Страница 55, часть 2 - гдз по алгебре 10-11 класс задачник часть 1, 2 Мордкович, Семенов


Авторы: Мордкович А. Г., Семенов П. В., Денищева Л. О., Корешкова Т. А., Мишустина Т. Н., Тульчинская Е. Е.
Тип: Задачник
Издательство: Мнемозина
Год издания: 2019 - 2025
Уровень обучения: базовый
Часть: 2
Цвет обложки:
ISBN: 978-5-346-04509-0 (общ.), 978-5-346-04510-6 (ч. 1), 978-5-346-04511-3 (ч. 2)
Рекомендовано Министерством образования и науки Российской Федерации
Математика: алгебра и начала математического анализа, геометрия
Популярные ГДЗ в 10 классе
ч. 2. Cтраница 55

№18.20 (с. 55)
Условие. №18.20 (с. 55)
скриншот условия

Решите уравнение:
18.20 a) $\sin^2 \frac{3x}{4} - \frac{\sqrt{2}}{2} = \sin x - \cos^2 \frac{3x}{4} + 1;$
б) $\cos^2 2x - 1 - \cos x = \frac{\sqrt{3}}{2} - \sin^2 2x.$
Решение 1. №18.20 (с. 55)

Решение 2. №18.20 (с. 55)

Решение 3. №18.20 (с. 55)

Решение 5. №18.20 (с. 55)

Решение 6. №18.20 (с. 55)
а) $\sin^2 \frac{3x}{4} - \frac{\sqrt{2}}{2} = \sin x - \cos^2 \frac{3x}{4} + 1$
Сгруппируем слагаемые, содержащие $\frac{3x}{4}$, в левой части уравнения, перенеся $-\cos^2 \frac{3x}{4}$ влево с противоположным знаком:
$\sin^2 \frac{3x}{4} + \cos^2 \frac{3x}{4} - \frac{\sqrt{2}}{2} = \sin x + 1$
Применим основное тригонометрическое тождество $\sin^2 \alpha + \cos^2 \alpha = 1$. Для $\alpha = \frac{3x}{4}$ оно выглядит так: $\sin^2 \frac{3x}{4} + \cos^2 \frac{3x}{4} = 1$.
Подставим 1 в уравнение вместо суммы квадратов синуса и косинуса:
$1 - \frac{\sqrt{2}}{2} = \sin x + 1$
Вычтем 1 из обеих частей уравнения, чтобы выделить $\sin x$:
$-\frac{\sqrt{2}}{2} = \sin x$
Теперь решим простейшее тригонометрическое уравнение $\sin x = -\frac{\sqrt{2}}{2}$.
Общее решение для уравнения $\sin x = a$ имеет вид $x = (-1)^k \arcsin(a) + \pi k$, где $k \in \mathbb{Z}$.
Для $a = -\frac{\sqrt{2}}{2}$, значение арксинуса равно $\arcsin(-\frac{\sqrt{2}}{2}) = -\frac{\pi}{4}$.
Подставляя это значение в общую формулу, получаем:
$x = (-1)^k (-\frac{\pi}{4}) + \pi k, k \in \mathbb{Z}$
Это можно переписать в виде $x = (-1)^{k+1} \frac{\pi}{4} + \pi k, k \in \mathbb{Z}$.
Ответ: $x = (-1)^{k+1} \frac{\pi}{4} + \pi k, k \in \mathbb{Z}$.
б) $\cos^2 2x - 1 - \cos x = \frac{\sqrt{3}}{2} - \sin^2 2x$
Сгруппируем слагаемые, содержащие $2x$, в левой части уравнения, перенеся $-\sin^2 2x$ влево с противоположным знаком:
$\cos^2 2x + \sin^2 2x - 1 - \cos x = \frac{\sqrt{3}}{2}$
Применим основное тригонометрическое тождество $\sin^2 \alpha + \cos^2 \alpha = 1$. Для $\alpha = 2x$ оно выглядит так: $\cos^2 2x + \sin^2 2x = 1$.
Подставим 1 в уравнение вместо суммы квадратов синуса и косинуса:
$1 - 1 - \cos x = \frac{\sqrt{3}}{2}$
Упростим левую часть уравнения:
$-\cos x = \frac{\sqrt{3}}{2}$
Умножим обе части на -1:
$\cos x = -\frac{\sqrt{3}}{2}$
Теперь решим простейшее тригонометрическое уравнение $\cos x = -\frac{\sqrt{3}}{2}$.
Общее решение для уравнения $\cos x = a$ имеет вид $x = \pm \arccos(a) + 2\pi k$, где $k \in \mathbb{Z}$.
Для $a = -\frac{\sqrt{3}}{2}$, значение арккосинуса равно $\arccos(-\frac{\sqrt{3}}{2}) = \frac{5\pi}{6}$.
Подставляя это значение в общую формулу, получаем:
$x = \pm \frac{5\pi}{6} + 2\pi k, k \in \mathbb{Z}$
Ответ: $x = \pm \frac{5\pi}{6} + 2\pi k, k \in \mathbb{Z}$.
№18.21 (с. 55)
Условие. №18.21 (с. 55)
скриншот условия

