Номер 697, страница 184 - гдз по геометрии 7-9 класс учебник Атанасян, Бутузов
 
                                                Авторы: Атанасян Л. С., Бутузов В. Ф., Кадомцев С. Б., Позняк Э. Г., Юдина И. И.
Тип: Учебник
Издательство: Просвещение
Год издания: 2023 - 2025
Уровень обучения: базовый
Цвет обложки: синий
ISBN: 978-5-09-102538-5 (2023), 978-5-09-111167-5 (2024)
Допущено Министерством просвещения Российской Федерации
Популярные ГДЗ в 7 классе
Глава 8. Подобные треугольники. Параграф 4. Соотношения между сторонами и углами прямоугольного треугольника. 75. Значения синуса, косинуса и тангенса для углов 30°, 45° и 60° - номер 697, страница 184.
№697 (с. 184)
Условие. №697 (с. 184)
скриншот условия
 
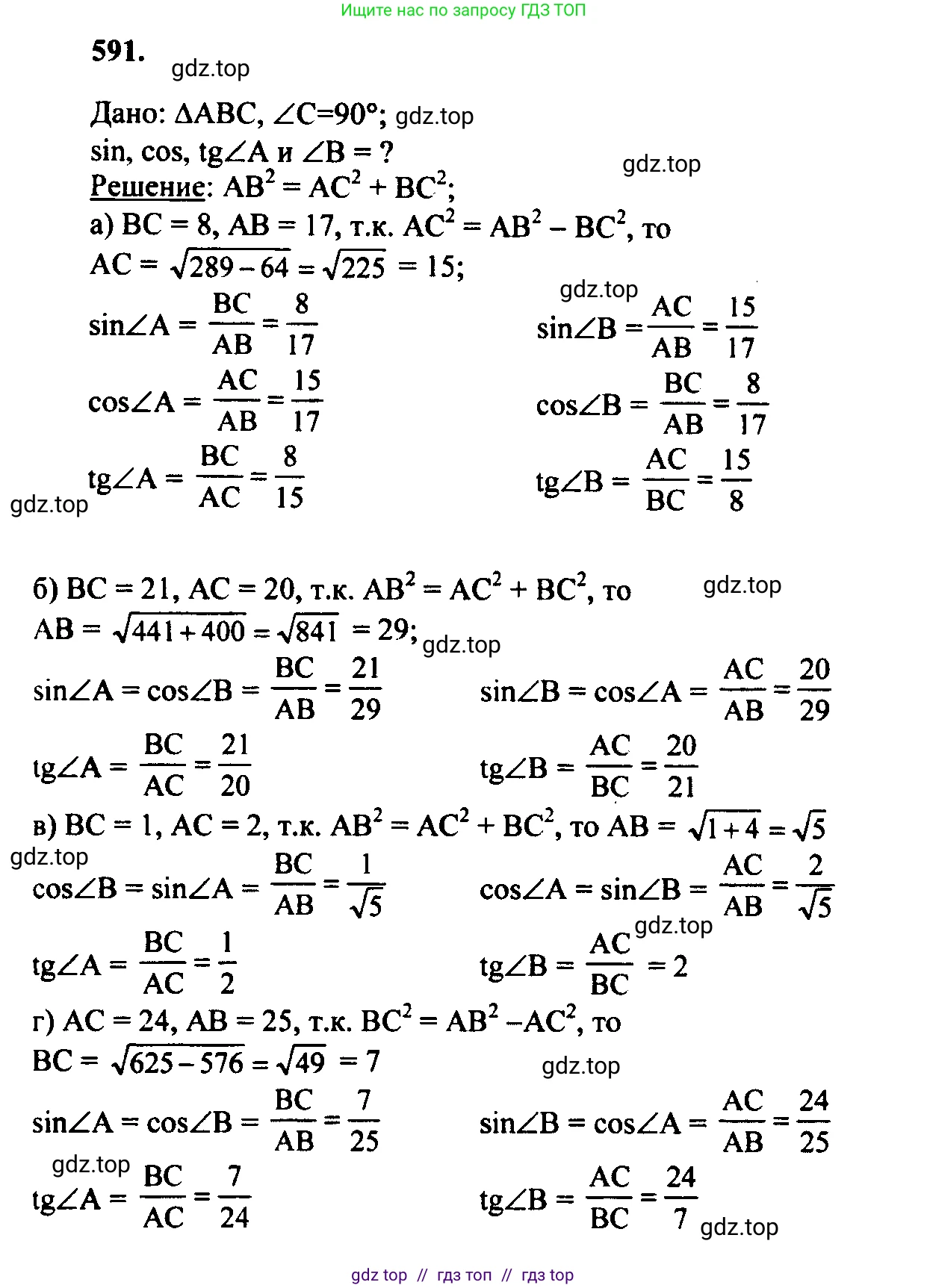
                                697 Найдите синус, косинус и тангенс углов A и B треугольника ABC с прямым углом С, если: а) ВС = 8, AB = 17; б) ВС = 21, АС = 20; в) ВС = 1, АС = 2; г) АС = 24, AB = 25.
Решение 2. №697 (с. 184)
 
