Номер 60.17, страница 235, часть 2 - гдз по алгебре 10-11 класс задачник Мордкович, Семенов


Авторы: Мордкович А. Г., Семенов П. В., Денищева Л. О., Корешкова Т. А., Мишустина Т. Н., Тульчинская Е. Е.
Тип: Задачник
Издательство: Мнемозина
Год издания: 2019 - 2025
Уровень обучения: базовый
Часть: 2
Цвет обложки:
ISBN: 978-5-346-04509-0 (общ.), 978-5-346-04510-6 (ч. 1), 978-5-346-04511-3 (ч. 2)
Рекомендовано Министерством образования и науки Российской Федерации
Математика: алгебра и начала математического анализа, геометрия
Популярные ГДЗ в 10 классе
§60. Задачи с параметрами. Глава 10. Уравнения и неравенства. Системы уравнений и неравенств. ч. 2 - номер 60.17, страница 235.
№60.17 (с. 235)
Условие. №60.17 (с. 235)
скриншот условия

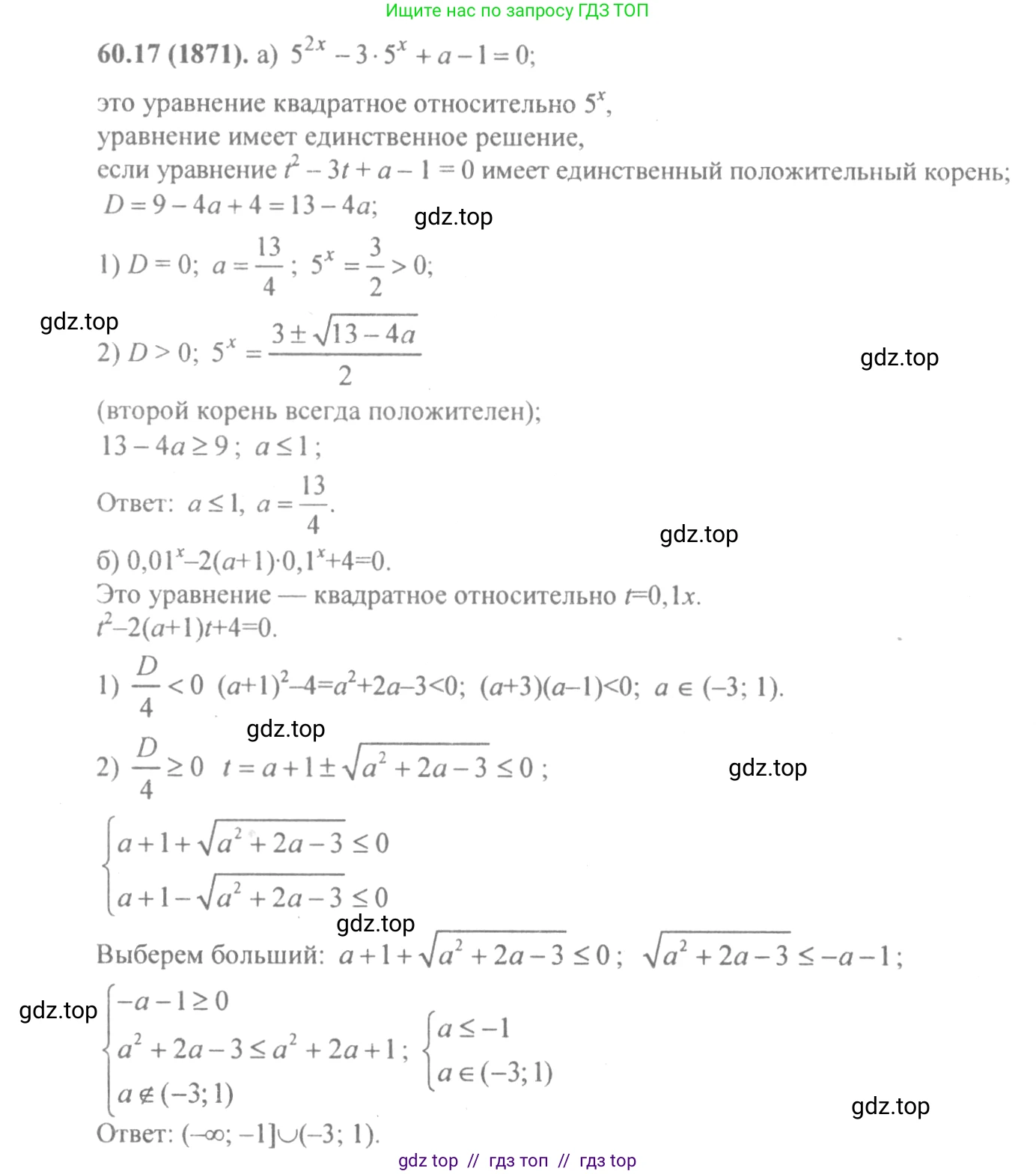
60.17 При каких значениях a:
а) уравнение $5^{2x} - 3 \cdot 5^x + a - 1 = 0$ имеет единственный корень;
б) уравнение $0,01^x - 2(a + 1) \cdot 0,1^x + 4 = 0$ не имеет действительных корней?
Решение 1. №60.17 (с. 235)

