Номер 18.22, страница 55, часть 2 - гдз по алгебре 10-11 класс задачник Мордкович, Семенов


Авторы: Мордкович А. Г., Семенов П. В., Денищева Л. О., Корешкова Т. А., Мишустина Т. Н., Тульчинская Е. Е.
Тип: Задачник
Издательство: Мнемозина
Год издания: 2019 - 2025
Уровень обучения: базовый
Часть: 2
Цвет обложки:
ISBN: 978-5-346-04509-0 (общ.), 978-5-346-04510-6 (ч. 1), 978-5-346-04511-3 (ч. 2)
Рекомендовано Министерством образования и науки Российской Федерации
Математика: алгебра и начала математического анализа, геометрия
Популярные ГДЗ в 10 классе
§18. Решение тригонометрических уравнений. Глава 3. Тригонометрические уравнения. ч. 2 - номер 18.22, страница 55.
№18.22 (с. 55)
Условие. №18.22 (с. 55)
скриншот условия

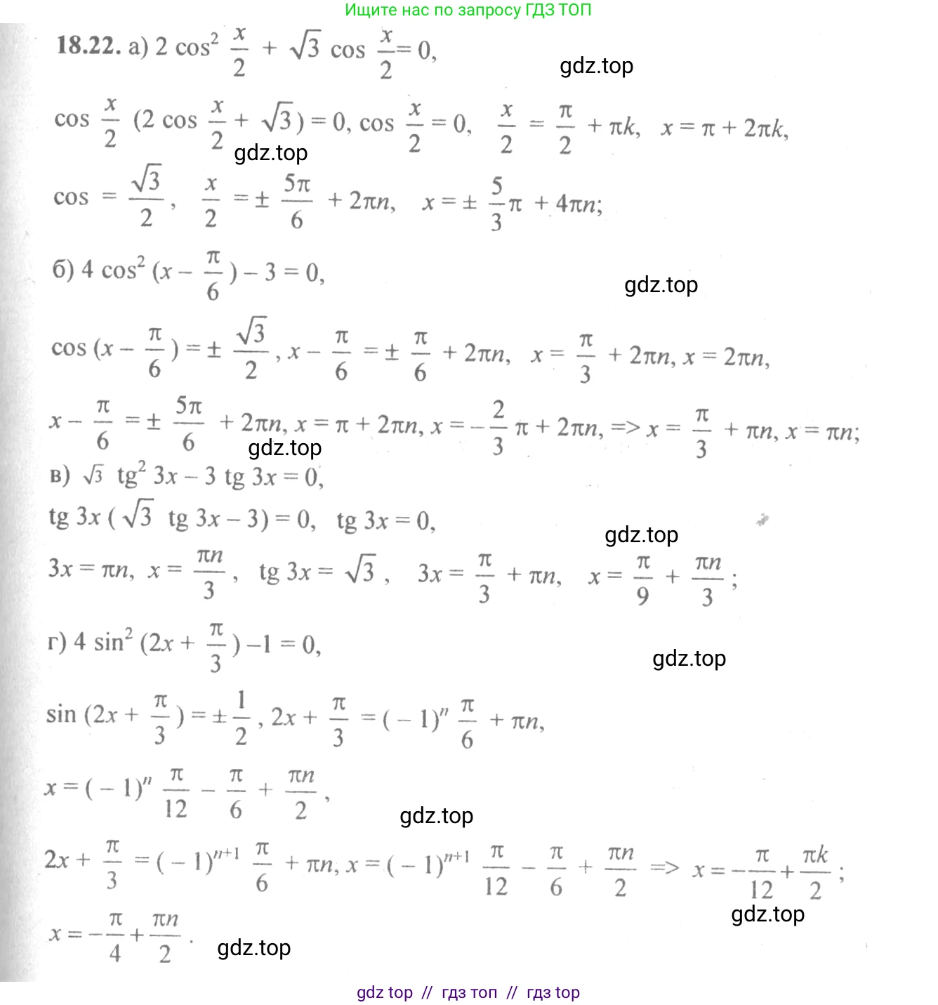
18.22 a) $2 \cos^2 \frac{x}{2} + \sqrt{3} \cos \frac{x}{2} = 0;$
B) $\sqrt{3} \operatorname{tg}^2 3x - 3 \operatorname{tg} 3x = 0;$
б) $4 \cos^2 \left(x - \frac{\pi}{6}\right) - 3 = 0;$
г) $4 \sin^2 \left(2x + \frac{\pi}{3}\right) - 1 = 0.$
Решение 1. №18.22 (с. 55)

