Страница 200, часть 2 - гдз по алгебре 10-11 класс задачник часть 1, 2 Мордкович, Семенов


Авторы: Мордкович А. Г., Семенов П. В., Денищева Л. О., Корешкова Т. А., Мишустина Т. Н., Тульчинская Е. Е.
Тип: Задачник
Издательство: Мнемозина
Год издания: 2019 - 2025
Уровень обучения: базовый
Часть: 2
Цвет обложки:
ISBN: 978-5-346-04509-0 (общ.), 978-5-346-04510-6 (ч. 1), 978-5-346-04511-3 (ч. 2)
Рекомендовано Министерством образования и науки Российской Федерации
Математика: алгебра и начала математического анализа, геометрия
Популярные ГДЗ в 10 классе
ч. 2. Cтраница 200

№49.32 (с. 200)
Условие. №49.32 (с. 200)
скриншот условия

49.32 Вычислите площадь фигуры, ограниченной линиями:
а) $y = \sin 2x, y = \frac{16x^2}{\pi^2};$
б) $y = x^2 - 1, y = \cos \frac{\pi x}{2};$
в) $y = \cos x, y = \left(\frac{2x}{\pi} - 1\right)^2;$
г) $y = x^2 - 2x, y = \sin \frac{\pi x}{2}.$
Решение 1. №49.32 (с. 200)

Решение 2. №49.32 (с. 200)





Решение 5. №49.32 (с. 200)