             
             
             
                            Решение 3. №697 (с. 184)
 
             
                            Решение 4. №697 (с. 184)
 
                            Решение 6. №697 (с. 184)
 
                            Решение 7. №697 (с. 184)
 
                            Решение 8. №697 (с. 184)
 
             
                            Решение 9. №697 (с. 184)
 
             
             
                            Решение 11. №697 (с. 184)
Для решения задачи воспользуемся определениями тригонометрических функций в прямоугольном треугольнике ABC (угол C = 90°) и теоремой Пифагора. В треугольнике ABC катеты — это AC и BC, а гипотенуза — AB.
Определения тригонометрических функций для острых углов A и B:
$ \sin A = \frac{BC}{AB} $ (отношение противолежащего катета к гипотенузе)
$ \cos A = \frac{AC}{AB} $ (отношение прилежащего катета к гипотенузе)
$ \tan A = \frac{BC}{AC} $ (отношение противолежащего катета к прилежащему)
$ \sin B = \frac{AC}{AB} $
$ \cos B = \frac{BC}{AB} $
$ \tan B = \frac{AC}{BC} $
Теорема Пифагора: $ AC^2 + BC^2 = AB^2 $.
а) Дано: $BC=8$, $AB=17$.
Найдем катет AC по теореме Пифагора:
$ AC^2 + BC^2 = AB^2 $
$ AC^2 + 8^2 = 17^2 $
$ AC^2 + 64 = 289 $
$ AC^2 = 289 - 64 = 225 $
$ AC = \sqrt{225} = 15 $.
Теперь находим тригонометрические функции углов A и B:
$ \sin A = \frac{BC}{AB} = \frac{8}{17} $
$ \cos A = \frac{AC}{AB} = \frac{15}{17} $
$ \tan A = \frac{BC}{AC} = \frac{8}{15} $
$ \sin B = \frac{AC}{AB} = \frac{15}{17} $
$ \cos B = \frac{BC}{AB} = \frac{8}{17} $
$ \tan B = \frac{AC}{BC} = \frac{15}{8} $
Ответ: $ \sin A = \frac{8}{17} $, $ \cos A = \frac{15}{17} $, $ \tan A = \frac{8}{15} $; $ \sin B = \frac{15}{17} $, $ \cos B = \frac{8}{17} $, $ \tan B = \frac{15}{8} $.
б) Дано: $BC=21$, $AC=20$.
Найдем гипотенузу AB по теореме Пифагора:
$ AB^2 = AC^2 + BC^2 $
$ AB^2 = 20^2 + 21^2 $
$ AB^2 = 400 + 441 = 841 $
$ AB = \sqrt{841} = 29 $.
Теперь находим тригонометрические функции углов A и B:
$ \sin A = \frac{BC}{AB} = \frac{21}{29} $
$ \cos A = \frac{AC}{AB} = \frac{20}{29} $
$ \tan A = \frac{BC}{AC} = \frac{21}{20} $
$ \sin B = \frac{AC}{AB} = \frac{20}{29} $
$ \cos B = \frac{BC}{AB} = \frac{21}{29} $
$ \tan B = \frac{AC}{BC} = \frac{20}{21} $
Ответ: $ \sin A = \frac{21}{29} $, $ \cos A = \frac{20}{29} $, $ \tan A = \frac{21}{20} $; $ \sin B = \frac{20}{29} $, $ \cos B = \frac{21}{29} $, $ \tan B = \frac{20}{21} $.
в) Дано: $BC=1$, $AC=2$.
