Страница 184 - гдз по геометрии 7-9 класс учебник Атанасян, Бутузов

Авторы: Атанасян Л. С., Бутузов В. Ф., Кадомцев С. Б., Позняк Э. Г., Юдина И. И.
Тип: Учебник
Издательство: Просвещение
Год издания: 2023 - 2025
Уровень обучения: базовый
Цвет обложки: синий
ISBN: 978-5-09-102538-5 (2023), 978-5-09-111167-5 (2024)
Допущено Министерством просвещения Российской Федерации
Популярные ГДЗ в 7 классе
Cтраница 184

№697 (с. 184)
Условие. №697 (с. 184)
скриншот условия

697 Найдите синус, косинус и тангенс углов A и B треугольника ABC с прямым углом С, если: а) ВС = 8, AB = 17; б) ВС = 21, АС = 20; в) ВС = 1, АС = 2; г) АС = 24, AB = 25.
Решение 2. №697 (с. 184)




Решение 3. №697 (с. 184)


Решение 4. №697 (с. 184)

Решение 6. №697 (с. 184)

Решение 7. №697 (с. 184)

Решение 8. №697 (с. 184)


Решение 9. №697 (с. 184)



Решение 11. №697 (с. 184)
Для решения задачи воспользуемся определениями тригонометрических функций в прямоугольном треугольнике ABC (угол C = 90°) и теоремой Пифагора. В треугольнике ABC катеты — это AC и BC, а гипотенуза — AB.
Определения тригонометрических функций для острых углов A и B:
$ \sin A = \frac{BC}{AB} $ (отношение противолежащего катета к гипотенузе)
$ \cos A = \frac{AC}{AB} $ (отношение прилежащего катета к гипотенузе)
$ \tan A = \frac{BC}{AC} $ (отношение противолежащего катета к прилежащему)
$ \sin B = \frac{AC}{AB} $
$ \cos B = \frac{BC}{AB} $
$ \tan B = \frac{AC}{BC} $
Теорема Пифагора: $ AC^2 + BC^2 = AB^2 $.
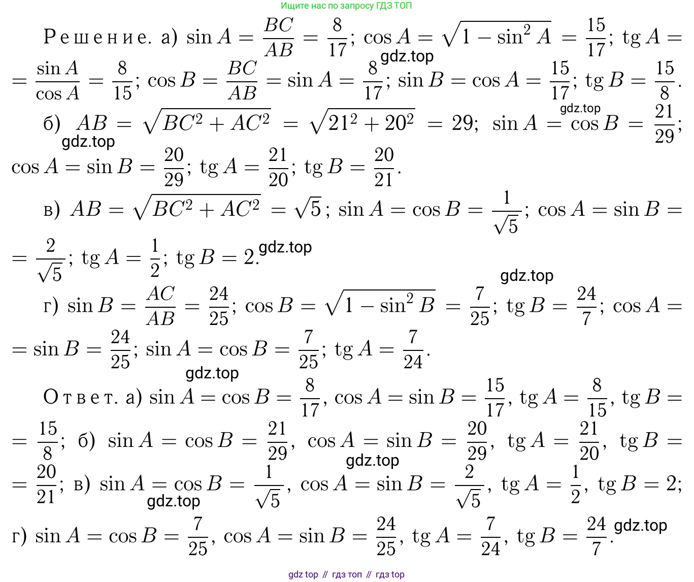
а) Дано: $BC=8$, $AB=17$.
Найдем катет AC по теореме Пифагора:
$ AC^2 + BC^2 = AB^2 $
$ AC^2 + 8^2 = 17^2 $
$ AC^2 + 64 = 289 $
$ AC^2 = 289 - 64 = 225 $
$ AC = \sqrt{225} = 15 $.
Теперь находим тригонометрические функции углов A и B:
$ \sin A = \frac{BC}{AB} = \frac{8}{17} $
$ \cos A = \frac{AC}{AB} = \frac{15}{17} $
$ \tan A = \frac{BC}{AC} = \frac{8}{15} $
$ \sin B = \frac{AC}{AB} = \frac{15}{17} $
$ \cos B = \frac{BC}{AB} = \frac{8}{17} $
$ \tan B = \frac{AC}{BC} = \frac{15}{8} $
Ответ: $ \sin A = \frac{8}{17} $, $ \cos A = \frac{15}{17} $, $ \tan A = \frac{8}{15} $; $ \sin B = \frac{15}{17} $, $ \cos B = \frac{8}{17} $, $ \tan B = \frac{15}{8} $.