Решение 2. №18.22 (с. 55)



Решение 3. №18.22 (с. 55)

Решение 5. №18.22 (с. 55)



Решение 6. №18.22 (с. 55)
а) $2 \cos^2 \frac{x}{2} + \sqrt{3} \cos \frac{x}{2} = 0$
Это неполное квадратное уравнение относительно $\cos \frac{x}{2}$. Вынесем общий множитель $\cos \frac{x}{2}$ за скобки:
$\cos \frac{x}{2} \left(2 \cos \frac{x}{2} + \sqrt{3}\right) = 0$
Произведение равно нулю, когда хотя бы один из множителей равен нулю. Таким образом, уравнение распадается на два:
1) $\cos \frac{x}{2} = 0$
Это частный случай решения простейшего тригонометрического уравнения.
$\frac{x}{2} = \frac{\pi}{2} + \pi k$, где $k \in \mathbb{Z}$
Умножим обе части на 2, чтобы найти $x$:
$x = \pi + 2\pi k, \quad k \in \mathbb{Z}$
2) $2 \cos \frac{x}{2} + \sqrt{3} = 0$
Выразим $\cos \frac{x}{2}$:
$2 \cos \frac{x}{2} = -\sqrt{3}$
$\cos \frac{x}{2} = -\frac{\sqrt{3}}{2}$
Решаем это уравнение по общей формуле:
$\frac{x}{2} = \pm \arccos\left(-\frac{\sqrt{3}}{2}\right) + 2\pi n$, где $n \in \mathbb{Z}$
Так как $\arccos(-a) = \pi - \arccos(a)$, получаем:
$\frac{x}{2} = \pm \left(\pi - \arccos\left(\frac{\sqrt{3}}{2}\right)\right) + 2\pi n, \quad n \in \mathbb{Z}$
$\frac{x}{2} = \pm \left(\pi - \frac{\pi}{6}\right) + 2\pi n, \quad n \in \mathbb{Z}$
$\frac{x}{2} = \pm \frac{5\pi}{6} + 2\pi n, \quad n \in \mathbb{Z}$
Умножим обе части на 2:
$x = \pm \frac{5\pi}{3} + 4\pi n, \quad n \in \mathbb{Z}$
Объединяем решения из обоих случаев.
Ответ: $x = \pi + 2\pi k, \quad x = \pm \frac{5\pi}{3} + 4\pi n$, где $k, n \in \mathbb{Z}$.
б) $4 \cos^2 \left(x - \frac{\pi}{6}\right) - 3 = 0$
Выразим $\cos^2 \left(x - \frac{\pi}{6}\right)$:
$4 \cos^2 \left(x - \frac{\pi}{6}\right) = 3$
$\cos^2 \left(x - \frac{\pi}{6}\right) = \frac{3}{4}$
Извлечем квадратный корень из обеих частей уравнения:
$\cos \left(x - \frac{\pi}{6}\right) = \pm \sqrt{\frac{3}{4}} = \pm \frac{\sqrt{3}}{2}$
Решение этого уравнения можно записать в более компактном виде. Пусть $t = x - \frac{\pi}{6}$. Тогда $\cos t = \pm \frac{\sqrt{3}}{2}$.
Решениями являются $t = \pm \frac{\pi}{6} + \pi k, \quad k \in \mathbb{Z}$.
Выполним обратную замену:
$x - \frac{\pi}{6} = \pm \frac{\pi}{6} + \pi k, \quad k \in \mathbb{Z}$
Рассмотрим два случая:
1) $x - \frac{\pi}{6} = \frac{\pi}{6} + \pi k$
$x = \frac{\pi}{6} + \frac{\pi}{6} + \pi k = \frac{2\pi}{6} + \pi k = \frac{\pi}{3} + \pi k, \quad k \in \mathbb{Z}$
2) $x - \frac{\pi}{6} = -\frac{\pi}{6} + \pi k$
$x = -\frac{\pi}{6} + \frac{\pi}{6} + \pi k = \pi k, \quad k \in \mathbb{Z}$
Ответ: $x = \pi k, \quad x = \frac{\pi}{3} + \pi k$, где $k \in \mathbb{Z}$.
в) $\sqrt{3} \text{tg}^2 3x - 3 \text{tg} 3x = 0$
Вынесем общий множитель $\text{tg} 3x$ за скобки:
$\text{tg} 3x (\sqrt{3} \text{tg} 3x - 3) = 0$
