdot 25 = 1025 \implies b = \sqrt{1025} = \sqrt{25 \cdot 41} = 5\sqrt{41}$.
Ответ: $h = 20$, $a = 4\sqrt{41}$, $b = 5\sqrt{41}$.
б) Дано: $b_c = 36$, $a_c = 64$.
Находим гипотенузу $c$: $c = a_c + b_c = 64 + 36 = 100$.
Находим высоту $h$: $h^2 = a_c \cdot b_c = 64 \cdot 36 = 2304$, откуда $h = \sqrt{2304} = 48$.
Находим катеты $a$ и $b$:
$a^2 = c \cdot a_c = 100 \cdot 64 = 6400 \implies a = \sqrt{6400} = 80$.
$b^2 = c \cdot b_c = 100 \cdot 36 = 3600 \implies b = \sqrt{3600} = 60$.
Ответ: $h = 48$, $a = 80$, $b = 60$.
в) Дано: $b = 12$, $b_c = 6$.
Из соотношения $b^2 = c \cdot b_c$ находим гипотенузу $c$:
$12^2 = c \cdot 6 \implies 144 = 6c \implies c = \frac{144}{6} = 24$.
Проекцию второго катета $a_c$ находим из $c = a_c + b_c$:
$24 = a_c + 6 \implies a_c = 24 - 6 = 18$.
Катет $a$ находим из соотношения $a^2 = c \cdot a_c$ (или по теореме Пифагора):
$a^2 = 24 \cdot 18 = 432 \implies a = \sqrt{432} = \sqrt{144 \cdot 3} = 12\sqrt{3}$.
Ответ: $a = 12\sqrt{3}$, $c = 24$, $a_c = 18$.
г) Дано: $a = 8$, $a_c = 4$.
Находим гипотенузу $c$ из соотношения $a^2 = c \cdot a_c$:
$8^2 = c \cdot 4 \implies 64 = 4c \implies c = \frac{64}{4} = 16$.
Проекцию второго катета $b_c$ находим из $c = a_c + b_c$:
$16 = 4 + b_c \implies b_c = 16 - 4 = 12$.
Катет $b$ находим из соотношения $b^2 = c \cdot b_c$ (или по теореме Пифагора):
$b^2 = 16 \cdot 12 = 192 \implies b = \sqrt{192} = \sqrt{64 \cdot 3} = 8\sqrt{3}$.
Ответ: $b = 8\sqrt{3}$, $c = 16$, $b_c = 12$.
д) Дано: $a = 6$, $c = 9$.
Катет $b$ находим по теореме Пифагора: $a^2 + b^2 = c^2$.
$6^2 + b^2 = 9^2 \implies 36 + b^2 = 81 \implies b^2 = 81 - 36 = 45 \implies b = \sqrt{45} = \sqrt{9 \cdot 5} = 3\sqrt{5}$.
Находим проекции катетов $a_c$ и $b_c$ на гипотенузу:
$a^2 = c \cdot a_c \implies 6^2 = 9 \cdot a_c \implies 36 = 9a_c \implies a_c = 4$.
$b^2 = c \cdot b_c \implies (\sqrt{45})^2 = 9 \cdot b_c \implies 45 = 9b_c \implies b_c = 5$. (Также можно найти $b_c$ из $b_c = c - a_c = 9 - 4 = 5$).
Находим высоту $h$: $h^2 = a_c \cdot b_c = 4 \cdot 5 = 20 \implies h = \sqrt{20} = \sqrt{4 \cdot 5} = 2\sqrt{5}$.
Ответ: $h = 2\sqrt{5}$, $b = 3\sqrt{5}$, $a_c = 4$, $b_c = 5$.
Помогло решение? Оставьте отзыв в комментариях ниже.