Номер 678, страница 178 - гдз по геометрии 7-9 класс учебник Атанасян, Бутузов
 
                                                Авторы: Атанасян Л. С., Бутузов В. Ф., Кадомцев С. Б., Позняк Э. Г., Юдина И. И.
Тип: Учебник
Издательство: Просвещение
Год издания: 2023 - 2025
Уровень обучения: базовый
Цвет обложки: синий
ISBN: 978-5-09-102538-5 (2023), 978-5-09-111167-5 (2024)
Допущено Министерством просвещения Российской Федерации
Популярные ГДЗ в 7 классе
Глава 8. Подобные треугольники. Параграф 3. Применение подобия к доказательству теорем и решению задач. 73. Применение подобия треугольников в измерительных работах на местности - номер 678, страница 178.
№678 (с. 178)
Условие. №678 (с. 178)
скриншот условия
 
             
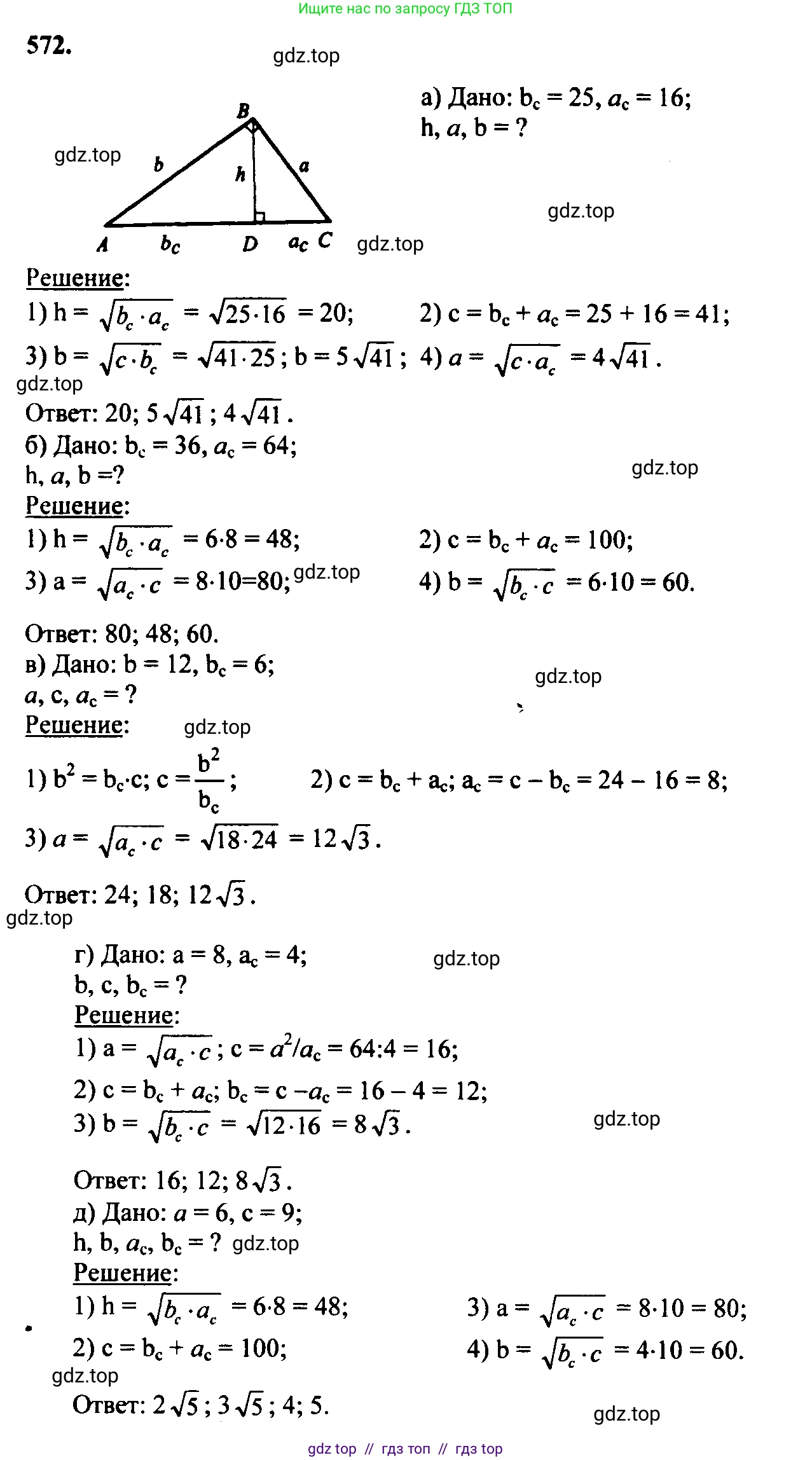
                                678 Найдите:
а) h, a и b, если bс = 25, ас = 16;
б) h, a и b, если bс = 36, ас = 64;
в) а, с и ас, если b = 12, bс = 6;
г) b, с и bс, если a = 8, ас = 4;
д) h, b, ас и bс, если а = 6, с = 9.
Решение 2. №678 (с. 178)
 
             
             
             
             
                            Решение 3. №678 (с. 178)
 
             
                            Решение 4. №678 (с. 178)
 
                            Решение 6. №678 (с. 178)
 
             
                            Решение 7. №678 (с. 178)
 
             
                            Решение 8. №678 (с. 178)
 
             
                            Решение 9. №678 (с. 178)
 
             
             