Решение 6. №49.32 (с. 200)
а) $y = \sin 2x, y = \frac{16x^2}{\pi^2}$
Для вычисления площади фигуры, ограниченной заданными линиями, сначала найдем точки их пересечения. Для этого приравняем выражения для $y$:
$\sin 2x = \frac{16x^2}{\pi^2}$
Подбором находим очевидные решения. При $x=0$ обе части уравнения равны нулю: $\sin(0) = 0$ и $\frac{16 \cdot 0^2}{\pi^2} = 0$. Следовательно, $x=0$ - одна из точек пересечения.
Проверим точку $x = \frac{\pi}{4}$. Левая часть: $\sin(2 \cdot \frac{\pi}{4}) = \sin(\frac{\pi}{2}) = 1$. Правая часть: $\frac{16(\pi/4)^2}{\pi^2} = \frac{16\pi^2/16}{\pi^2} = 1$. Значения совпадают, значит $x = \frac{\pi}{4}$ также является точкой пересечения.
На интервале $(0, \frac{\pi}{4})$ определим, какая из функций принимает большие значения. Возьмем пробную точку, например, $x=\frac{\pi}{8}$:
$y_1 = \sin(2 \cdot \frac{\pi}{8}) = \sin(\frac{\pi}{4}) = \frac{\sqrt{2}}{2} \approx 0.707$
$y_2 = \frac{16(\pi/8)^2}{\pi^2} = \frac{16\pi^2/64}{\pi^2} = \frac{1}{4} = 0.25$
Поскольку $\frac{\sqrt{2}}{2} > \frac{1}{4}$, на интервале $(0, \frac{\pi}{4})$ график функции $y=\sin 2x$ лежит выше графика $y = \frac{16x^2}{\pi^2}$.
Площадь фигуры вычисляется как интеграл от разности функций на отрезке между точками пересечения:
$S = \int_{0}^{\pi/4} \left(\sin 2x - \frac{16x^2}{\pi^2}\right) dx$
Вычислим интеграл:
$S = \left[-\frac{1}{2}\cos 2x - \frac{16}{\pi^2} \frac{x^3}{3}\right]_{0}^{\pi/4} = \left[-\frac{1}{2}\cos 2x - \frac{16x^3}{3\pi^2}\right]_{0}^{\pi/4}$
$S = \left(-\frac{1}{2}\cos(2\cdot\frac{\pi}{4}) - \frac{16(\pi/4)^3}{3\pi^2}\right) - \left(-\frac{1}{2}\cos(0) - \frac{16 \cdot 0^3}{3\pi^2}\right)$
$S = \left(-\frac{1}{2}\cos(\frac{\pi}{2}) - \frac{16\pi^3/64}{3\pi^2}\right) - \left(-\frac{1}{2} \cdot 1 - 0\right)$
$S = \left(-0 - \frac{\pi^3/4}{3\pi^2}\right) - \left(-\frac{1}{2}\right) = -\frac{\pi}{12} + \frac{1}{2} = \frac{6-\pi}{12}$
Ответ: $\frac{6-\pi}{12}$
б) $y = x^2 - 1, y = \cos\frac{\pi x}{2}$
Найдем точки пересечения, решив уравнение $x^2 - 1 = \cos\frac{\pi x}{2}$.
При $x=1$: $1^2-1=0$ и $\cos(\frac{\pi \cdot 1}{2})=0$. Точка $x=1$ является точкой пересечения.
При $x=-1$: $(-1)^2-1=0$ и $\cos(\frac{\pi \cdot (-1)}{2})=0$. Точка $x=-1$ также является точкой пересечения.
Обе функции являются четными, поэтому фигура симметрична относительно оси $Oy$. На интервале $(-1, 1)$ проверим, какая функция больше. Возьмем $x=0$:
$y_1 = 0^2 - 1 = -1$
$y_2 = \cos(0) = 1$
Следовательно, на отрезке $[-1, 1]$ график $y = \cos\frac{\pi x}{2}$ лежит выше графика $y = x^2 - 1$.
Площадь фигуры равна:
$S = \int_{-1}^{1} \left(\cos\frac{\pi x}{2} - (x^2 - 1)\right) dx = \int_{-1}^{1} \left(\cos\frac{\pi x}{2} - x^2 + 1\right) dx$
В силу четности подынтегральной функции, можно вычислить интеграл на отрезке $[0, 1]$ и удвоить результат:
$S = 2 \int_{0}^{1} \left(\cos\frac{\pi x}{2} - x^2 + 1\right) dx = 2 \left[\frac{2}{\pi}\sin\frac{\pi x}{2} - \frac{x^3}{3} + x\right]_{0}^{1}$
$S = 2 \left( \left(\frac{2}{\pi}\sin\frac{\pi}{2} - \frac{1^3}{3} + 1\right) - \left(\frac{2}{\pi}\sin 0 - 0 + 0\right) \right)$
$S = 2 \left( \frac{2}{\pi} \cdot 1 - \frac{1}{3} + 1 - 0 \right) = 2 \left(\frac{2}{\pi} + \frac{2}{3}\right) = \frac{4}{\pi} + \frac{4}{3}$
Ответ: $\frac{4}{3} + \frac{4}{\pi}$
в) $y = \cos x, y = \left(\frac{2x}{\pi} - 1\right)^2$
Найдем точки пересечения, решив уравнение $\cos x = \left(\frac{2x}{\pi} - 1\right)^2$.
При $x=0$: $\cos 0 = 1$ и $\left(\frac{2 \cdot 0}{\pi} - 1\right)^2 = (-1)^2 = 1$. Точка $x=0$ является точкой пересечения.
При $x=\frac{\pi}{2}$: $\cos \frac{\pi}{2} = 0$ и $\left(\frac{2(\pi/2)}{\pi} - 1\right)^2 = (1 - 1)^2 = 0$. Точка $x=\frac{\pi}{2}$ является точкой пересечения.
На интервале $(0, \frac{\pi}{2})$ сравним значения функций. Возьмем $x=\frac{\pi}{4}$:
$y_1 = \cos(\frac{\pi}{4}) = \frac{\sqrt{2}}{2}$
$y_2 = \left(\frac{2(\pi/4)}{\pi} - 1\right)^2 = (\frac{1}{2}-1)^2 = \frac{1}{4}$
Поскольку $\frac{\sqrt{2}}{2} > \frac{1}{4}$, на отрезке $[0, \frac{\pi}{2}]$ график $y = \cos x$ лежит выше.
Площадь фигуры равна:
$S = \int_{0}^{\pi/2} \left(\cos x - \left(\frac{2x}{\pi} - 1\right)^2\right) dx = \int_{0}^{\pi/2} \left(\cos x - \left(\frac{4x^2}{\pi^2} - \frac{4x}{\pi} + 1\right)\right) dx$
$S = \int_{0}^{\pi/2} \left(\cos x - \frac{4x^2}{\pi^2} + \frac{4x}{\pi} - 1\right) dx = \left[\sin x - \frac{4x^3}{3\pi^2} + \frac{2x^2}{\pi} - x\right]_{0}^{\pi/2}$
$S = \left(\sin\frac{\pi}{2} - \frac{4(\pi/2)^3}{3\pi^2} + \frac{2(\pi/2)^2}{\pi} - \frac{\pi}{2}\right) - (\sin 0 - 0 + 0 - 0)$
$S = \left(1 - \frac{4\pi^3/8}{3\pi^2} + \frac{2\pi^2/4}{\pi} - \frac{\pi}{2}\right) - 0 = 1 - \frac{\pi}{6} + \frac{\pi}{2} - \frac{\pi}{2} = 1 - \frac{\pi}{6}$
Ответ: $1 - \frac{\pi}{6}$
г) $y = x^2 - 2x, y = \sin\frac{\pi x}{2}$
Найдем точки пересечения, решив уравнение $x^2 - 2x = \sin\frac{\pi x}{2}$.
При $x=0$: $0^2 - 2(0) = 0$ и $\sin(0) = 0$. Точка $x=0$ является точкой пересечения.
При $x=2$: $2^2 - 2(2) = 0$ и $\sin(\frac{\pi \cdot 2}{2}) = \sin(\pi) = 0$. Точка $x=2$ является точкой пересечения.
На интервале $(0, 2)$ сравним значения функций. Возьмем $x=1$:
$y_1 = 1^2 - 2(1) = -1$
$y_2 = \sin(\frac{\pi \cdot 1}{2}) = 1$
Следовательно, на отрезке $[0, 2]$ график $y = \sin\frac{\pi x}{2}$ лежит выше графика $y = x^2 - 2x$.
Площадь фигуры равна:
$S = \int_{0}^{2} \left(\sin\frac{\pi x}{2} - (x^2 - 2x)\right) dx = \int_{0}^{2} \left(\sin\frac{\pi x}{2} - x^2 + 2x\right) dx$
$S = \left[-\frac{2}{\pi}\cos\frac{\pi x}{2} - \frac{x^3}{3} + x^2\right]_{0}^{2}$
$S = \left(-\frac{2}{\pi}\cos(\frac{2\pi}{2}) - \frac{2^3}{3} + 2^2\right) - \left(-\frac{2}{\pi}\cos(0) - 0 + 0\right)$
$S = \left(-\frac{2}{\pi}\cos(\pi) - \frac{8}{3} + 4\right) - \left(-\frac{2}{\pi}\cdot 1\right)$
$S = \left(-\frac{2}{\pi}(-1) + \frac{4}{3}\right) - \left(-\frac{2}{\pi}\right) = \frac{2}{\pi} + \frac{4}{3} + \frac{2}{\pi} = \frac{4}{\pi} + \frac{4}{3}$
Ответ: $\frac{4}{3} + \frac{4}{\pi}$
№49.30 (с. 200)
Условие. №49.30 (с. 200)
скриншот условия