б) Дано: $BC=21$, $AC=20$.
Найдем гипотенузу AB по теореме Пифагора:
$ AB^2 = AC^2 + BC^2 $
$ AB^2 = 20^2 + 21^2 $
$ AB^2 = 400 + 441 = 841 $
$ AB = \sqrt{841} = 29 $.
Теперь находим тригонометрические функции углов A и B:
$ \sin A = \frac{BC}{AB} = \frac{21}{29} $
$ \cos A = \frac{AC}{AB} = \frac{20}{29} $
$ \tan A = \frac{BC}{AC} = \frac{21}{20} $
$ \sin B = \frac{AC}{AB} = \frac{20}{29} $
$ \cos B = \frac{BC}{AB} = \frac{21}{29} $
$ \tan B = \frac{AC}{BC} = \frac{20}{21} $
Ответ: $ \sin A = \frac{21}{29} $, $ \cos A = \frac{20}{29} $, $ \tan A = \frac{21}{20} $; $ \sin B = \frac{20}{29} $, $ \cos B = \frac{21}{29} $, $ \tan B = \frac{20}{21} $.
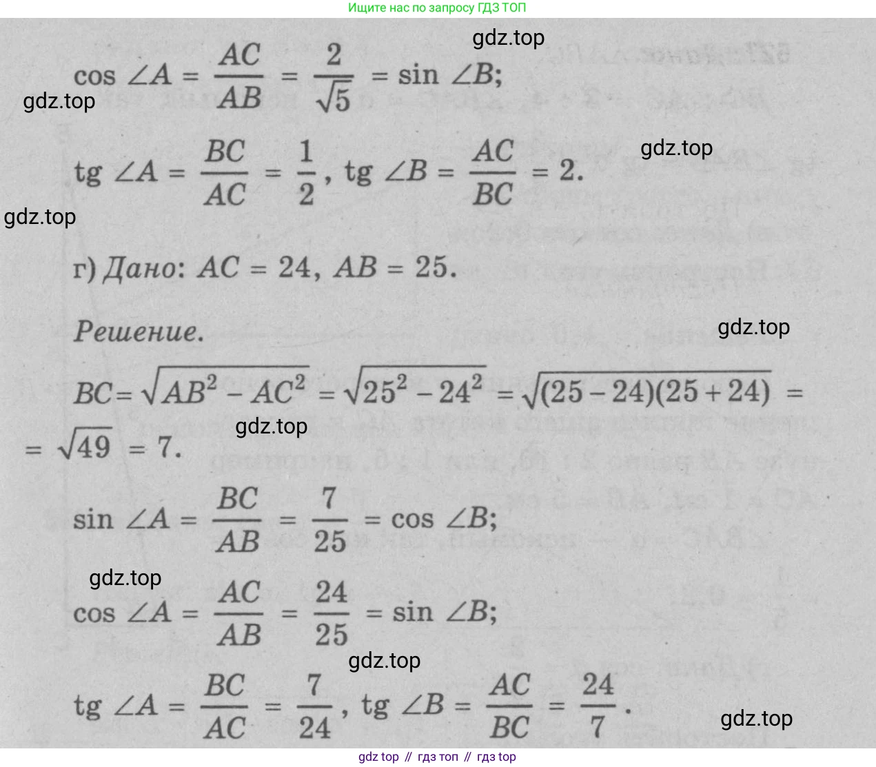
в) Дано: $BC=1$, $AC=2$.
Найдем гипотенузу AB по теореме Пифагора:
$ AB^2 = AC^2 + BC^2 $
$ AB^2 = 2^2 + 1^2 $
$ AB^2 = 4 + 1 = 5 $
$ AB = \sqrt{5} $.
Теперь находим тригонометрические функции углов A и B:
$ \sin A = \frac{BC}{AB} = \frac{1}{\sqrt{5}} = \frac{\sqrt{5}}{5} $
$ \cos A = \frac{AC}{AB} = \frac{2}{\sqrt{5}} = \frac{2\sqrt{5}}{5} $
$ \tan A = \frac{BC}{AC} = \frac{1}{2} $
$ \sin B = \frac{AC}{AB} = \frac{2}{\sqrt{5}} = \frac{2\sqrt{5}}{5} $
$ \cos B = \frac{BC}{AB} = \frac{1}{\sqrt{5}} = \frac{\sqrt{5}}{5} $
$ \tan B = \frac{AC}{BC} = \frac{2}{1} = 2 $
Ответ: $ \sin A = \frac{\sqrt{5}}{5} $, $ \cos A = \frac{2\sqrt{5}}{5} $, $ \tan A = \frac{1}{2} $; $ \sin B = \frac{2\sqrt{5}}{5} $, $ \cos B = \frac{\sqrt{5}}{5} $, $ \tan B = 2 $.
г) Дано: $AC=24$, $AB=25$.
Найдем катет BC по теореме Пифагора:
$ AC^2 + BC^2 = AB^2 $
$ 24^2 + BC^2 = 25^2 $
$ 576 + BC^2 = 625 $
$ BC^2 = 625 - 576 = 49 $
$ BC = \sqrt{49} = 7 $.
Теперь находим тригонометрические функции углов A и B:
$ \sin A = \frac{BC}{AB} = \frac{7}{25} $
$ \cos A = \frac{AC}{AB} = \frac{24}{25} $
$ \tan A = \frac{BC}{AC} = \frac{7}{24} $
$ \sin B = \frac{AC}{AB} = \frac{24}{25} $
$ \cos B = \frac{BC}{AB} = \frac{7}{25} $
$ \tan B = \frac{AC}{BC} = \frac{24}{7} $
Ответ: $ \sin A = \frac{7}{25} $, $ \cos A = \frac{24}{25} $, $ \tan A = \frac{7}{24} $; $ \sin B = \frac{24}{25} $, $ \cos B = \frac{7}{25} $, $ \tan B = \frac{24}{7} $.
№698 (с. 184)
Условие. №698 (с. 184)
скриншот условия