Решение 2. №60.17 (с. 235)


Решение 5. №60.17 (с. 235)


Решение 6. №60.17 (с. 235)
а)
Дано уравнение $5^{2x} - 3 \cdot 5^x + a - 1 = 0$.
Для того чтобы найти значения параметра $a$, при которых уравнение имеет единственный корень, произведем замену переменной. Пусть $t = 5^x$. Так как показательная функция $y=5^x$ принимает только положительные значения, то есть область ее значений $(0, +\infty)$, то для переменной $t$ должно выполняться условие $t > 0$.
После замены исходное уравнение принимает вид квадратного уравнения относительно $t$:$t^2 - 3t + a - 1 = 0$.
Исходное уравнение имеет единственный корень тогда и только тогда, когда полученное квадратное уравнение имеет единственный положительный корень. Рассмотрим два случая.
1. Квадратное уравнение имеет один корень (случай, когда дискриминант равен нулю), и этот корень положителен.Найдем дискриминант: $D = (-3)^2 - 4 \cdot 1 \cdot (a - 1) = 9 - 4a + 4 = 13 - 4a$.Приравняем дискриминант к нулю: $13 - 4a = 0$, откуда $a = \frac{13}{4}$.При этом значении $a$ корень уравнения для $t$ равен $t = \frac{-(-3)}{2 \cdot 1} = \frac{3}{2}$.Так как $t = \frac{3}{2} > 0$, это условие нам подходит. При $a = \frac{13}{4}$ исходное уравнение имеет единственный корень $x = \log_5(\frac{3}{2})$.
2. Квадратное уравнение имеет два различных действительных корня ($D > 0$), но только один из них является положительным.Условие $D > 0$ выполняется при $13 - 4a > 0$, то есть $a < \frac{13}{4}$.Пусть $t_1$ и $t_2$ — корни квадратного уравнения. По теореме Виета:Сумма корней: $t_1 + t_2 = 3$.Произведение корней: $t_1 \cdot t_2 = a - 1$.
Поскольку сумма корней $t_1 + t_2 = 3$ положительна, невозможен случай, когда оба корня отрицательны. Следовательно, как минимум один корень всегда положителен.Чтобы только один корень был положительным, второй корень должен быть либо отрицательным, либо равным нулю.
• Если один корень положителен, а другой отрицателен, их произведение должно быть отрицательным: $t_1 \cdot t_2 < 0$. $a - 1 < 0 \implies a < 1$. При $a < 1$ уравнение для $t$ имеет один положительный и один отрицательный корень. Только положительный корень $t$ дает решение для $x$, поэтому исходное уравнение имеет единственный корень.
• Если один корень равен нулю, а другой положителен. Если один из корней равен нулю, то их произведение равно нулю: $t_1 \cdot t_2 = 0$. $a - 1 = 0 \implies a = 1$. При $a = 1$ уравнение для $t$ принимает вид $t^2 - 3t = 0$, или $t(t-3) = 0$. Корни: $t_1 = 0$ и $t_2 = 3$. Так как требуется $t > 0$, подходит только корень $t_2 = 3$. Это дает единственное решение $x=\log_5(3)$. Следовательно, $a=1$ также является решением.
Объединим все найденные значения $a$:Из случая 1: $a = \frac{13}{4}$.Из случая 2: $a < 1$ или $a = 1$, что можно объединить как $a \le 1$.Таким образом, уравнение имеет единственный корень при $a \le 1$ или $a = \frac{13}{4}$.
Ответ: $a \in (-\infty, 1] \cup \{\frac{13}{4}\}$.
б)