49.30 a) $\int_{0}^{\sqrt{2}} \sqrt{4 - x^2} dx;$
б) $\int_{-4}^{4} \sqrt{64 - x^2} dx.$
Решение 1. №49.30 (с. 200)

Решение 2. №49.30 (с. 200)



Решение 5. №49.30 (с. 200)


Решение 6. №49.30 (с. 200)
а) Вычислим определенный интеграл $ \int_{0}^{\sqrt{2}} \sqrt{4 - x^2} dx $.
Данную задачу можно решить двумя способами: используя геометрический смысл определенного интеграла или с помощью аналитического вычисления через тригонометрическую подстановку.
Способ 1: Геометрический.
Определенный интеграл $ \int_{a}^{b} f(x) dx $ равен площади криволинейной трапеции, ограниченной графиком функции $y=f(x)$, осью абсцисс $Ox$ и прямыми $x=a$ и $x=b$.
В нашем случае подынтегральная функция $y = \sqrt{4 - x^2}$ задает верхнюю половину окружности $x^2 + y^2 = 2^2$ с центром в начале координат и радиусом $R=2$. Пределы интегрирования от $x=0$ до $x=\sqrt{2}$.
Следовательно, нам нужно найти площадь фигуры, ограниченной осью $Oy$ ($x=0$), осью $Ox$ ($y=0$), прямой $x=\sqrt{2}$ и дугой окружности $y = \sqrt{4 - x^2}$.
Эту фигуру можно разбить на две более простые: треугольник и круговой сектор. Найдем конечную точку на дуге при $x=\sqrt{2}$. Координата $y$ будет равна $y = \sqrt{4 - (\sqrt{2})^2} = \sqrt{2}$. Обозначим эту точку как $P(\sqrt{2}, \sqrt{2})$.
Искомая площадь является суммой площадей:
1. Прямоугольного треугольника с вершинами в точках $O(0,0)$, $A(\sqrt{2},0)$ и $P(\sqrt{2},\sqrt{2})$. Его площадь $S_{треуг} = \frac{1}{2} \cdot \text{основание} \cdot \text{высота} = \frac{1}{2} \cdot \sqrt{2} \cdot \sqrt{2} = 1$.
2. Кругового сектора, ограниченного осью $Oy$, дугой окружности и отрезком $OP$. Чтобы найти его площадь, определим угол, который образует радиус $OP$ с осями. Угол $\alpha$ с положительным направлением оси $Ox$ определяется из условий $\cos\alpha = \frac{x}{R} = \frac{\sqrt{2}}{2}$ и $\sin\alpha = \frac{y}{R} = \frac{\sqrt{2}}{2}$, откуда $\alpha = \frac{\pi}{4}$. Угол между радиусом $OP$ и осью $Oy$ составляет $\frac{\pi}{2} - \alpha = \frac{\pi}{2} - \frac{\pi}{4} = \frac{\pi}{4}$.
Площадь этого сектора $S_{сект} = \frac{1}{2} R^2 \cdot (\text{угол}) = \frac{1}{2} \cdot 2^2 \cdot \frac{\pi}{4} = \frac{4\pi}{8} = \frac{\pi}{2}$.
Полная площадь, а следовательно и значение интеграла, равна $S = S_{треуг} + S_{сект} = 1 + \frac{\pi}{2}$.
Способ 2: Аналитический (тригонометрическая подстановка).
Выполним замену переменной $x = 2\sin{t}$. Тогда дифференциал $dx = 2\cos{t} dt$.
Определим новые пределы интегрирования:
- при $x=0$: $2\sin{t} = 0 \implies t=0$.
- при $x=\sqrt{2}$: $2\sin{t} = \sqrt{2} \implies \sin{t}=\frac{\sqrt{2}}{2} \implies t=\frac{\pi}{4}$.
Подставим в интеграл: $ \int_{0}^{\pi/4} \sqrt{4 - (2\sin{t})^2} \cdot 2\cos{t} dt = \int_{0}^{\pi/4} \sqrt{4(1 - \sin^2{t})} \cdot 2\cos{t} dt = \int_{0}^{\pi/4} \sqrt{4\cos^2{t}} \cdot 2\cos{t} dt $.
На отрезке $[0, \frac{\pi}{4}]$ значение $\cos{t} \ge 0$, поэтому $\sqrt{4\cos^2{t}} = 2\cos{t}$.
$ \int_{0}^{\pi/4} 2\cos{t} \cdot 2\cos{t} dt = 4 \int_{0}^{\pi/4} \cos^2{t} dt $.
Используя формулу понижения степени $\cos^2{t} = \frac{1 + \cos{2t}}{2}$, получаем:
$ 4 \int_{0}^{\pi/4} \frac{1 + \cos{2t}}{2} dt = 2 \int_{0}^{\pi/4} (1 + \cos{2t}) dt = 2 \left[ t + \frac{1}{2}\sin{2t} \right]_{0}^{\pi/4} $