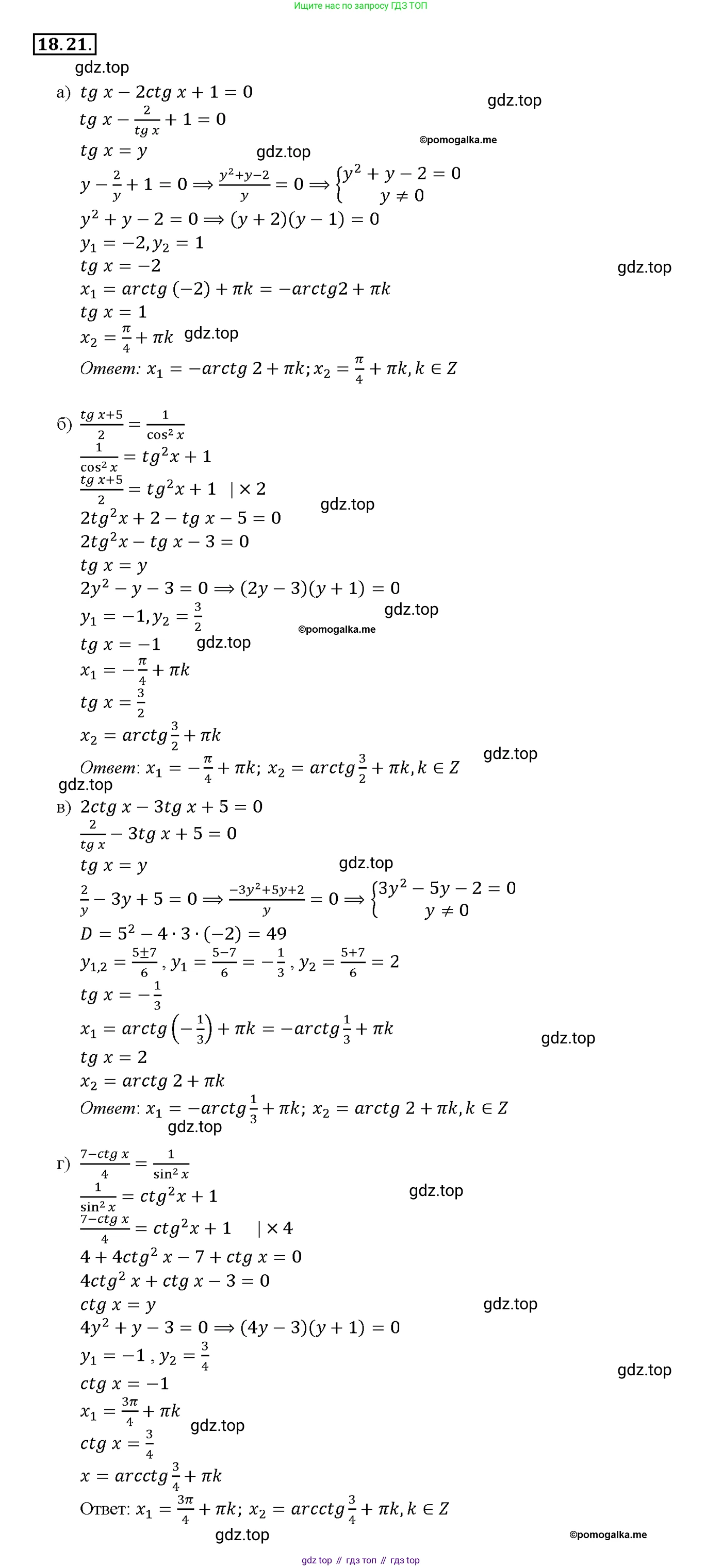
18.21 a) $ \operatorname{tg} x - 2 \operatorname{ctg} x + 1 = 0; $
Б) $ \frac{\operatorname{tg} x + 5}{2} = \frac{1}{\cos^2 x}; $
В) $ 2 \operatorname{ctg} x - 3 \operatorname{tg} x + 5 = 0; $
Г) $ \frac{7 - \operatorname{ctg} x}{4} = \frac{1}{\sin^2 x}. $
Решение 1. №18.21 (с. 55)

Решение 2. №18.21 (с. 55)



Решение 3. №18.21 (с. 55)

Решение 5. №18.21 (с. 55)