698 Постройте угол α, если:
а)
б)
в)
г)
д)
е)
Решение 2. №698 (с. 184)






Решение 3. №698 (с. 184)


Решение 4. №698 (с. 184)

Решение 6. №698 (с. 184)

Решение 7. №698 (с. 184)


Решение 8. №698 (с. 184)


Решение 9. №698 (с. 184)



Решение 11. №698 (с. 184)
а) tg ? = 1/2
Для построения угла $ \alpha $, тангенс которого равен $ \frac{1}{2} $, мы построим прямоугольный треугольник, у которого отношение противолежащего катета к прилежащему катету равно $ \frac{1}{2} $.
- Начертим прямой угол и обозначим его вершину буквой $ C $.
- На одной стороне угла отложим отрезок $ AC $ длиной 2 условные единицы (например, 2 см или 4 клетки). Этот отрезок будет прилежащим катетом.
- На другой стороне угла отложим отрезок $ BC $ длиной 1 условную единицу. Этот отрезок будет противолежащим катетом.
- Соединим точки $ A $ и $ B $. Получим прямоугольный треугольник $ ABC $ с прямым углом $ C $.
- Угол $ \angle BAC $ является искомым углом $ \alpha $, так как по определению тангенса в прямоугольном треугольнике: $ \text{tg}(\angle BAC) = \frac{BC}{AC} = \frac{1}{2} $.
Ответ: Угол $ \angle BAC $ в построенном треугольнике $ ABC $ является искомым углом $ \alpha $.
б) tg ? = 3/4
Построение аналогично предыдущему пункту. Нам нужен прямоугольный треугольник с отношением противолежащего катета к прилежащему катету, равным $ \frac{3}{4} $.
- Строим прямой угол с вершиной $ C $.
- На одном катете откладываем отрезок $ AC $ длиной 4 условные единицы (прилежащий катет).
- На другом катете откладываем отрезок $ BC $ длиной 3 условные единицы (противолежащий катет).
- Соединяем точки $ A $ и $ B $, получая прямоугольный треугольник $ ABC $.
- Угол $ \angle BAC $ будет искомым углом $ \alpha $, так как $ \text{tg}(\angle BAC) = \frac{BC}{AC} = \frac{3}{4} $.
Ответ: Угол $ \angle BAC $ в построенном треугольнике $ ABC $ является искомым углом $ \alpha $.
в) cos ? = 0,2
Представим $ 0,2 $ в виде дроби: $ 0,2 = \frac{2}{10} = \frac{1}{5} $. Для построения угла $ \alpha $ с $ \cos \alpha = \frac{1}{5} $ построим прямоугольный треугольник, у которого отношение прилежащего катета к гипотенузе равно $ \frac{1}{5} $.
- Начертим прямую и отметим на ней точку $ C $.
- От точки $ C $ отложим отрезок $ AC $ длиной 1 условную единицу.
- В точке $ C $ восстановим перпендикуляр к прямой $ AC $.
- Из точки $ A $ как из центра проведем дугу окружности радиусом 5 условных единиц (длина гипотенузы).
- Точка пересечения этой дуги с перпендикуляром будет вершиной $ B $ нашего треугольника.
- Соединим точки $ A $ и $ B $. Треугольник $ ABC $ — прямоугольный с прямым углом $ C $.
- Угол $ \angle BAC $ является искомым углом $ \alpha $, так как по определению косинуса: $ \cos(\angle BAC) = \frac{AC}{AB} = \frac{1}{5} = 0,2 $.