Область допустимых значений (ОДЗ) для тангенса: его аргумент не должен быть равен $\frac{\pi}{2} + \pi n$.
$3x \neq \frac{\pi}{2} + \pi n$, следовательно $x \neq \frac{\pi}{6} + \frac{\pi n}{3}, \quad n \in \mathbb{Z}$.
Произведение равно нулю, когда один из множителей равен нулю:
1) $\text{tg} 3x = 0$
$3x = \pi k, \quad k \in \mathbb{Z}$
$x = \frac{\pi k}{3}, \quad k \in \mathbb{Z}$
Данная серия корней удовлетворяет ОДЗ.
2) $\sqrt{3} \text{tg} 3x - 3 = 0$
$\sqrt{3} \text{tg} 3x = 3$
$\text{tg} 3x = \frac{3}{\sqrt{3}} = \sqrt{3}$
$3x = \text{arctg}(\sqrt{3}) + \pi m, \quad m \in \mathbb{Z}$
$3x = \frac{\pi}{3} + \pi m, \quad m \in \mathbb{Z}$
$x = \frac{\pi}{9} + \frac{\pi m}{3}, \quad m \in \mathbb{Z}$
Эта серия корней также удовлетворяет ОДЗ.
Ответ: $x = \frac{\pi k}{3}, \quad x = \frac{\pi}{9} + \frac{\pi m}{3}$, где $k, m \in \mathbb{Z}$.
г) $4 \sin^2 \left(2x + \frac{\pi}{3}\right) - 1 = 0$
Выразим $\sin^2 \left(2x + \frac{\pi}{3}\right)$:
$4 \sin^2 \left(2x + \frac{\pi}{3}\right) = 1$
$\sin^2 \left(2x + \frac{\pi}{3}\right) = \frac{1}{4}$
Извлечем квадратный корень из обеих частей:
$\sin \left(2x + \frac{\pi}{3}\right) = \pm \frac{1}{2}$
Пусть $t = 2x + \frac{\pi}{3}$. Уравнение принимает вид $\sin t = \pm \frac{1}{2}$.
Решения этого уравнения можно записать как $t = \pm \frac{\pi}{6} + \pi k, \quad k \in \mathbb{Z}$.
Выполним обратную замену:
$2x + \frac{\pi}{3} = \pm \frac{\pi}{6} + \pi k, \quad k \in \mathbb{Z}$
Рассмотрим два случая:
1) $2x + \frac{\pi}{3} = \frac{\pi}{6} + \pi k$
$2x = \frac{\pi}{6} - \frac{\pi}{3} + \pi k = -\frac{\pi}{6} + \pi k$
$x = -\frac{\pi}{12} + \frac{\pi k}{2}, \quad k \in \mathbb{Z}$
2) $2x + \frac{\pi}{3} = -\frac{\pi}{6} + \pi k$
$2x = -\frac{\pi}{6} - \frac{\pi}{3} + \pi k = -\frac{3\pi}{6} + \pi k = -\frac{\pi}{2} + \pi k$
$x = -\frac{\pi}{4} + \frac{\pi k}{2}, \quad k \in \mathbb{Z}$
Ответ: $x = -\frac{\pi}{12} + \frac{\pi k}{2}, \quad x = -\frac{\pi}{4} + \frac{\pi k}{2}$, где $k \in \mathbb{Z}$.
Другие задания:
Помогло решение? Оставьте отзыв в комментариях ниже.
Мы подготовили для вас ответ c подробным объяснением домашего задания по алгебре за 10-11 класс, для упражнения номер 18.22 расположенного на странице 55 для 2-й части к задачнику 2019 года издания для учащихся школ и гимназий.
Теперь на нашем сайте ГДЗ.ТОП вы всегда легко и бесплатно найдёте условие с правильным ответом на вопрос «Как решить ДЗ» и «Как сделать» задание по алгебре к упражнению №18.22 (с. 55), авторов: Мордкович (Александр Григорьевич), Семенов (Павел Владимирович), Денищева (Лариса Олеговна), Корешкова (Т А), Мишустина (Татьяна Николаевна), Тульчинская (Елена Ефимовна), 2-й части ФГОС (старый) базовый уровень обучения учебного пособия издательства Мнемозина.