Решение 6. №18.21 (с. 55)
а) $ \tg x - 2 \ctg x + 1 = 0 $
Определим область допустимых значений (ОДЗ). Тангенс не определен, когда $ \cos x = 0 $, а котангенс не определен, когда $ \sin x = 0 $. Следовательно, $ x \neq \frac{\pi k}{2} $, где $ k \in \mathbb{Z} $.
Используем тождество $ \ctg x = \frac{1}{\tg x} $. Уравнение принимает вид:
$ \tg x - \frac{2}{\tg x} + 1 = 0 $
Введем замену: пусть $ t = \tg x $. Тогда уравнение переписывается как:
$ t - \frac{2}{t} + 1 = 0 $
Умножим обе части на $ t $ (при условии $ t \neq 0 $, что соответствует ОДЗ):
$ t^2 - 2 + t = 0 $
$ t^2 + t - 2 = 0 $
Это квадратное уравнение. Решим его с помощью теоремы Виета или через дискриминант.
$ D = b^2 - 4ac = 1^2 - 4 \cdot 1 \cdot (-2) = 1 + 8 = 9 $
$ t_1 = \frac{-1 + \sqrt{9}}{2 \cdot 1} = \frac{-1 + 3}{2} = 1 $
$ t_2 = \frac{-1 - \sqrt{9}}{2 \cdot 1} = \frac{-1 - 3}{2} = -2 $
Вернемся к замене:
1) $ \tg x = 1 $. Отсюда $ x = \frac{\pi}{4} + \pi n, n \in \mathbb{Z} $.
2) $ \tg x = -2 $. Отсюда $ x = \arctg(-2) + \pi k = -\arctg(2) + \pi k, k \in \mathbb{Z} $.
Оба решения входят в ОДЗ.
Ответ: $ \frac{\pi}{4} + \pi n, -\arctg(2) + \pi k $, где $ n, k \in \mathbb{Z} $.
б) $ \frac{\tg x + 5}{2} = \frac{1}{\cos^2 x} $
ОДЗ: $ \cos x \neq 0 $, то есть $ x \neq \frac{\pi}{2} + \pi k $, где $ k \in \mathbb{Z} $.
Используем основное тригонометрическое тождество $ \frac{1}{\cos^2 x} = 1 + \tg^2 x $. Уравнение принимает вид:
$ \frac{\tg x + 5}{2} = 1 + \tg^2 x $
Введем замену: пусть $ t = \tg x $.
$ \frac{t + 5}{2} = 1 + t^2 $
Умножим обе части на 2:
$ t + 5 = 2(1 + t^2) $
$ t + 5 = 2 + 2t^2 $
$ 2t^2 - t - 3 = 0 $
Решим квадратное уравнение:
$ D = (-1)^2 - 4 \cdot 2 \cdot (-3) = 1 + 24 = 25 $
$ t_1 = \frac{1 + \sqrt{25}}{2 \cdot 2} = \frac{1 + 5}{4} = \frac{6}{4} = \frac{3}{2} $
$ t_2 = \frac{1 - \sqrt{25}}{2 \cdot 2} = \frac{1 - 5}{4} = \frac{-4}{4} = -1 $
Вернемся к замене:
1) $ \tg x = \frac{3}{2} $. Отсюда $ x = \arctg\left(\frac{3}{2}\right) + \pi n, n \in \mathbb{Z} $.
2) $ \tg x = -1 $. Отсюда $ x = -\frac{\pi}{4} + \pi k, k \in \mathbb{Z} $.
Оба решения входят в ОДЗ.
Ответ: $ \arctg\left(\frac{3}{2}\right) + \pi n, -\frac{\pi}{4} + \pi k $, где $ n, k \in \mathbb{Z} $.
в) $ 2 \ctg x - 3 \tg x + 5 = 0 $
ОДЗ: $ x \neq \frac{\pi k}{2} $, где $ k \in \mathbb{Z} $.
Используем тождество $ \ctg x = \frac{1}{\tg x} $.
$ \frac{2}{\tg x} - 3 \tg x + 5 = 0 $
Введем замену: пусть $ t = \tg x $.
$ \frac{2}{t} - 3t + 5 = 0 $
Умножим обе части на $ t $ (при $ t \neq 0 $):
$ 2 - 3t^2 + 5t = 0 $
$ 3t^2 - 5t - 2 = 0 $
Решим квадратное уравнение:
$ D = (-5)^2 - 4 \cdot 3 \cdot (-2) = 25 + 24 = 49 $
$ t_1 = \frac{5 + \sqrt{49}}{2 \cdot 3} = \frac{5 + 7}{6} = \frac{12}{6} = 2 $
$ t_2 = \frac{5 - \sqrt{49}}{2 \cdot 3} = \frac{5 - 7}{6} = \frac{-2}{6} = -\frac{1}{3} $
Вернемся к замене:
1) $ \tg x = 2 $. Отсюда $ x = \arctg(2) + \pi n, n \in \mathbb{Z} $.
2) $ \tg x = -\frac{1}{3} $. Отсюда $ x = \arctg\left(-\frac{1}{3}\right) + \pi k = -\arctg\left(\frac{1}{3}\right) + \pi k, k \in \mathbb{Z} $.
Оба решения входят в ОДЗ.
Ответ: $ \arctg(2) + \pi n, -\arctg\left(\frac{1}{3}\right) + \pi k $, где $ n, k \in \mathbb{Z} $.
г) $ \frac{7 - \ctg x}{4} = \frac{1}{\sin^2 x} $
ОДЗ: $ \sin x \neq 0 $, то есть $ x \neq \pi k $, где $ k \in \mathbb{Z} $.
Используем основное тригонометрическое тождество $ \frac{1}{\sin^2 x} = 1 + \ctg^2 x $. Уравнение принимает вид:
$ \frac{7 - \ctg x}{4} = 1 + \ctg^2 x $
Введем замену: пусть $ t = \ctg x $.
$ \frac{7 - t}{4} = 1 + t^2 $
Умножим обе части на 4:
$ 7 - t = 4(1 + t^2) $
$ 7 - t = 4 + 4t^2 $
$ 4t^2 + t - 3 = 0 $
Решим квадратное уравнение:
$ D = 1^2 - 4 \cdot 4 \cdot (-3) = 1 + 48 = 49 $
$ t_1 = \frac{-1 + \sqrt{49}}{2 \cdot 4} = \frac{-1 + 7}{8} = \frac{6}{8} = \frac{3}{4} $
$ t_2 = \frac{-1 - \sqrt{49}}{2 \cdot 4} = \frac{-1 - 7}{8} = \frac{-8}{8} = -1 $
Вернемся к замене:
1) $ \ctg x = \frac{3}{4} $. Отсюда $ x = \arcctg\left(\frac{3}{4}\right) + \pi n, n \in \mathbb{Z} $.
2) $ \ctg x = -1 $. Отсюда $ x = \frac{3\pi}{4} + \pi k, k \in \mathbb{Z} $.
Оба решения входят в ОДЗ.
Ответ: $ \arcctg\left(\frac{3}{4}\right) + \pi n, \frac{3\pi}{4} + \pi k $, где $ n, k \in \mathbb{Z} $.
№18.22 (с. 55)
Условие. №18.22 (с. 55)
скриншот условия

18.22 a) $2 \cos^2 \frac{x}{2} + \sqrt{3} \cos \frac{x}{2} = 0;$
B) $\sqrt{3} \operatorname{tg}^2 3x - 3 \operatorname{tg} 3x = 0;$
б) $4 \cos^2 \left(x - \frac{\pi}{6}\right) - 3 = 0;$
г) $4 \sin^2 \left(2x + \frac{\pi}{3}\right) - 1 = 0.$
Решение 1. №18.22 (с. 55)

Решение 2. №18.22 (с. 55)



Решение 3. №18.22 (с. 55)

Решение 5. №18.22 (с. 55)