Ответ: Угол $ \angle BAC $ в построенном треугольнике $ ABC $ является искомым углом $ \alpha $.
г) cos ? = 2/3
Для построения угла $ \alpha $ с $ \cos \alpha = \frac{2}{3} $ построим прямоугольный треугольник, в котором отношение прилежащего катета к гипотенузе равно $ \frac{2}{3} $.
- Начертим прямую и на ней отрезок $ AC $ длиной 2 условные единицы (прилежащий катет).
- В точке $ C $ построим перпендикуляр к отрезку $ AC $.
- Из точки $ A $ проведем дугу окружности радиусом 3 условные единицы (гипотенуза).
- Точку пересечения дуги и перпендикуляра обозначим $ B $.
- Соединив точки $ A $ и $ B $, получим прямоугольный треугольник $ ABC $.
- Угол $ \angle BAC $ является искомым углом $ \alpha $, поскольку $ \cos(\angle BAC) = \frac{AC}{AB} = \frac{2}{3} $.
Ответ: Угол $ \angle BAC $ в построенном треугольнике $ ABC $ является искомым углом $ \alpha $.
д) sin ? = 1/2
Для построения угла $ \alpha $, синус которого равен $ \frac{1}{2} $, мы построим прямоугольный треугольник, у которого отношение противолежащего катета к гипотенузе равно $ \frac{1}{2} $.
- Начертим прямую $ l $. Выберем на ней произвольную точку $ C $.
- Построим прямую, перпендикулярную прямой $ l $ и проходящую через точку $ C $.
- На этом перпендикуляре отложим отрезок $ BC $ длиной 1 условную единицу (противолежащий катет).
- Из точки $ B $ как из центра проведем дугу окружности радиусом 2 условные единицы (гипотенуза).
- Точку пересечения этой дуги с прямой $ l $ обозначим $ A $.
- Соединим точки $ A $ и $ B $. Получим прямоугольный треугольник $ ABC $.
- Угол $ \angle BAC $ — искомый угол $ \alpha $, так как $ \sin(\angle BAC) = \frac{BC}{AB} = \frac{1}{2} $. (Стоит отметить, что это угол $ 30^\circ $).
Ответ: Угол $ \angle BAC $ в построенном треугольнике $ ABC $ является искомым углом $ \alpha $.
е) sin ? = 0,4
Представим $ 0,4 $ в виде дроби: $ 0,4 = \frac{4}{10} = \frac{2}{5} $. Построим прямоугольный треугольник, в котором отношение противолежащего катета к гипотенузе равно $ \frac{2}{5} $.
- Проведем прямую $ l $ и выберем на ней точку $ C $.
- В точке $ C $ восстановим перпендикуляр к прямой $ l $.
- На перпендикуляре отложим отрезок $ BC $ длиной 2 условные единицы (противолежащий катет).
- Из точки $ B $ проведем дугу окружности радиусом 5 условных единиц (гипотенуза).
- Точка пересечения дуги и прямой $ l $ будет вершиной $ A $.
- Соединим точки $ A $ и $ B $. Треугольник $ ABC $ — прямоугольный.
- Угол $ \angle BAC $ — искомый угол $ \alpha $, так как $ \sin(\angle BAC) = \frac{BC}{AB} = \frac{2}{5} = 0,4 $.
Ответ: Угол $ \angle BAC $ в построенном треугольнике $ ABC $ является искомым углом $ \alpha $.
№699 (с. 184)
Условие. №699 (с. 184)
скриншот условия