$ = 2 \left( \left(\frac{\pi}{4} + \frac{1}{2}\sin(2 \cdot \frac{\pi}{4})\right) - \left(0 + \frac{1}{2}\sin(0)\right) \right) = 2 \left( \frac{\pi}{4} + \frac{1}{2}\sin(\frac{\pi}{2}) \right) = 2 \left( \frac{\pi}{4} + \frac{1}{2} \cdot 1 \right) = \frac{\pi}{2} + 1$.
Ответ: $1 + \frac{\pi}{2}$.
б) Вычислим определенный интеграл $ \int_{-4}^{4} \sqrt{64 - x^2} dx $.
Как и в предыдущем пункте, решим задачу двумя способами.
Способ 1: Геометрический.
Подынтегральная функция $y = \sqrt{64 - x^2}$ задает верхнюю половину окружности $x^2 + y^2 = 8^2$ с центром в начале координат и радиусом $R=8$. Пределы интегрирования от $x=-4$ до $x=4$.
Поскольку подынтегральная функция $f(x) = \sqrt{64 - x^2}$ является четной ($f(-x) = f(x)$), а пределы интегрирования симметричны относительно нуля, мы можем записать: $ \int_{-4}^{4} \sqrt{64 - x^2} dx = 2 \int_{0}^{4} \sqrt{64 - x^2} dx $.
Теперь найдем площадь фигуры в первом квадранте, ограниченной осями координат, прямой $x=4$ и дугой окружности. При $x=4$ имеем $y = \sqrt{64 - 4^2} = \sqrt{48} = 4\sqrt{3}$. Обозначим эту точку $P(4, 4\sqrt{3})$.
Разобьем эту площадь на площадь прямоугольного треугольника $O(0,0)$, $A(4,0)$, $P(4, 4\sqrt{3})$ и площадь кругового сектора, как в пункте а).
Площадь треугольника: $S_{треуг} = \frac{1}{2} \cdot 4 \cdot 4\sqrt{3} = 8\sqrt{3}$.
Угол $\alpha$ радиуса $OP$ с осью $Ox$: $\cos\alpha = \frac{4}{8} = \frac{1}{2}$, $\sin\alpha = \frac{4\sqrt{3}}{8} = \frac{\sqrt{3}}{2}$, откуда $\alpha = \frac{\pi}{3}$. Угол сектора между $OP$ и осью $Oy$ равен $\frac{\pi}{2} - \frac{\pi}{3} = \frac{\pi}{6}$.
Площадь сектора: $S_{сект} = \frac{1}{2} R^2 \cdot (\text{угол}) = \frac{1}{2} \cdot 8^2 \cdot \frac{\pi}{6} = 32 \cdot \frac{\pi}{6} = \frac{16\pi}{3}$.
Площадь в первом квадранте: $S_{1} = S_{треуг} + S_{сект} = 8\sqrt{3} + \frac{16\pi}{3}$.
Полное значение интеграла: $S = 2 \cdot S_{1} = 2 \left( 8\sqrt{3} + \frac{16\pi}{3} \right) = 16\sqrt{3} + \frac{32\pi}{3}$.
Способ 2: Аналитический (тригонометрическая подстановка).
Выполним замену $x = 8\sin{t}$, тогда $dx = 8\cos{t} dt$.
Новые пределы интегрирования:
- при $x=-4$: $8\sin{t} = -4 \implies \sin{t}=-\frac{1}{2} \implies t=-\frac{\pi}{6}$.
- при $x=4$: $8\sin{t} = 4 \implies \sin{t}=\frac{1}{2} \implies t=\frac{\pi}{6}$.
Подставим в интеграл: $ \int_{-\pi/6}^{\pi/6} \sqrt{64 - (8\sin{t})^2} \cdot 8\cos{t} dt = \int_{-\pi/6}^{\pi/6} \sqrt{64\cos^2{t}} \cdot 8\cos{t} dt $.
На отрезке $[-\frac{\pi}{6}, \frac{\pi}{6}]$ значение $\cos{t} \ge 0$, поэтому $\sqrt{64\cos^2{t}} = 8\cos{t}$.
$ \int_{-\pi/6}^{\pi/6} 8\cos{t} \cdot 8\cos{t} dt = 64 \int_{-\pi/6}^{\pi/6} \cos^2{t} dt $.
Используя формулу $\cos^2{t} = \frac{1 + \cos{2t}}{2}$:
$ 64 \int_{-\pi/6}^{\pi/6} \frac{1 + \cos{2t}}{2} dt = 32 \int_{-\pi/6}^{\pi/6} (1 + \cos{2t}) dt = 32 \left[ t + \frac{1}{2}\sin{2t} \right]_{-\pi/6}^{\pi/6} $
$ = 32 \left( \left(\frac{\pi}{6} + \frac{1}{2}\sin(\frac{\pi}{3})\right) - \left(-\frac{\pi}{6} + \frac{1}{2}\sin(-\frac{\pi}{3})\right) \right) $
$ = 32 \left( \frac{\pi}{6} + \frac{1}{2}\frac{\sqrt{3}}{2} - (-\frac{\pi}{6} - \frac{1}{2}\frac{\sqrt{3}}{2}) \right) = 32 \left( \frac{\pi}{6} + \frac{\sqrt{3}}{4} + \frac{\pi}{6} + \frac{\sqrt{3}}{4} \right) $
$ = 32 \left( \frac{2\pi}{6} + \frac{2\sqrt{3}}{4} \right) = 32 \left( \frac{\pi}{3} + \frac{\sqrt{3}}{2} \right) = \frac{32\pi}{3} + 16\sqrt{3}$.
Ответ: $16\sqrt{3} + \frac{32\pi}{3}$.
№49.33 (с. 200)
Условие. №49.33 (с. 200)
скриншот условия