Решение 6. №18.22 (с. 55)
а) $2 \cos^2 \frac{x}{2} + \sqrt{3} \cos \frac{x}{2} = 0$
Это неполное квадратное уравнение относительно $\cos \frac{x}{2}$. Вынесем общий множитель $\cos \frac{x}{2}$ за скобки:
$\cos \frac{x}{2} \left(2 \cos \frac{x}{2} + \sqrt{3}\right) = 0$
Произведение равно нулю, когда хотя бы один из множителей равен нулю. Таким образом, уравнение распадается на два:
1) $\cos \frac{x}{2} = 0$
Это частный случай решения простейшего тригонометрического уравнения.
$\frac{x}{2} = \frac{\pi}{2} + \pi k$, где $k \in \mathbb{Z}$
Умножим обе части на 2, чтобы найти $x$:
$x = \pi + 2\pi k, \quad k \in \mathbb{Z}$
2) $2 \cos \frac{x}{2} + \sqrt{3} = 0$
Выразим $\cos \frac{x}{2}$:
$2 \cos \frac{x}{2} = -\sqrt{3}$
$\cos \frac{x}{2} = -\frac{\sqrt{3}}{2}$
Решаем это уравнение по общей формуле:
$\frac{x}{2} = \pm \arccos\left(-\frac{\sqrt{3}}{2}\right) + 2\pi n$, где $n \in \mathbb{Z}$
Так как $\arccos(-a) = \pi - \arccos(a)$, получаем:
$\frac{x}{2} = \pm \left(\pi - \arccos\left(\frac{\sqrt{3}}{2}\right)\right) + 2\pi n, \quad n \in \mathbb{Z}$
$\frac{x}{2} = \pm \left(\pi - \frac{\pi}{6}\right) + 2\pi n, \quad n \in \mathbb{Z}$
$\frac{x}{2} = \pm \frac{5\pi}{6} + 2\pi n, \quad n \in \mathbb{Z}$
Умножим обе части на 2:
$x = \pm \frac{5\pi}{3} + 4\pi n, \quad n \in \mathbb{Z}$
Объединяем решения из обоих случаев.
Ответ: $x = \pi + 2\pi k, \quad x = \pm \frac{5\pi}{3} + 4\pi n$, где $k, n \in \mathbb{Z}$.
б) $4 \cos^2 \left(x - \frac{\pi}{6}\right) - 3 = 0$
Выразим $\cos^2 \left(x - \frac{\pi}{6}\right)$:
$4 \cos^2 \left(x - \frac{\pi}{6}\right) = 3$
$\cos^2 \left(x - \frac{\pi}{6}\right) = \frac{3}{4}$
Извлечем квадратный корень из обеих частей уравнения:
$\cos \left(x - \frac{\pi}{6}\right) = \pm \sqrt{\frac{3}{4}} = \pm \frac{\sqrt{3}}{2}$
Решение этого уравнения можно записать в более компактном виде. Пусть $t = x - \frac{\pi}{6}$. Тогда $\cos t = \pm \frac{\sqrt{3}}{2}$.
Решениями являются $t = \pm \frac{\pi}{6} + \pi k, \quad k \in \mathbb{Z}$.
Выполним обратную замену:
$x - \frac{\pi}{6} = \pm \frac{\pi}{6} + \pi k, \quad k \in \mathbb{Z}$
Рассмотрим два случая:
1) $x - \frac{\pi}{6} = \frac{\pi}{6} + \pi k$
$x = \frac{\pi}{6} + \frac{\pi}{6} + \pi k = \frac{2\pi}{6} + \pi k = \frac{\pi}{3} + \pi k, \quad k \in \mathbb{Z}$
2) $x - \frac{\pi}{6} = -\frac{\pi}{6} + \pi k$
$x = -\frac{\pi}{6} + \frac{\pi}{6} + \pi k = \pi k, \quad k \in \mathbb{Z}$
Ответ: $x = \pi k, \quad x = \frac{\pi}{3} + \pi k$, где $k \in \mathbb{Z}$.
в) $\sqrt{3} \text{tg}^2 3x - 3 \text{tg} 3x = 0$
Вынесем общий множитель $\text{tg} 3x$ за скобки:
$\text{tg} 3x (\sqrt{3} \text{tg} 3x - 3) = 0$
Область допустимых значений (ОДЗ) для тангенса: его аргумент не должен быть равен $\frac{\pi}{2} + \pi n$.
$3x \neq \frac{\pi}{2} + \pi n$, следовательно $x \neq \frac{\pi}{6} + \frac{\pi n}{3}, \quad n \in \mathbb{Z}$.
Произведение равно нулю, когда один из множителей равен нулю:
1) $\text{tg} 3x = 0$
$3x = \pi k, \quad k \in \mathbb{Z}$
$x = \frac{\pi k}{3}, \quad k \in \mathbb{Z}$
Данная серия корней удовлетворяет ОДЗ.
2) $\sqrt{3} \text{tg} 3x - 3 = 0$
$\sqrt{3} \text{tg} 3x = 3$
$\text{tg} 3x = \frac{3}{\sqrt{3}} = \sqrt{3}$
$3x = \text{arctg}(\sqrt{3}) + \pi m, \quad m \in \mathbb{Z}$
$3x = \frac{\pi}{3} + \pi m, \quad m \in \mathbb{Z}$
$x = \frac{\pi}{9} + \frac{\pi m}{3}, \quad m \in \mathbb{Z}$
Эта серия корней также удовлетворяет ОДЗ.
Ответ: $x = \frac{\pi k}{3}, \quad x = \frac{\pi}{9} + \frac{\pi m}{3}$, где $k, m \in \mathbb{Z}$.
г) $4 \sin^2 \left(2x + \frac{\pi}{3}\right) - 1 = 0$
Выразим $\sin^2 \left(2x + \frac{\pi}{3}\right)$:
$4 \sin^2 \left(2x + \frac{\pi}{3}\right) = 1$
$\sin^2 \left(2x + \frac{\pi}{3}\right) = \frac{1}{4}$
Извлечем квадратный корень из обеих частей:
$\sin \left(2x + \frac{\pi}{3}\right) = \pm \frac{1}{2}$
Пусть $t = 2x + \frac{\pi}{3}$. Уравнение принимает вид $\sin t = \pm \frac{1}{2}$.
Решения этого уравнения можно записать как $t = \pm \frac{\pi}{6} + \pi k, \quad k \in \mathbb{Z}$.
Выполним обратную замену:
$2x + \frac{\pi}{3} = \pm \frac{\pi}{6} + \pi k, \quad k \in \mathbb{Z}$
Рассмотрим два случая:
1) $2x + \frac{\pi}{3} = \frac{\pi}{6} + \pi k$
$2x = \frac{\pi}{6} - \frac{\pi}{3} + \pi k = -\frac{\pi}{6} + \pi k$
$x = -\frac{\pi}{12} + \frac{\pi k}{2}, \quad k \in \mathbb{Z}$
2) $2x + \frac{\pi}{3} = -\frac{\pi}{6} + \pi k$
$2x = -\frac{\pi}{6} - \frac{\pi}{3} + \pi k = -\frac{3\pi}{6} + \pi k = -\frac{\pi}{2} + \pi k$
$x = -\frac{\pi}{4} + \frac{\pi k}{2}, \quad k \in \mathbb{Z}$
Ответ: $x = -\frac{\pi}{12} + \frac{\pi k}{2}, \quad x = -\frac{\pi}{4} + \frac{\pi k}{2}$, где $k \in \mathbb{Z}$.
№18.18 (с. 55)
Условие. №18.18 (с. 55)
скриншот условия