699 Найдите:
а) sin α и tg α, если ;
б) sin α и tg α, если ;
в) cos α и tg α, если ;
г) cos α и tg α, если .
Решение 2. №699 (с. 184)




Решение 3. №699 (с. 184)

Решение 4. №699 (с. 184)

Решение 6. №699 (с. 184)

Решение 7. №699 (с. 184)

Решение 8. №699 (с. 184)

Решение 9. №699 (с. 184)


Решение 11. №699 (с. 184)
а)
Для решения задачи будем использовать основное тригонометрическое тождество $\sin^2\alpha + \cos^2\alpha = 1$ и определение тангенса $\tan\alpha = \frac{\sin\alpha}{\cos\alpha}$. В задаче предполагается, что угол $\alpha$ острый, поэтому его синус, косинус и тангенс положительны.
Дано: $\cos\alpha = \frac{1}{2}$.
1. Найдем $\sin\alpha$:
$\sin^2\alpha = 1 - \cos^2\alpha$
$\sin^2\alpha = 1 - \left(\frac{1}{2}\right)^2 = 1 - \frac{1}{4} = \frac{3}{4}$
$\sin\alpha = \sqrt{\frac{3}{4}} = \frac{\sqrt{3}}{2}$
2. Найдем $\tan\alpha$:
$\tan\alpha = \frac{\sin\alpha}{\cos\alpha} = \frac{\frac{\sqrt{3}}{2}}{\frac{1}{2}} = \frac{\sqrt{3}}{2} \cdot 2 = \sqrt{3}$
Ответ: $\sin\alpha = \frac{\sqrt{3}}{2}$, $\tan\alpha = \sqrt{3}$.
б)
Используем те же формулы: основное тригонометрическое тождество и определение тангенса.
Дано: $\cos\alpha = \frac{2}{3}$.
1. Найдем $\sin\alpha$:
$\sin^2\alpha = 1 - \cos^2\alpha = 1 - \left(\frac{2}{3}\right)^2 = 1 - \frac{4}{9} = \frac{5}{9}$
$\sin\alpha = \sqrt{\frac{5}{9}} = \frac{\sqrt{5}}{3}$
2. Найдем $\tan\alpha$:
$\tan\alpha = \frac{\sin\alpha}{\cos\alpha} = \frac{\frac{\sqrt{5}}{3}}{\frac{2}{3}} = \frac{\sqrt{5}}{3} \cdot \frac{3}{2} = \frac{\sqrt{5}}{2}$
Ответ: $\sin\alpha = \frac{\sqrt{5}}{3}$, $\tan\alpha = \frac{\sqrt{5}}{2}$.
в)
Здесь нам дан синус, и мы находим косинус и тангенс.
Дано: $\sin\alpha = \frac{\sqrt{3}}{2}$.
1. Найдем $\cos\alpha$ из тождества $\sin^2\alpha + \cos^2\alpha = 1$:
$\cos^2\alpha = 1 - \sin^2\alpha = 1 - \left(\frac{\sqrt{3}}{2}\right)^2 = 1 - \frac{3}{4} = \frac{1}{4}$
$\cos\alpha = \sqrt{\frac{1}{4}} = \frac{1}{2}$
2. Найдем $\tan\alpha$:
$\tan\alpha = \frac{\sin\alpha}{\cos\alpha} = \frac{\frac{\sqrt{3}}{2}}{\frac{1}{2}} = \sqrt{3}$
Ответ: $\cos\alpha = \frac{1}{2}$, $\tan\alpha = \sqrt{3}$.
г)
Аналогично предыдущему пункту, находим косинус и тангенс по известному синусу.
Дано: $\sin\alpha = \frac{1}{4}$.
1. Найдем $\cos\alpha$:
$\cos^2\alpha = 1 - \sin^2\alpha = 1 - \left(\frac{1}{4}\right)^2 = 1 - \frac{1}{16} = \frac{15}{16}$
$\cos\alpha = \sqrt{\frac{15}{16}} = \frac{\sqrt{15}}{4}$
2. Найдем $\tan\alpha$:
$\tan\alpha = \frac{\sin\alpha}{\cos\alpha} = \frac{\frac{1}{4}}{\frac{\sqrt{15}}{4}} = \frac{1}{\sqrt{15}}$
Избавимся от иррациональности в знаменателе: $\frac{1}{\sqrt{15}} = \frac{1 \cdot \sqrt{15}}{\sqrt{15} \cdot \sqrt{15}} = \frac{\sqrt{15}}{15}$.
Ответ: $\cos\alpha = \frac{\sqrt{15}}{4}$, $\tan\alpha = \frac{\sqrt{15}}{15}$.
№700 (с. 184)
Условие. №700 (с. 184)
скриншот условия

700 В прямоугольном треугольнике один из катетов равен b, а противолежащий угол равен β. а) Выразите другой катет, противолежащий ему угол и гипотенузу через b и β. б) Найдите их значения, если b = 10 см, β = 50°.
Решение 2. №700 (с. 184)


Решение 3. №700 (с. 184)

Решение 4. №700 (с. 184)

Решение 6. №700 (с. 184)


Решение 7. №700 (с. 184)

Решение 8. №700 (с. 184)


Решение 9. №700 (с. 184)