                            Решение 11. №678 (с. 178)
В данной задаче используются метрические соотношения в прямоугольном треугольнике. Обозначения: $a, b$ — катеты; $c$ — гипотенуза; $h$ — высота, проведенная к гипотенузе; $a_c, b_c$ — проекции катетов $a$ и $b$ на гипотенузу.
Основные формулы:
1. $c = a_c + b_c$
2. $h^2 = a_c \cdot b_c$
3. $a^2 = c \cdot a_c$
4. $b^2 = c \cdot b_c$
5. $a^2 + b^2 = c^2$ (Теорема Пифагора)
а) Дано: $b_c = 25$, $a_c = 16$.
Находим гипотенузу $c$ как сумму проекций катетов: $c = a_c + b_c = 16 + 25 = 41$.
Высоту $h$, опущенную на гипотенузу, находим из соотношения $h^2 = a_c \cdot b_c$:
$h^2 = 16 \cdot 25 = 400$, откуда $h = \sqrt{400} = 20$.
Катеты $a$ и $b$ находим из соотношений $a^2 = c \cdot a_c$ и $b^2 = c \cdot b_c$:
$a^2 = 41 \cdot 16 = 656 \implies a = \sqrt{656} = \sqrt{16 \cdot 41} = 4\sqrt{41}$.
$b^2 = 41 \cdot 25 = 1025 \implies b = \sqrt{1025} = \sqrt{25 \cdot 41} = 5\sqrt{41}$.
Ответ: $h = 20$, $a = 4\sqrt{41}$, $b = 5\sqrt{41}$.
б) Дано: $b_c = 36$, $a_c = 64$.
Находим гипотенузу $c$: $c = a_c + b_c = 64 + 36 = 100$.
Находим высоту $h$: $h^2 = a_c \cdot b_c = 64 \cdot 36 = 2304$, откуда $h = \sqrt{2304} = 48$.
Находим катеты $a$ и $b$:
$a^2 = c \cdot a_c = 100 \cdot 64 = 6400 \implies a = \sqrt{6400} = 80$.
$b^2 = c \cdot b_c = 100 \cdot 36 = 3600 \implies b = \sqrt{3600} = 60$.
Ответ: $h = 48$, $a = 80$, $b = 60$.
в) Дано: $b = 12$, $b_c = 6$.
Из соотношения $b^2 = c \cdot b_c$ находим гипотенузу $c$:
$12^2 = c \cdot 6 \implies 144 = 6c \implies c = \frac{144}{6} = 24$.
Проекцию второго катета $a_c$ находим из $c = a_c + b_c$:
$24 = a_c + 6 \implies a_c = 24 - 6 = 18$.
Катет $a$ находим из соотношения $a^2 = c \cdot a_c$ (или по теореме Пифагора):
$a^2 = 24 \cdot 18 = 432 \implies a = \sqrt{432} = \sqrt{144 \cdot 3} = 12\sqrt{3}$.
Ответ: $a = 12\sqrt{3}$, $c = 24$, $a_c = 18$.
г) Дано: $a = 8$, $a_c = 4$.
Находим гипотенузу $c$ из соотношения $a^2 = c \cdot a_c$:
$8^2 = c \cdot 4 \implies 64 = 4c \implies c = \frac{64}{4} = 16$.
Проекцию второго катета $b_c$ находим из $c = a_c + b_c$:
$16 = 4 + b_c \implies b_c = 16 - 4 = 12$.
Катет $b$ находим из соотношения $b^2 = c \cdot b_c$ (или по теореме Пифагора):
$b^2 = 16 \cdot 12 = 192 \implies b = \sqrt{192} = \sqrt{64 \cdot 3} = 8\sqrt{3}$.
Ответ: $b = 8\sqrt{3}$, $c = 16$, $b_c = 12$.
д) Дано: $a = 6$, $c = 9$.
Катет $b$ находим по теореме Пифагора: $a^2 + b^2 = c^2$.
$6^2 + b^2 = 9^2 \implies 36 + b^2 = 81 \implies b^2 = 81 - 36 = 45 \implies b = \sqrt{45} = \sqrt{9 \cdot 5} = 3\sqrt{5}$.
Находим проекции катетов $a_c$ и $b_c$ на гипотенузу:
$a^2 = c \cdot a_c \implies 6^2 = 9 \cdot a_c \implies 36 = 9a_c \implies a_c = 4$.
$b^2 = c \cdot b_c \implies (\sqrt{45})^2 = 9 \cdot b_c \implies 45 = 9b_c \implies b_c = 5$. (Также можно найти $b_c$ из $b_c = c - a_c = 9 - 4 = 5$).
Находим высоту $h$: $h^2 = a_c \cdot b_c = 4 \cdot 5 = 20 \implies h = \sqrt{20} = \sqrt{4 \cdot 5} = 2\sqrt{5}$.
Ответ: $h = 2\sqrt{5}$, $b = 3\sqrt{5}$, $a_c = 4$, $b_c = 5$.
Другие задания:
Помогло решение? Оставьте отзыв в комментариях ниже.
Присоединяйтесь к Телеграм-группе @top_gdz
ПрисоединитьсяМы подготовили для вас ответ c подробным объяснением домашего задания по геометрии за 7-9 класс, для упражнения номер 678 расположенного на странице 178 к учебнику 2023 года издания для учащихся школ и гимназий.
Теперь на нашем сайте ГДЗ.ТОП вы всегда легко и бесплатно найдёте условие с правильным ответом на вопрос «Как решить ДЗ» и «Как сделать» задание по геометрии к упражнению №678 (с. 178), авторов: Атанасян (Левон Сергеевич), Бутузов (Валентин Фёдорович), Кадомцев (Сергей Борисович), Позняк (Эдуард Генрихович), Юдина (Ирина Игоревна), ФГОС (новый, красный) базовый уровень обучения учебного пособия издательства Просвещение.
 
                     
                     
                     
                     
                     
                     
                     
                     
                     
                     
                     
                     
                    