18.18 Решите уравнение $sin \left(2x - \frac{\pi}{4}\right) = -1$ и найдите:
а) наименьший положительный корень;
б) корни, принадлежащие отрезку $[-\frac{\pi}{2}; \frac{3\pi}{2}]$;
в) наибольший отрицательный корень;
г) корни, принадлежащие интервалу $(-\pi; \frac{\pi}{2})$.
Решение 1. №18.18 (с. 55)

Решение 2. №18.18 (с. 55)


Решение 3. №18.18 (с. 55)

Решение 5. №18.18 (с. 55)




Решение 6. №18.18 (с. 55)
Сначала решим исходное уравнение $\sin(2x - \frac{\pi}{4}) = -1$.
Это частный случай тригонометрического уравнения. Аргумент синуса должен быть равен $-\frac{\pi}{2} + 2\pi k$, где $k$ — любое целое число ($k \in \mathbb{Z}$).
$2x - \frac{\pi}{4} = -\frac{\pi}{2} + 2\pi k$
Выразим $x$:
$2x = -\frac{\pi}{2} + \frac{\pi}{4} + 2\pi k$
$2x = -\frac{2\pi}{4} + \frac{\pi}{4} + 2\pi k$
$2x = -\frac{\pi}{4} + 2\pi k$
Разделив обе части на 2, получим общее решение уравнения:
$x = -\frac{\pi}{8} + \pi k, k \in \mathbb{Z}$
Теперь, используя эту формулу, ответим на вопросы.
а) наименьший положительный корень;
Для нахождения наименьшего положительного корня нужно найти наименьшее целое $k$, при котором $x > 0$.
$-\frac{\pi}{8} + \pi k > 0$
$\pi k > \frac{\pi}{8}$
$k > \frac{1}{8}$
Наименьшее целое значение $k$, удовлетворяющее этому неравенству, — это $k=1$.
Подставим $k=1$ в общую формулу корней:
$x = -\frac{\pi}{8} + \pi \cdot 1 = \frac{-\pi + 8\pi}{8} = \frac{7\pi}{8}$.
Ответ: $\frac{7\pi}{8}$.
б) корни, принадлежащие отрезку $[-\frac{\pi}{2}; \frac{3\pi}{2}]$;
Для нахождения корней на заданном отрезке решим двойное неравенство:
$-\frac{\pi}{2} \le -\frac{\pi}{8} + \pi k \le \frac{3\pi}{2}$
Разделим все части неравенства на $\pi$:
$-\frac{1}{2} \le -\frac{1}{8} + k \le \frac{3}{2}$
Прибавим $\frac{1}{8}$ ко всем частям:
$-\frac{1}{2} + \frac{1}{8} \le k \le \frac{3}{2} + \frac{1}{8}$
$-\frac{4}{8} + \frac{1}{8} \le k \le \frac{12}{8} + \frac{1}{8}$
$-\frac{3}{8} \le k \le \frac{13}{8}$
В этот промежуток попадают целые значения $k=0$ и $k=1$.
Найдем соответствующие значения $x$:
При $k=0$: $x = -\frac{\pi}{8} + \pi \cdot 0 = -\frac{\pi}{8}$.
При $k=1$: $x = -\frac{\pi}{8} + \pi \cdot 1 = \frac{7\pi}{8}$.
Оба корня принадлежат отрезку $[-\frac{\pi}{2}; \frac{3\pi}{2}]$.
Ответ: $-\frac{\pi}{8}; \frac{7\pi}{8}$.
в) наибольший отрицательный корень;
Для нахождения наибольшего отрицательного корня нужно найти наибольшее целое $k$, при котором $x < 0$.
$-\frac{\pi}{8} + \pi k < 0$
$\pi k < \frac{\pi}{8}$
$k < \frac{1}{8}$
Наибольшее целое значение $k$, удовлетворяющее этому неравенству, — это $k=0$.
Подставим $k=0$ в общую формулу корней:
$x = -\frac{\pi}{8} + \pi \cdot 0 = -\frac{\pi}{8}$.
Ответ: $-\frac{\pi}{8}$.
г) корни, принадлежащие интервалу $(-\pi; \frac{\pi}{2})$.
Для нахождения корней на заданном интервале решим двойное неравенство:
$-\pi < -\frac{\pi}{8} + \pi k < \frac{\pi}{2}$
Разделим все части неравенства на $\pi$:
$-1 < -\frac{1}{8} + k < \frac{1}{2}$
Прибавим $\frac{1}{8}$ ко всем частям:
$-1 + \frac{1}{8} < k < \frac{1}{2} + \frac{1}{8}$
$-\frac{7}{8} < k < \frac{5}{8}$
В этот промежуток попадает единственное целое значение $k=0$.
Найдем соответствующее значение $x$:
При $k=0$: $x = -\frac{\pi}{8} + \pi \cdot 0 = -\frac{\pi}{8}$.
Этот корень принадлежит интервалу $(-\pi; \frac{\pi}{2})$.
Ответ: $-\frac{\pi}{8}$.
№18.23 (с. 55)
Условие. №18.23 (с. 55)
скриншот условия