Решение 11. №700 (с. 184)
Рассмотрим прямоугольный треугольник. Обозначим его катеты как $a$ и $b$, гипотенузу как $c$. Углы, противолежащие катетам $a$ и $b$, обозначим как $\alpha$ и $\beta$ соответственно. Прямой угол равен $90^\circ$. По условию задачи, один из катетов равен $b$, а противолежащий ему угол равен $\beta$.
а) Выразите другой катет, противолежащий ему угол и гипотенузу через $b$ и $\beta$.
1. Противолежащий другому катету угол.
Сумма острых углов в прямоугольном треугольнике равна $90^\circ$. Пусть другой катет — это $a$, а противолежащий ему угол — $\alpha$.
$\alpha + \beta = 90^\circ$
Следовательно, угол, противолежащий другому катету, равен:
$\alpha = 90^\circ - \beta$
2. Другой катет.
По определению тангенса в прямоугольном треугольнике, тангенс угла есть отношение противолежащего катета к прилежащему.
$\tan(\beta) = \frac{\text{противолежащий катет}}{\text{прилежащий катет}} = \frac{b}{a}$
Отсюда выразим катет $a$:
$a = \frac{b}{\tan(\beta)}$
Так как $\frac{1}{\tan(\beta)} = \cot(\beta)$ (котангенс), то формула для другого катета:
$a = b \cdot \cot(\beta)$
3. Гипотенуза.
По определению синуса в прямоугольном треугольнике, синус угла есть отношение противолежащего катета к гипотенузе.
$\sin(\beta) = \frac{\text{противолежащий катет}}{\text{гипотенуза}} = \frac{b}{c}$
Отсюда выразим гипотенузу $c$:
$c = \frac{b}{\sin(\beta)}$
Ответ: другой катет равен $b \cdot \cot(\beta)$, противолежащий ему угол равен $90^\circ - \beta$, гипотенуза равна $\frac{b}{\sin(\beta)}$.
б) Найдите их значения, если $b = 10$ см, $\beta = 50^\circ$.
Подставим данные значения в формулы, полученные в пункте а).
1. Противолежащий угол $\alpha$:
$\alpha = 90^\circ - 50^\circ = 40^\circ$
2. Другой катет $a$:
$a = 10 \cdot \cot(50^\circ)$
Используя калькулятор, находим значение $\cot(50^\circ) \approx 0.8391$.
$a \approx 10 \cdot 0.8391 \approx 8.39$ см.
3. Гипотенуза $c$:
$c = \frac{10}{\sin(50^\circ)}$
Используя калькулятор, находим значение $\sin(50^\circ) \approx 0.7660$.
$c \approx \frac{10}{0.7660} \approx 13.05$ см.
Ответ: другой катет $\approx 8.39$ см, противолежащий ему угол $40^\circ$, гипотенуза $\approx 13.05$ см.
№701 (с. 184)
Условие. №701 (с. 184)
скриншот условия

701 В прямоугольном треугольнике один из катетов равен b, а прилежащий к нему угол равен α. а) Выразите второй катет, прилежащий к нему острый угол и гипотенузу через b и α. б) Найдите их значения, если b = 12 см, α = 42°.
Решение 2. №701 (с. 184)


Решение 3. №701 (с. 184)

Решение 4. №701 (с. 184)

Решение 6. №701 (с. 184)

Решение 7. №701 (с. 184)

Решение 9. №701 (с. 184)

Решение 11. №701 (с. 184)
а)
Пусть дан прямоугольный треугольник. Обозначим один из катетов как $k_1 = b$, а прилежащий к нему острый угол как $\alpha$. Требуется выразить второй катет $k_2$, прилежащий ко второму катету острый угол $\beta$ и гипотенузу $c$.
1. Второй катет ($k_2$). Тангенс острого угла в прямоугольном треугольнике равен отношению противолежащего катета к прилежащему. Для угла $\alpha$: $$ \tan(\alpha) = \frac{k_2}{k_1} = \frac{k_2}{b} $$ Из этого соотношения выражаем второй катет: $$ k_2 = b \cdot \tan(\alpha) $$
2. Прилежащий к нему острый угол ($\beta$). Сумма острых углов в прямоугольном треугольнике составляет $90^\circ$. Следовательно, второй острый угол $\beta$, который прилежит ко второму катету $k_2$, равен: $$ \beta = 90^\circ - \alpha $$
3. Гипотенуза ($c$). Косинус острого угла в прямоугольном треугольнике равен отношению прилежащего катета к гипотенузе. Для угла $\alpha$: $$ \cos(\alpha) = \frac{k_1}{c} = \frac{b}{c} $$ Из этого соотношения выражаем гипотенузу: $$ c = \frac{b}{\cos(\alpha)} $$
Ответ: второй катет равен $b \cdot \tan(\alpha)$, прилежащий к нему острый угол равен $90^\circ - \alpha$, гипотенуза равна $\frac{b}{\cos(\alpha)}$.
б)
Теперь найдем численные значения этих величин, подставив в полученные формулы $b = 12$ см и $\alpha = 42^\circ$.
Второй катет: $$ k_2 = 12 \cdot \tan(42^\circ) $$ Используя калькулятор, находим, что $\tan(42^\circ) \approx 0.9004$. $$ k_2 \approx 12 \cdot 0.9004 \approx 10.8048 \text{ см} $$ Округлив до сотых, получаем $10.80$ см.
Прилежащий к нему острый угол: $$ \beta = 90^\circ - 42^\circ = 48^\circ $$
Гипотенуза: $$ c = \frac{12}{\cos(42^\circ)} $$ Используя калькулятор, находим, что $\cos(42^\circ) \approx 0.7431$. $$ c \approx \frac{12}{0.7431} \approx 16.1485 \text{ см} $$ Округлив до сотых, получаем $16.15$ см.
Ответ: второй катет $\approx 10.80$ см, прилежащий к нему острый угол равен $48^\circ$, гипотенуза $\approx 16.15$ см.
№702 (с. 184)
Условие. №702 (с. 184)
скриншот условия

702 В прямоугольном треугольнике гипотенуза равна с, а один из острых углов равен α. Выразите второй острый угол и катеты через с и α и найдите их значения, если с = 24 см, а α = 35°.
Решение 2. №702 (с. 184)