Дано уравнение $0,01^x - 2(a+1) \cdot 0,1^x + 4 = 0$.Заметим, что $0,01^x = (0,1^2)^x = (0,1^x)^2$.Произведем замену переменной. Пусть $t = 0,1^x$. Так как показательная функция $y=0,1^x$ принимает только положительные значения, то $t > 0$.После замены исходное уравнение сводится к квадратному уравнению относительно $t$:$t^2 - 2(a+1)t + 4 = 0$.
Исходное уравнение не имеет действительных корней, если полученное квадратное уравнение не имеет положительных корней. Это возможно в двух случаях:
1. Квадратное уравнение не имеет действительных корней.Это происходит, когда его дискриминант $D$ отрицателен.$D = (-2(a+1))^2 - 4 \cdot 1 \cdot 4 = 4(a+1)^2 - 16$.$D < 0 \implies 4(a+1)^2 - 16 < 0 \implies (a+1)^2 < 4$.Решая неравенство, получаем $|a+1| < 2$, что равносильно $-2 < a+1 < 2$.Вычитая 1 из всех частей, получаем $-3 < a < 1$.При этих значениях $a$ уравнение для $t$ не имеет действительных корней, а значит, и исходное уравнение не имеет корней.
2. Квадратное уравнение имеет действительные корни ($D \ge 0$), но все они не являются положительными (т.е. они отрицательны или равны нулю).Условие $D \ge 0$ выполняется при $(a+1)^2 \ge 4$, то есть $|a+1| \ge 2$. Это дает $a+1 \ge 2$ или $a+1 \le -2$, откуда $a \ge 1$ или $a \le -3$.
Рассмотрим корни $t_1, t_2$ квадратного уравнения. По теореме Виета:Сумма корней: $t_1 + t_2 = 2(a+1)$.Произведение корней: $t_1 \cdot t_2 = 4$.
Поскольку произведение корней $t_1 \cdot t_2 = 4$ строго положительно, корни, если они существуют, имеют одинаковый знак. Они не могут быть равны нулю. Следовательно, они либо оба положительны, либо оба отрицательны.Чтобы уравнение не имело положительных корней, оба корня $t_1$ и $t_2$ должны быть отрицательными.Для этого необходимо, чтобы их сумма была отрицательной:$t_1 + t_2 < 0 \implies 2(a+1) < 0 \implies a+1 < 0 \implies a < -1$.
Итак, для этого случая должны выполняться два условия одновременно:- $D \ge 0 \implies a \ge 1$ или $a \le -3$.- Сумма корней отрицательна $\implies a < -1$.Пересечение этих условий дает $a \le -3$.
Объединим результаты обоих случаев. Исходное уравнение не имеет корней, если:- $-3 < a < 1$ (из случая 1)- $a \le -3$ (из случая 2)Объединяя эти два множества, получаем $a < 1$.
Ответ: $a < 1$.
Другие задания:
Помогло решение? Оставьте отзыв в комментариях ниже.
Мы подготовили для вас ответ c подробным объяснением домашего задания по алгебре за 10-11 класс, для упражнения номер 60.17 расположенного на странице 235 для 2-й части к задачнику 2019 года издания для учащихся школ и гимназий.
Теперь на нашем сайте ГДЗ.ТОП вы всегда легко и бесплатно найдёте условие с правильным ответом на вопрос «Как решить ДЗ» и «Как сделать» задание по алгебре к упражнению №60.17 (с. 235), авторов: Мордкович (Александр Григорьевич), Семенов (Павел Владимирович), Денищева (Лариса Олеговна), Корешкова (Т А), Мишустина (Татьяна Николаевна), Тульчинская (Елена Ефимовна), 2-й части ФГОС (старый) базовый уровень обучения учебного пособия издательства Мнемозина.