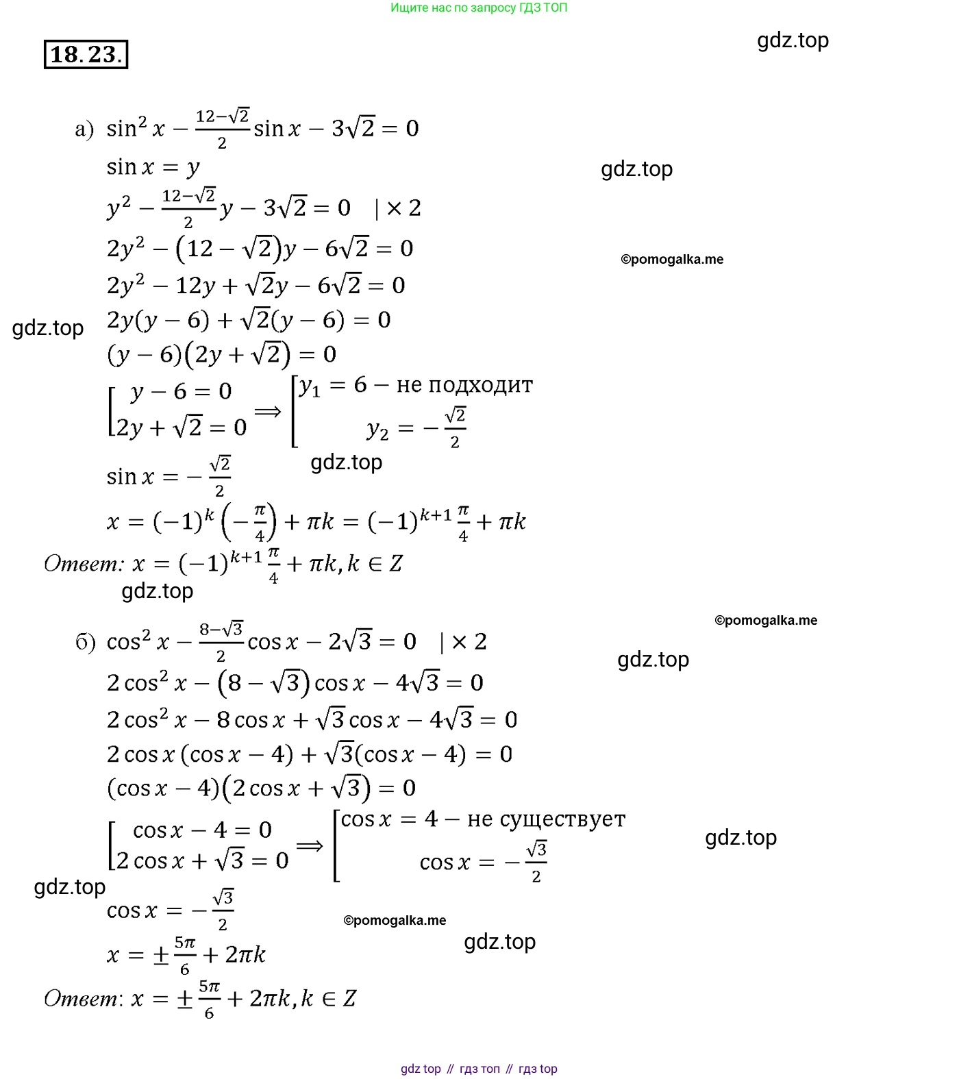
18.23 a) $\sin^2 x - \frac{12 - \sqrt{2}}{2}\sin x - 3\sqrt{2} = 0;$
б) $\cos^2 x - \frac{8 - \sqrt{3}}{2}\cos x - 2\sqrt{3} = 0.$
Решение 1. №18.23 (с. 55)

Решение 2. №18.23 (с. 55)


Решение 3. №18.23 (с. 55)

Решение 5. №18.23 (с. 55)