Решение 3. №702 (с. 184)

Решение 4. №702 (с. 184)

Решение 6. №702 (с. 184)

Решение 7. №702 (с. 184)

Решение 8. №702 (с. 184)


Решение 9. №702 (с. 184)

Решение 11. №702 (с. 184)
Пусть в прямоугольном треугольнике гипотенуза равна $c$, один острый угол равен $\alpha$, второй острый угол равен $\beta$. Катеты, противолежащий и прилежащий углу $\alpha$, обозначим как $a$ и $b$ соответственно.
Выражение второго острого угла и катетов через c и ?1. Второй острый угол. Сумма углов в любом треугольнике равна $180^\circ$. Поскольку в прямоугольном треугольнике один угол равен $90^\circ$, сумма двух острых углов составляет $180^\circ - 90^\circ = 90^\circ$. Следовательно, $\alpha + \beta = 90^\circ$. Отсюда выражаем второй острый угол $\beta$:
$\beta = 90^\circ - \alpha$
2. Катеты. Используя определения синуса и косинуса в прямоугольном треугольнике, выразим катеты через гипотенузу $c$ и угол $\alpha$.
Катет $a$, противолежащий углу $\alpha$, равен произведению гипотенузы на синус этого угла:
$a = c \cdot \sin(\alpha)$
Катет $b$, прилежащий к углу $\alpha$, равен произведению гипотенузы на косинус этого угла:
$b = c \cdot \cos(\alpha)$
Ответ: Второй острый угол равен $90^\circ - \alpha$; катеты равны $c \cdot \sin(\alpha)$ и $c \cdot \cos(\alpha)$.
Нахождение их значений, если c = 24 см, а ? = 35°Подставим заданные значения $c = 24$ см и $\alpha = 35^\circ$ в полученные формулы.
1. Значение второго острого угла.
$\beta = 90^\circ - 35^\circ = 55^\circ$
2. Значения катетов.
Для вычислений используем значения синуса и косинуса (с точностью до четырех знаков после запятой): $\sin(35^\circ) \approx 0.5736$ и $\cos(35^\circ) \approx 0.8192$.
Катет, противолежащий углу $35^\circ$:
$a = 24 \cdot \sin(35^\circ) \approx 24 \cdot 0.5736 \approx 13.77$ см.
Катет, прилежащий к углу $35^\circ$:
$b = 24 \cdot \cos(35^\circ) \approx 24 \cdot 0.8192 \approx 19.66$ см.
Ответ: Второй острый угол равен $55^\circ$; катеты приблизительно равны $13.77$ см и $19.66$ см.
№703 (с. 184)
Условие. №703 (с. 184)
скриншот условия

703 Катеты прямоугольного треугольника равны a и b. Выразите через а и b гипотенузу и тангенсы острых углов треугольника и найдите их значения при а = 12, b = 15.
Решение 2. №703 (с. 184)

Решение 3. №703 (с. 184)

Решение 4. №703 (с. 184)

Решение 6. №703 (с. 184)

Решение 7. №703 (с. 184)

Решение 9. №703 (с. 184)


Решение 11. №703 (с. 184)
Выразите через a и b гипотенузу и тангенсы острых углов треугольника
Рассмотрим прямоугольный треугольник, катеты которого равны $a$ и $b$. Обозначим гипотенузу буквой $c$. Согласно теореме Пифагора, квадрат гипотенузы равен сумме квадратов катетов:
$$c^2 = a^2 + b^2$$Следовательно, формула для гипотенузы:
$$c = \sqrt{a^2 + b^2}$$Острые углы треугольника обозначим как $\alpha$ и $\beta$. Пусть угол $\alpha$ лежит напротив катета $a$, а угол $\beta$ — напротив катета $b$. Тангенс острого угла в прямоугольном треугольнике определяется как отношение длины противолежащего катета к длине прилежащего катета.
Для угла $\alpha$:
$$\tan \alpha = \frac{a}{b}$$Для угла $\beta$:
$$\tan \beta = \frac{b}{a}$$Ответ: Гипотенуза $c = \sqrt{a^2 + b^2}$; тангенсы острых углов равны $\frac{a}{b}$ и $\frac{b}{a}$.
Найдите их значения при a = 12, b = 15
Подставим числовые значения $a = 12$ и $b = 15$ в формулы, полученные в предыдущем пункте.
1. Находим гипотенузу:
$$c = \sqrt{12^2 + 15^2} = \sqrt{144 + 225} = \sqrt{369}$$Упрощаем корень, вынося множитель из-под знака корня: $369 = 9 \cdot 41$.
$$c = \sqrt{9 \cdot 41} = 3\sqrt{41}$$2. Находим тангенсы острых углов.
Тангенс угла, противолежащего катету $a=12$:
$$\tan \alpha = \frac{12}{15} = \frac{4}{5} = 0.8$$Тангенс угла, противолежащего катету $b=15$:
$$\tan \beta = \frac{15}{12} = \frac{5}{4} = 1.25$$Ответ: При $a=12$ и $b=15$ гипотенуза равна $3\sqrt{41}$, а тангенсы острых углов равны $\frac{4}{5}$ и $\frac{5}{4}$.
№704 (с. 184)
Условие. №704 (с. 184)
скриншот условия