Найдем гипотенузу AB по теореме Пифагора:
$ AB^2 = AC^2 + BC^2 $
$ AB^2 = 2^2 + 1^2 $
$ AB^2 = 4 + 1 = 5 $
$ AB = \sqrt{5} $.
Теперь находим тригонометрические функции углов A и B:
$ \sin A = \frac{BC}{AB} = \frac{1}{\sqrt{5}} = \frac{\sqrt{5}}{5} $
$ \cos A = \frac{AC}{AB} = \frac{2}{\sqrt{5}} = \frac{2\sqrt{5}}{5} $
$ \tan A = \frac{BC}{AC} = \frac{1}{2} $
$ \sin B = \frac{AC}{AB} = \frac{2}{\sqrt{5}} = \frac{2\sqrt{5}}{5} $
$ \cos B = \frac{BC}{AB} = \frac{1}{\sqrt{5}} = \frac{\sqrt{5}}{5} $
$ \tan B = \frac{AC}{BC} = \frac{2}{1} = 2 $
Ответ: $ \sin A = \frac{\sqrt{5}}{5} $, $ \cos A = \frac{2\sqrt{5}}{5} $, $ \tan A = \frac{1}{2} $; $ \sin B = \frac{2\sqrt{5}}{5} $, $ \cos B = \frac{\sqrt{5}}{5} $, $ \tan B = 2 $.
г) Дано: $AC=24$, $AB=25$.
Найдем катет BC по теореме Пифагора:
$ AC^2 + BC^2 = AB^2 $
$ 24^2 + BC^2 = 25^2 $
$ 576 + BC^2 = 625 $
$ BC^2 = 625 - 576 = 49 $
$ BC = \sqrt{49} = 7 $.
Теперь находим тригонометрические функции углов A и B:
$ \sin A = \frac{BC}{AB} = \frac{7}{25} $
$ \cos A = \frac{AC}{AB} = \frac{24}{25} $
$ \tan A = \frac{BC}{AC} = \frac{7}{24} $
$ \sin B = \frac{AC}{AB} = \frac{24}{25} $
$ \cos B = \frac{BC}{AB} = \frac{7}{25} $
$ \tan B = \frac{AC}{BC} = \frac{24}{7} $
Ответ: $ \sin A = \frac{7}{25} $, $ \cos A = \frac{24}{25} $, $ \tan A = \frac{7}{24} $; $ \sin B = \frac{24}{25} $, $ \cos B = \frac{7}{25} $, $ \tan B = \frac{24}{7} $.
Другие задания:
Помогло решение? Оставьте отзыв в комментариях ниже.
Присоединяйтесь к Телеграм-группе @top_gdz
ПрисоединитьсяМы подготовили для вас ответ c подробным объяснением домашего задания по геометрии за 7-9 класс, для упражнения номер 697 расположенного на странице 184 к учебнику 2023 года издания для учащихся школ и гимназий.
Теперь на нашем сайте ГДЗ.ТОП вы всегда легко и бесплатно найдёте условие с правильным ответом на вопрос «Как решить ДЗ» и «Как сделать» задание по геометрии к упражнению №697 (с. 184), авторов: Атанасян (Левон Сергеевич), Бутузов (Валентин Фёдорович), Кадомцев (Сергей Борисович), Позняк (Эдуард Генрихович), Юдина (Ирина Игоревна), ФГОС (новый, красный) базовый уровень обучения учебного пособия издательства Просвещение.
 
                     
                     
                     
                     
                     
                     
                     
                     
                     
                     
                     
                     
                    