49.33 a) Найтите площадь фигуры, ограниченной графиком функции $y = x^3$, касательной к нему в точке $x = 1$ и осью $y$.
б) Найтите площадь фигуры, ограниченной графиком функции $y = x^3$ и касательными к нему в точках $x = 0$ и $x = 1$.
Решение 1. №49.33 (с. 200)

Решение 2. №49.33 (с. 200)



Решение 5. №49.33 (с. 200)


Решение 6. №49.33 (с. 200)
а)
1. Сначала найдем уравнение касательной к графику функции $y = x^3$ в точке $x_0 = 1$.
Общее уравнение касательной к графику функции $f(x)$ в точке $x_0$ имеет вид: $y = f(x_0) + f'(x_0)(x - x_0)$.
Для функции $f(x) = x^3$ и точки $x_0 = 1$ имеем:
Значение функции в точке касания: $f(1) = 1^3 = 1$.
Производная функции: $f'(x) = (x^3)' = 3x^2$.
Значение производной в точке касания (это угловой коэффициент касательной): $f'(1) = 3 \cdot 1^2 = 3$.
Подставим найденные значения в уравнение касательной:
$y = 1 + 3(x - 1) = 1 + 3x - 3 = 3x - 2$.
Таким образом, уравнение касательной: $y_{кас} = 3x - 2$.
2. Фигура, площадь которой нужно найти, ограничена тремя линиями: графиком функции $y = x^3$, касательной $y = 3x - 2$ и осью $y$ (что соответствует прямой $x=0$).
Площадь фигуры можно вычислить с помощью определенного интеграла. Пределы интегрирования по оси $x$ определяются осью $y$ (то есть $x=0$) и точкой касания ($x=1$). Таким образом, интегрирование будет производиться от $0$ до $1$.
На интервале $[0, 1]$ график функции $y = x^3$ расположен выше графика касательной $y = 3x - 2$. Это следует из того, что функция $y=x^3$ является выпуклой вниз при $x>0$, и поэтому касательная к ней лежит ниже графика.
3. Площадь $S$ равна интегралу от разности верхней и нижней функций:
$S = \int_{0}^{1} (x^3 - (3x - 2)) dx = \int_{0}^{1} (x^3 - 3x + 2) dx$.
Вычислим интеграл:
$S = \left[ \frac{x^4}{4} - \frac{3x^2}{2} + 2x \right]_{0}^{1} = \left( \frac{1^4}{4} - \frac{3 \cdot 1^2}{2} + 2 \cdot 1 \right) - \left( \frac{0^4}{4} - \frac{3 \cdot 0^2}{2} + 2 \cdot 0 \right)$
$S = \left( \frac{1}{4} - \frac{3}{2} + 2 \right) - 0 = \frac{1}{4} - \frac{6}{4} + \frac{8}{4} = \frac{1 - 6 + 8}{4} = \frac{3}{4}$.
Ответ: $\frac{3}{4}$.
б)
1. Найдем уравнения касательных к графику функции $y = x^3$ в точках $x=0$ и $x=1$.
Уравнение касательной в точке $x=1$ было найдено в предыдущем пункте: $y = 3x - 2$.
Теперь найдем уравнение касательной в точке $x_0 = 0$.