704 Найдите площадь равнобедренного треугольника с углом α при основании, если: а) боковая сторона равна b; б) основание равно а.
Решение 2. №704 (с. 184)


Решение 3. №704 (с. 184)


Решение 4. №704 (с. 184)

Решение 6. №704 (с. 184)


Решение 7. №704 (с. 184)

Решение 9. №704 (с. 184)


Решение 11. №704 (с. 184)
а)
Пусть дан равнобедренный треугольник с боковой стороной $b$ и углом при основании $\alpha$. Для нахождения площади треугольника можно использовать две основные формулы: через основание и высоту или через две стороны и угол между ними.
Способ 1: Через две стороны и угол между ними.
В равнобедренном треугольнике боковые стороны равны, то есть у нас есть две стороны длиной $b$. Углы при основании также равны, и каждый из них равен $\alpha$. Сумма углов в треугольнике составляет $180^\circ$, поэтому угол при вершине, лежащий между боковыми сторонами, равен $180^\circ - 2\alpha$.
Площадь треугольника вычисляется по формуле $S = \frac{1}{2}xy\sin\gamma$, где $x$ и $y$ — стороны, а $\gamma$ — угол между ними.
Применим эту формулу к нашему треугольнику: $S = \frac{1}{2} \cdot b \cdot b \cdot \sin(180^\circ - 2\alpha)$
Поскольку $\sin(180^\circ - \theta) = \sin\theta$, получаем: $S = \frac{1}{2} b^2 \sin(2\alpha)$
Способ 2: Через основание и высоту.
Проведем высоту $h$ к основанию. В равнобедренном треугольнике эта высота также является медианой и биссектрисой. Она делит исходный треугольник на два одинаковых прямоугольных треугольника. В каждом из них гипотенуза равна $b$, а один из острых углов равен $\alpha$.
Из такого прямоугольного треугольника находим высоту $h$ и половину основания $\frac{a}{2}$: $h = b \sin\alpha$ (как катет, противолежащий углу $\alpha$) $\frac{a}{2} = b \cos\alpha$ (как катет, прилежащий к углу $\alpha$)
Следовательно, длина всего основания $a = 2b \cos\alpha$. Площадь треугольника равна $S = \frac{1}{2}ah$: $S = \frac{1}{2} (2b \cos\alpha) (b \sin\alpha) = b^2 \sin\alpha \cos\alpha$
Используя формулу синуса двойного угла $2\sin\alpha\cos\alpha = \sin(2\alpha)$, мы можем преобразовать это выражение: $S = \frac{1}{2} b^2 (2\sin\alpha\cos\alpha) = \frac{1}{2} b^2 \sin(2\alpha)$ Оба способа приводят к одному и тому же результату.
Ответ: $S = \frac{1}{2} b^2 \sin(2\alpha)$.
б)
Пусть дан равнобедренный треугольник с основанием $a$ и углом при основании $\alpha$. Для нахождения площади воспользуемся формулой $S = \frac{1}{2} \cdot \text{основание} \cdot \text{высота}$.
Основание нам известно, оно равно $a$. Найдем высоту $h$, проведенную к этому основанию. В равнобедренном треугольнике высота, проведенная к основанию, делит его пополам. Таким образом, она разбивает треугольник на два равных прямоугольных треугольника.
Рассмотрим один из этих прямоугольных треугольников. Один из его катетов — это искомая высота $h$, а другой катет — это половина основания, то есть $\frac{a}{2}$. Угол при основании исходного треугольника $\alpha$ является одним из острых углов этого прямоугольного треугольника. Он прилежит к катету $\frac{a}{2}$ и противолежит катету $h$.
Из определения тангенса в прямоугольном треугольнике ($\tan\alpha = \frac{\text{противолежащий катет}}{\text{прилежащий катет}}$) имеем: $\tan\alpha = \frac{h}{a/2}$
Отсюда выражаем высоту $h$: $h = \frac{a}{2} \tan\alpha$
Теперь подставим найденную высоту в формулу площади треугольника: $S = \frac{1}{2} \cdot a \cdot h = \frac{1}{2} \cdot a \cdot \left(\frac{a}{2} \tan\alpha\right) = \frac{a^2}{4} \tan\alpha$
Ответ: $S = \frac{a^2}{4} \tan\alpha$.
Помогло решение? Оставьте отзыв в комментариях ниже.