Решение 6. №18.23 (с. 55)
а) Решим уравнение $ \sin^2 x - \frac{12 - \sqrt{2}}{2}\sin x - 3\sqrt{2} = 0 $.
Это квадратное уравнение относительно $ \sin x $. Сделаем замену $ t = \sin x $, при условии $ |t| \le 1 $.
Уравнение примет вид: $ t^2 - \frac{12 - \sqrt{2}}{2}t - 3\sqrt{2} = 0 $.
Умножим все члены уравнения на 2, чтобы избавиться от знаменателя:
$ 2t^2 - (12 - \sqrt{2})t - 6\sqrt{2} = 0 $.
Найдем дискриминант $ D $:
$ D = b^2 - 4ac = (-(12 - \sqrt{2}))^2 - 4 \cdot 2 \cdot (-6\sqrt{2}) = (12 - \sqrt{2})^2 + 48\sqrt{2} $.
$ D = 144 - 24\sqrt{2} + 2 + 48\sqrt{2} = 146 + 24\sqrt{2} $.
Заметим, что $ 146 + 24\sqrt{2} = 144 + 2 \cdot 12 \cdot \sqrt{2} + (\sqrt{2})^2 = (12 + \sqrt{2})^2 $.
Следовательно, $ \sqrt{D} = 12 + \sqrt{2} $.
Корни для $t$ находятся по формуле:
$ t_{1,2} = \frac{-b \pm \sqrt{D}}{2a} = \frac{12 - \sqrt{2} \pm (12 + \sqrt{2})}{4} $.
$ t_1 = \frac{12 - \sqrt{2} + 12 + \sqrt{2}}{4} = \frac{24}{4} = 6 $.
$ t_2 = \frac{12 - \sqrt{2} - (12 + \sqrt{2})}{4} = \frac{-2\sqrt{2}}{4} = -\frac{\sqrt{2}}{2} $.
Теперь вернемся к переменной $x$:
1. $ \sin x = t_1 = 6 $. Это уравнение не имеет решений, так как область значений функции синус $ [-1; 1] $, а $ 6 > 1 $.
2. $ \sin x = t_2 = -\frac{\sqrt{2}}{2} $. Общее решение этого уравнения:
$ x = (-1)^{k+1} \arcsin\left(\frac{\sqrt{2}}{2}\right) + \pi k = (-1)^{k+1} \frac{\pi}{4} + \pi k $, где $ k \in \mathbb{Z} $.
Ответ: $ x = (-1)^{k+1} \frac{\pi}{4} + \pi k, k \in \mathbb{Z} $.
б) Решим уравнение $ \cos^2 x - \frac{8 - \sqrt{3}}{2}\cos x - 2\sqrt{3} = 0 $.
Это квадратное уравнение относительно $ \cos x $. Сделаем замену $ y = \cos x $, при условии $ |y| \le 1 $.
Уравнение примет вид: $ y^2 - \frac{8 - \sqrt{3}}{2}y - 2\sqrt{3} = 0 $.
Умножим все члены уравнения на 2:
$ 2y^2 - (8 - \sqrt{3})y - 4\sqrt{3} = 0 $.
Найдем дискриминант $ D $:
$ D = b^2 - 4ac = (-(8 - \sqrt{3}))^2 - 4 \cdot 2 \cdot (-4\sqrt{3}) = (8 - \sqrt{3})^2 + 32\sqrt{3} $.
$ D = 64 - 16\sqrt{3} + 3 + 32\sqrt{3} = 67 + 16\sqrt{3} $.
Заметим, что $ 67 + 16\sqrt{3} = 64 + 2 \cdot 8 \cdot \sqrt{3} + (\sqrt{3})^2 = (8 + \sqrt{3})^2 $.
Следовательно, $ \sqrt{D} = 8 + \sqrt{3} $.
Корни для $y$ находятся по формуле:
$ y_{1,2} = \frac{-b \pm \sqrt{D}}{2a} = \frac{8 - \sqrt{3} \pm (8 + \sqrt{3})}{4} $.
$ y_1 = \frac{8 - \sqrt{3} + 8 + \sqrt{3}}{4} = \frac{16}{4} = 4 $.
$ y_2 = \frac{8 - \sqrt{3} - (8 + \sqrt{3})}{4} = \frac{-2\sqrt{3}}{4} = -\frac{\sqrt{3}}{2} $.
Теперь вернемся к переменной $x$:
1. $ \cos x = y_1 = 4 $. Это уравнение не имеет решений, так как область значений функции косинус $ [-1; 1] $, а $ 4 > 1 $.
2. $ \cos x = y_2 = -\frac{\sqrt{3}}{2} $. Общее решение этого уравнения:
$ x = \pm \arccos(-\frac{\sqrt{3}}{2}) + 2\pi n $.
Так как $ \arccos(-\frac{\sqrt{3}}{2}) = \pi - \arccos(\frac{\sqrt{3}}{2}) = \pi - \frac{\pi}{6} = \frac{5\pi}{6} $, то:
$ x = \pm \frac{5\pi}{6} + 2\pi n $, где $ n \in \mathbb{Z} $.
Ответ: $ x = \pm \frac{5\pi}{6} + 2\pi n, n \in \mathbb{Z} $.
№18.19 (с. 55)
Условие. №18.19 (с. 55)
скриншот условия

18.19 Решите уравнение $\cos\left(\frac{\pi}{3} - 2x\right) = \frac{1}{2}$ и найдите:
а) наименьший положительный корень; б) корни, принадлежащие отрезку $\left[-\frac{\pi}{2}; \frac{3\pi}{2}\right];$ в) наибольший отрицательный корень; г) корни, принадлежащие интервалу $\left(-\pi; \frac{\pi}{2}\right).$Решение 1. №18.19 (с. 55)

Решение 2. №18.19 (с. 55)


Решение 3. №18.19 (с. 55)

Решение 5. №18.19 (с. 55)