Используем ту же функцию $f(x) = x^3$ и ее производную $f'(x) = 3x^2$.
$f(0) = 0^3 = 0$.
$f'(0) = 3 \cdot 0^2 = 0$.
Уравнение касательной в точке $x=0$ имеет вид: $y = 0 + 0(x - 0)$, что упрощается до $y=0$. Это ось абсцисс.
2. Фигура ограничена графиком функции $y = x^3$ и двумя касательными к нему: $y = 0$ и $y = 3x - 2$.
Чтобы определить, как вычислять площадь, найдем точку пересечения двух касательных:
$3x - 2 = 0 \Rightarrow 3x = 2 \Rightarrow x = \frac{2}{3}$.
Это означает, что нижняя граница искомой фигуры состоит из двух частей. На отрезке $[0, \frac{2}{3}]$ фигура снизу ограничена прямой $y=0$. На отрезке $[\frac{2}{3}, 1]$ фигура снизу ограничена прямой $y=3x-2$. Верхней границей на всем отрезке $[0, 1]$ является кривая $y=x^3$.
3. Площадь $S$ нужно вычислять как сумму двух интегралов:
$S = \int_{0}^{2/3} (x^3 - 0) dx + \int_{2/3}^{1} (x^3 - (3x - 2)) dx$.
Вычислим первый интеграл:
$S_1 = \int_{0}^{2/3} x^3 dx = \left[ \frac{x^4}{4} \right]_{0}^{2/3} = \frac{(2/3)^4}{4} - 0 = \frac{16/81}{4} = \frac{4}{81}$.
Вычислим второй интеграл:
$S_2 = \int_{2/3}^{1} (x^3 - 3x + 2) dx = \left[ \frac{x^4}{4} - \frac{3x^2}{2} + 2x \right]_{2/3}^{1}$
$S_2 = \left(\frac{1^4}{4} - \frac{3 \cdot 1^2}{2} + 2 \cdot 1\right) - \left(\frac{(2/3)^4}{4} - \frac{3 \cdot (2/3)^2}{2} + 2 \cdot \frac{2}{3}\right)$
$S_2 = \left(\frac{1}{4} - \frac{3}{2} + 2\right) - \left(\frac{16/81}{4} - \frac{3 \cdot 4/9}{2} + \frac{4}{3}\right)$
$S_2 = \left(\frac{3}{4}\right) - \left(\frac{4}{81} - \frac{2}{3} + \frac{4}{3}\right) = \frac{3}{4} - \left(\frac{4}{81} + \frac{2}{3}\right)$
$S_2 = \frac{3}{4} - \left(\frac{4}{81} + \frac{54}{81}\right) = \frac{3}{4} - \frac{58}{81} = \frac{3 \cdot 81 - 58 \cdot 4}{324} = \frac{243 - 232}{324} = \frac{11}{324}$.
Теперь сложим площади двух участков:
$S = S_1 + S_2 = \frac{4}{81} + \frac{11}{324} = \frac{4 \cdot 4}{324} + \frac{11}{324} = \frac{16 + 11}{324} = \frac{27}{324}$.
Сократим полученную дробь: $\frac{27}{324} = \frac{1}{12}$.
Ответ: $\frac{1}{12}$.
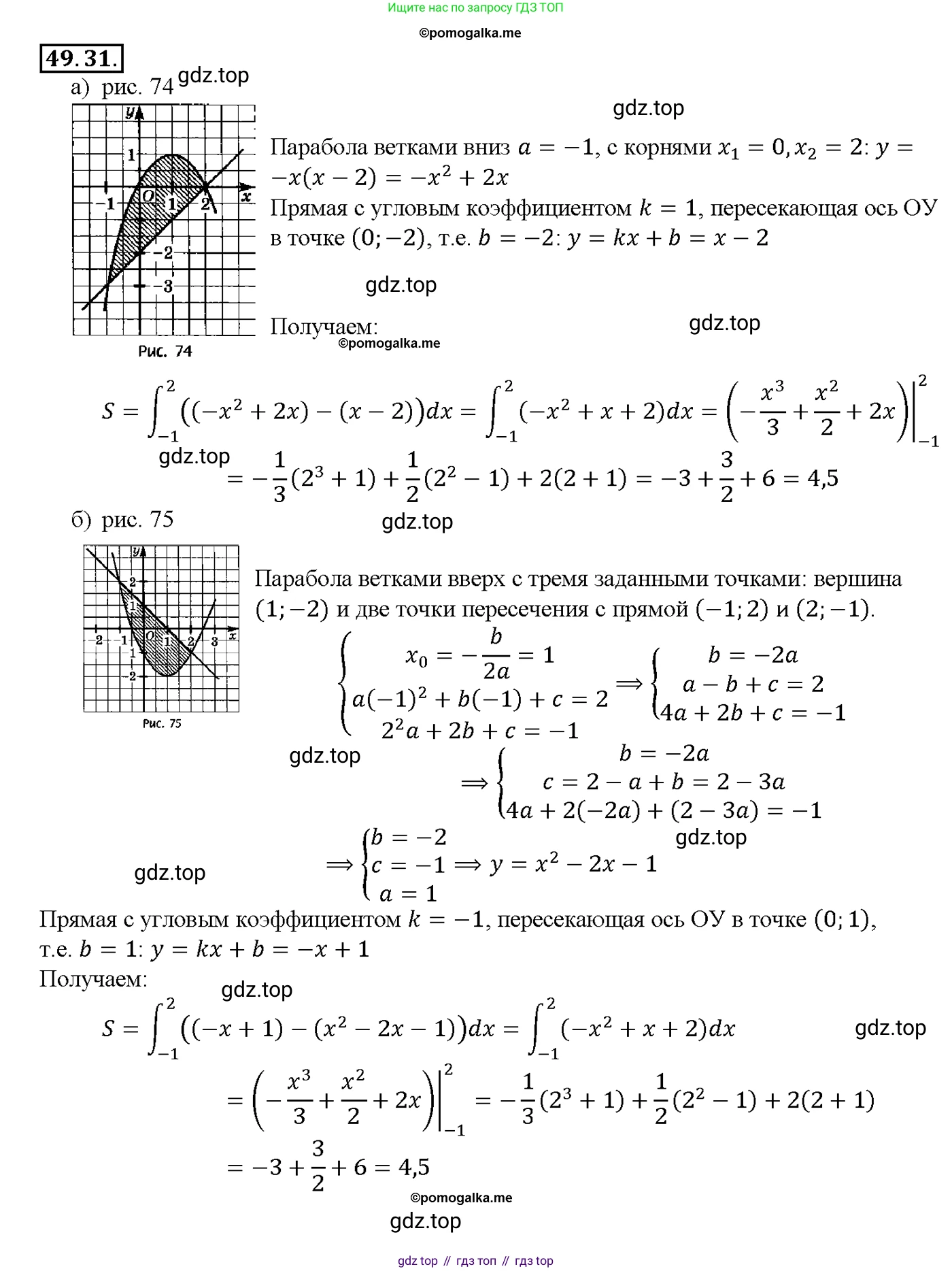
№49.31 (с. 200)
Условие. №49.31 (с. 200)
скриншот условия

49.31 Найдите площадь параболического сегмента, изображённого на:
а) рис. 74;
б) рис. 75.
Рис. 74
Рис. 75
Решение 1. №49.31 (с. 200)

Решение 2. №49.31 (с. 200)


Решение 5. №49.31 (с. 200)