Решение 6. №18.19 (с. 55)
Сначала решим исходное уравнение. Воспользуемся свойством четности функции косинус: $\cos(-\alpha) = \cos(\alpha)$.
$\cos\left(\frac{\pi}{3} - 2x\right) = \cos\left(2x - \frac{\pi}{3}\right)$
Таким образом, уравнение принимает вид:
$\cos\left(2x - \frac{\pi}{3}\right) = \frac{1}{2}$
Это простейшее тригонометрическое уравнение. Общее решение для $\cos(t) = a$ записывается как $t = \pm \arccos(a) + 2\pi n$, где $n \in \mathbb{Z}$.
В нашем случае $t = 2x - \frac{\pi}{3}$ и $a = \frac{1}{2}$. Значение арккосинуса: $\arccos\left(\frac{1}{2}\right) = \frac{\pi}{3}$.
Подставляем значения и получаем совокупность уравнений:
$2x - \frac{\pi}{3} = \pm \frac{\pi}{3} + 2\pi n$, где $n \in \mathbb{Z}$.
Рассмотрим два случая:
1) С положительным знаком:
$2x - \frac{\pi}{3} = \frac{\pi}{3} + 2\pi n$
$2x = \frac{\pi}{3} + \frac{\pi}{3} + 2\pi n$
$2x = \frac{2\pi}{3} + 2\pi n$
$x = \frac{\pi}{3} + \pi n$, $n \in \mathbb{Z}$.
2) С отрицательным знаком:
$2x - \frac{\pi}{3} = -\frac{\pi}{3} + 2\pi n$
$2x = -\frac{\pi}{3} + \frac{\pi}{3} + 2\pi n$
$2x = 2\pi n$
$x = \pi n$, $n \in \mathbb{Z}$.
Итак, мы получили две серии корней: $x_1 = \pi n$ и $x_2 = \frac{\pi}{3} + \pi n$, где $n \in \mathbb{Z}$. Теперь найдем корни, удовлетворяющие заданным условиям.
а) наименьший положительный корень
Найдем наименьший положительный корень путем перебора целочисленных значений $n$.
Для серии $x = \pi n$: при $n=1$ получаем $x = \pi$. При $n=0$ корень $x=0$ не является положительным.
Для серии $x = \frac{\pi}{3} + \pi n$: при $n=0$ получаем $x = \frac{\pi}{3}$.
Сравниваем полученные положительные корни $\pi$ и $\frac{\pi}{3}$. Наименьшим из них является $\frac{\pi}{3}$.
Ответ: $\frac{\pi}{3}$.
б) корни, принадлежащие отрезку $\left[-\frac{\pi}{2}; \frac{3\pi}{2}\right]$
Отберем корни для каждой серии, используя двойные неравенства.
Для серии $x = \pi n$:
$-\frac{\pi}{2} \le \pi n \le \frac{3\pi}{2}$
Разделим все части на $\pi$: $-\frac{1}{2} \le n \le \frac{3}{2}$.
Целочисленные значения $n$, удовлетворяющие этому условию: $n=0$ и $n=1$.
При $n=0$, $x = 0$.
При $n=1$, $x = \pi$.
Для серии $x = \frac{\pi}{3} + \pi n$:
$-\frac{\pi}{2} \le \frac{\pi}{3} + \pi n \le \frac{3\pi}{2}$
Вычтем $\frac{\pi}{3}$: $-\frac{\pi}{2} - \frac{\pi}{3} \le \pi n \le \frac{3\pi}{2} - \frac{\pi}{3}$
$-\frac{5\pi}{6} \le \pi n \le \frac{7\pi}{6}$
Разделим все части на $\pi$: $-\frac{5}{6} \le n \le \frac{7}{6}$.
Целочисленные значения $n$, удовлетворяющие этому условию: $n=0$ и $n=1$.
При $n=0$, $x = \frac{\pi}{3}$.
При $n=1$, $x = \frac{\pi}{3} + \pi = \frac{4\pi}{3}$.
Объединяя все найденные корни, получаем: $0, \frac{\pi}{3}, \pi, \frac{4\pi}{3}$.
Ответ: $0, \frac{\pi}{3}, \pi, \frac{4\pi}{3}$.
в) наибольший отрицательный корень
Найдем наибольший отрицательный корень, перебирая отрицательные целочисленные значения $n$.
Для серии $x = \pi n$: при $n=-1$ получаем $x = -\pi$.
Для серии $x = \frac{\pi}{3} + \pi n$: при $n=-1$ получаем $x = \frac{\pi}{3} - \pi = -\frac{2\pi}{3}$.
Сравниваем полученные отрицательные корни $-\pi$ и $-\frac{2\pi}{3}$. Так как $-\frac{2\pi}{3} > -\pi$, наибольший отрицательный корень равен $-\frac{2\pi}{3}$.
Ответ: $-\frac{2\pi}{3}$.
г) корни, принадлежащие интервалу $\left(-\pi; \frac{\pi}{2}\right)$
Отберем корни для каждой серии, используя строгие двойные неравенства.
Для серии $x = \pi n$:
$-\pi < \pi n < \frac{\pi}{2}$
Разделим все части на $\pi$: $-1 < n < \frac{1}{2}$.
Единственное целое значение $n$, удовлетворяющее этому условию: $n=0$.
При $n=0$, $x = 0$.
Для серии $x = \frac{\pi}{3} + \pi n$:
$-\pi < \frac{\pi}{3} + \pi n < \frac{\pi}{2}$
Вычтем $\frac{\pi}{3}$: $-\pi - \frac{\pi}{3} < \pi n < \frac{\pi}{2} - \frac{\pi}{3}$
$-\frac{4\pi}{3} < \pi n < \frac{\pi}{6}$
Разделим все части на $\pi$: $-\frac{4}{3} < n < \frac{1}{6}$.
Целочисленные значения $n$, удовлетворяющие этому условию: $n=-1$ и $n=0$.
При $n=-1$, $x = \frac{\pi}{3} - \pi = -\frac{2\pi}{3}$.
При $n=0$, $x = \frac{\pi}{3}$.
Объединяя все найденные корни, получаем: $-\frac{2\pi}{3}, 0, \frac{\pi}{3}$.
Ответ: $-\frac{2\pi}{3}, 0, \frac{\pi}{3}$.
Помогло решение? Оставьте отзыв в комментариях ниже.