Решение 6. №49.31 (с. 200)
а) рис. 74;
Для нахождения площади параболического сегмента необходимо определить уравнения параболы и прямой, найти их точки пересечения и вычислить определенный интеграл разности функций.
1. Уравнение параболы. Вершина параболы находится в точке $(1, 1)$. Уравнение параболы с вершиной в точке $(x_0, y_0)$ имеет вид $y = a(x - x_0)^2 + y_0$. В нашем случае $y = a(x - 1)^2 + 1$. Парабола проходит через точку $(0, 0)$. Подставим эти координаты в уравнение, чтобы найти коэффициент $a$:
$0 = a(0 - 1)^2 + 1$
$0 = a + 1$
$a = -1$
Таким образом, уравнение параболы: $y = -(x - 1)^2 + 1 = -(x^2 - 2x + 1) + 1 = -x^2 + 2x$.
2. Уравнение прямой. Прямая проходит через точки пересечения с параболой: $(-1, -3)$ и $(2, 0)$. Найдем уравнение прямой, проходящей через эти две точки. Угловой коэффициент $k$ равен:$k = \frac{y_2 - y_1}{x_2 - x_1} = \frac{0 - (-3)}{2 - (-1)} = \frac{3}{3} = 1$.
Воспользуемся уравнением прямой с угловым коэффициентом $y - y_1 = k(x - x_1)$ и точкой $(2, 0)$:
$y - 0 = 1(x - 2)$
$y = x - 2$.
3. Площадь фигуры. Площадь фигуры, ограниченной кривыми, находится как интеграл от разности верхней и нижней функций. На интервале от $x = -1$ до $x = 2$ парабола $y = -x^2 + 2x$ находится выше прямой $y = x - 2$. Площадь $S$ вычисляется по формуле:$S = \int_{a}^{b} (f_{верх}(x) - f_{нижн}(x)) \,dx$
$S = \int_{-1}^{2} ((-x^2 + 2x) - (x - 2)) \,dx = \int_{-1}^{2} (-x^2 + x + 2) \,dx$.
Вычислим интеграл:$\int (-x^2 + x + 2) \,dx = -\frac{x^3}{3} + \frac{x^2}{2} + 2x$.
$S = \left[ -\frac{x^3}{3} + \frac{x^2}{2} + 2x \right]_{-1}^{2} = \left( -\frac{2^3}{3} + \frac{2^2}{2} + 2(2) \right) - \left( -\frac{(-1)^3}{3} + \frac{(-1)^2}{2} + 2(-1) \right)$
$S = \left( -\frac{8}{3} + \frac{4}{2} + 4 \right) - \left( \frac{1}{3} + \frac{1}{2} - 2 \right) = \left( -\frac{8}{3} + 2 + 4 \right) - \left( \frac{2+3-12}{6} \right)$
$S = \left( 6 - \frac{8}{3} \right) - \left( -\frac{7}{6} \right) = \frac{18 - 8}{3} + \frac{7}{6} = \frac{10}{3} + \frac{7}{6} = \frac{20}{6} + \frac{7}{6} = \frac{27}{6} = \frac{9}{2} = 4.5$.
Ответ: 4.5.
б) рис. 75;
1. Уравнение параболы. Вершина параболы находится в точке $(1, -2)$. Уравнение имеет вид $y = a(x - 1)^2 - 2$. Парабола проходит через точку $(0, -1)$. Подставим эти координаты, чтобы найти $a$:
$-1 = a(0 - 1)^2 - 2$
$-1 = a - 2$
$a = 1$
Таким образом, уравнение параболы: $y = (x - 1)^2 - 2 = x^2 - 2x + 1 - 2 = x^2 - 2x - 1$.
2. Уравнение прямой. Прямая проходит через точки пересечения $(-1, 2)$ и $(2, -1)$. Угловой коэффициент $k$ равен:$k = \frac{y_2 - y_1}{x_2 - x_1} = \frac{-1 - 2}{2 - (-1)} = \frac{-3}{3} = -1$.
Воспользуемся уравнением прямой и точкой $(2, -1)$:
$y - (-1) = -1(x - 2)$
$y + 1 = -x + 2$
$y = -x + 1$.
3. Площадь фигуры. Точки пересечения параболы $y = x^2 - 2x - 1$ и прямой $y = -x + 1$ имеют абсциссы $x = -1$ и $x = 2$. На этом интервале прямая находится выше параболы. Площадь $S$ вычисляется по формуле:$S = \int_{-1}^{2} ((-x + 1) - (x^2 - 2x - 1)) \,dx = \int_{-1}^{2} (-x + 1 - x^2 + 2x + 1) \,dx = \int_{-1}^{2} (-x^2 + x + 2) \,dx$.
Этот интеграл полностью совпадает с интегралом, вычисленным в пункте а).
$S = \int_{-1}^{2} (-x^2 + x + 2) \,dx = \frac{9}{2} = 4.5$.
Ответ: 4.5.
№49.34 (с. 200)
Условие. №49.34 (с. 200)
скриншот условия

49.34 a) Найдите площадь фигуры, ограниченной графиком функции $y = x^3 - 6x^2 + 9x + 1$ и касательной к нему в точке $x = 3$.
б) Найдите площадь фигуры, ограниченной графиком функции $y = x^3 - 3x$ и касательной к нему в точке $x = -1$.
Решение 1. №49.34 (с. 200)

Решение 2. №49.34 (с. 200)


Решение 5. №49.34 (с. 200)



Решение 6. №49.34 (с. 200)
а)
Для нахождения площади фигуры, ограниченной графиком функции и касательной к нему, необходимо выполнить следующие шаги:
1. Составить уравнение касательной.
Уравнение касательной к графику функции $y = f(x)$ в точке с абсциссой $x_0$ имеет вид: $y = f(x_0) + f'(x_0)(x - x_0)$.
В нашем случае $f(x) = x^3 - 6x^2 + 9x + 1$ и $x_0 = 3$.
Найдем значение функции в точке касания:
$f(3) = 3^3 - 6(3^2) + 9(3) + 1 = 27 - 54 + 27 + 1 = 1$.
Теперь найдем производную функции:
$f'(x) = (x^3 - 6x^2 + 9x + 1)' = 3x^2 - 12x + 9$.
Вычислим значение производной в точке $x_0 = 3$ (это угловой коэффициент касательной):
$f'(3) = 3(3^2) - 12(3) + 9 = 27 - 36 + 9 = 0$.
Подставим найденные значения в уравнение касательной:
$y = 1 + 0 \cdot (x - 3)$, откуда получаем уравнение касательной $y = 1$.
2. Найти пределы интегрирования.
Пределами интегрирования являются абсциссы точек пересечения графика функции и касательной. Для их нахождения решим уравнение:
$x^3 - 6x^2 + 9x + 1 = 1$
$x^3 - 6x^2 + 9x = 0$
$x(x^2 - 6x + 9) = 0$
$x(x-3)^2 = 0$
Корни уравнения: $x_1 = 0$ и $x_2 = 3$. Это и есть наши пределы интегрирования.
3. Вычислить площадь фигуры.
Площадь фигуры вычисляется как интеграл от разности функции, график которой лежит выше, и функции, график которой лежит ниже. Чтобы определить их взаимное расположение на интервале $(0, 3)$, возьмем любую точку из этого интервала, например $x=1$.
Значение функции: $f(1) = 1^3 - 6(1^2) + 9(1) + 1 = 5$.
Значение на касательной: $y = 1$.
Поскольку $5 > 1$, график функции $y=x^3 - 6x^2 + 9x + 1$ на интервале $(0, 3)$ находится выше касательной $y=1$.
Вычисляем площадь $S$:
$S = \int_{0}^{3} ((x^3 - 6x^2 + 9x + 1) - 1) dx = \int_{0}^{3} (x^3 - 6x^2 + 9x) dx$
$S = \left[ \frac{x^4}{4} - \frac{6x^3}{3} + \frac{9x^2}{2} \right]_{0}^{3} = \left[ \frac{x^4}{4} - 2x^3 + \frac{9}{2}x^2 \right]_{0}^{3}$
$S = \left(\frac{3^4}{4} - 2 \cdot 3^3 + \frac{9 \cdot 3^2}{2}\right) - (0) = \frac{81}{4} - 54 + \frac{81}{2} = \frac{81 - 216 + 162}{4} = \frac{27}{4}$.
Ответ: $\frac{27}{4}$.
б)
Действуем по аналогии с пунктом а).
1. Составить уравнение касательной.
Функция $y = g(x) = x^3 - 3x$, точка касания $x_0 = -1$.
Уравнение касательной: $y = g(x_0) + g'(x_0)(x - x_0)$.
Значение функции: $g(-1) = (-1)^3 - 3(-1) = -1 + 3 = 2$.
Производная: $g'(x) = (x^3 - 3x)' = 3x^2 - 3$.
Значение производной: $g'(-1) = 3(-1)^2 - 3 = 3 - 3 = 0$.
Уравнение касательной: $y = 2 + 0 \cdot (x - (-1))$, то есть $y = 2$.
2. Найти пределы интегрирования.
Приравняем функцию и касательную:
$x^3 - 3x = 2$
$x^3 - 3x - 2 = 0$
Так как $x_0 = -1$ - точка касания, то $(x+1)$ является корнем кратности не менее 2. Разложим левую часть на множители:
$(x+1)^2(x-2) = (x^2+2x+1)(x-2) = x^3+2x^2+x-2x^2-4x-2 = x^3-3x-2$.
Следовательно, уравнение имеет вид $(x+1)^2(x-2) = 0$.
Корни: $x_1 = -1$ и $x_2 = 2$. Это пределы интегрирования.
3. Вычислить площадь фигуры.
Определим, какая функция больше на интервале $(-1, 2)$. Возьмем точку $x=0$.
Значение функции: $g(0) = 0^3 - 3(0) = 0$.
Значение на касательной: $y = 2$.
Поскольку $2 > 0$, касательная $y=2$ находится выше графика функции $y=x^3-3x$.
Вычисляем площадь $S$:
$S = \int_{-1}^{2} (2 - (x^3 - 3x)) dx = \int_{-1}^{2} (-x^3 + 3x + 2) dx$
$S = \left[ -\frac{x^4}{4} + \frac{3x^2}{2} + 2x \right]_{-1}^{2}$
$S = \left(-\frac{2^4}{4} + \frac{3 \cdot 2^2}{2} + 2 \cdot 2\right) - \left(-\frac{(-1)^4}{4} + \frac{3 \cdot (-1)^2}{2} + 2(-1)\right)$
$S = \left(-4 + 6 + 4\right) - \left(-\frac{1}{4} + \frac{3}{2} - 2\right) = 6 - \left(-\frac{1}{4} + \frac{6}{4} - \frac{8}{4}\right)$
$S = 6 - \left(-\frac{3}{4}\right) = 6 + \frac{3}{4} = \frac{27}{4}$.
Ответ: $\frac{27}{4}$.
Помогло решение? Оставьте отзыв в комментариях ниже.