Страница 49, часть 2 - гдз по алгебре 10-11 класс задачник часть 1, 2 Мордкович, Семенов


Авторы: Мордкович А. Г., Семенов П. В., Денищева Л. О., Корешкова Т. А., Мишустина Т. Н., Тульчинская Е. Е.
Тип: Задачник
Издательство: Мнемозина
Год издания: 2019 - 2025
Уровень обучения: базовый
Часть: 2
Цвет обложки:
ISBN: 978-5-346-04509-0 (общ.), 978-5-346-04510-6 (ч. 1), 978-5-346-04511-3 (ч. 2)
Рекомендовано Министерством образования и науки Российской Федерации
Математика: алгебра и начала математического анализа, геометрия
Популярные ГДЗ в 10 классе
ч. 2. Cтраница 49

№16.12 (с. 49)
Условие. №16.12 (с. 49)
скриншот условия

16.12 а) $ \sin x = \frac{1}{2}, x \in \left( \frac{1}{2}; \frac{11\pi}{4} \right); $
б) $ \sin x = -\frac{1}{2}, x \in \left( -\frac{5\pi}{6}; 6 \right); $
в) $ \sin x = \frac{\sqrt{2}}{2}, x \in (-4; 3); $
г) $ \sin x = \frac{1}{2}, x \in (-3; 6). $
Решение 1. №16.12 (с. 49)

Решение 2. №16.12 (с. 49)


Решение 3. №16.12 (с. 49)

Решение 5. №16.12 (с. 49)



Решение 6. №16.12 (с. 49)
Решим уравнение $sin x = \frac{1}{2}$ на интервале $x \in (\frac{1}{2}; \frac{11\pi}{4})$.
Общее решение уравнения $sin x = \frac{1}{2}$ дается формулой $x = (-1)^n \arcsin(\frac{1}{2}) + \pi n$, где $n \in \mathbb{Z}$. Поскольку $\arcsin(\frac{1}{2}) = \frac{\pi}{6}$, получаем $x = (-1)^n \frac{\pi}{6} + \pi n$.
Это можно разбить на две серии решений:
1) $x_1 = \frac{\pi}{6} + 2\pi k$, где $k \in \mathbb{Z}$.
2) $x_2 = \pi - \frac{\pi}{6} + 2\pi k = \frac{5\pi}{6} + 2\pi k$, где $k \in \mathbb{Z}$.
Теперь отберем корни, принадлежащие заданному интервалу $(\frac{1}{2}; \frac{11\pi}{4})$. Оценим границы интервала в десятичной форме: $\frac{1}{2} = 0.5$ и $\frac{11\pi}{4} \approx \frac{11 \cdot 3.14159}{4} \approx 8.64$.
Рассмотрим первую серию $x_1 = \frac{\pi}{6} + 2\pi k$:
- При $k=0$, $x = \frac{\pi}{6} \approx 0.5236$. $0.5 < 0.5236 < 8.64$, корень подходит.
- При $k=1$, $x = \frac{\pi}{6} + 2\pi = \frac{13\pi}{6} \approx 6.807$. $0.5 < 6.807 < 8.64$, корень подходит.
- При $k=2$, $x = \frac{\pi}{6} + 4\pi = \frac{25\pi}{6} > 8.64$, корень не подходит.
Рассмотрим вторую серию $x_2 = \frac{5\pi}{6} + 2\pi k$:
- При $k=0$, $x = \frac{5\pi}{6} \approx 2.618$. $0.5 < 2.618 < 8.64$, корень подходит.
- При $k=1$, $x = \frac{5\pi}{6} + 2\pi = \frac{17\pi}{6} \approx 8.901$. Так как $\frac{17\pi}{6} > \frac{11\pi}{4}$ (поскольку $17/6 > 11/4 \Leftrightarrow 68 > 66$), корень не подходит.
Ответ: $x = \frac{\pi}{6}, \frac{5\pi}{6}, \frac{13\pi}{6}$.
б)Решим уравнение $sin x = -\frac{1}{2}$ на интервале $x \in (-\frac{5\pi}{6}; 6)$.
Общее решение уравнения $sin x = -\frac{1}{2}$ дается формулой $x = (-1)^n \arcsin(-\frac{1}{2}) + \pi n = (-1)^{n+1} \frac{\pi}{6} + \pi n$, где $n \in \mathbb{Z}$.
Две серии решений:
1) $x_1 = -\frac{\pi}{6} + 2\pi k$, где $k \in \mathbb{Z}$.
2) $x_2 = \pi - (-\frac{\pi}{6}) + 2\pi k = \frac{7\pi}{6} + 2\pi k$, где $k \in \mathbb{Z}$.
Отберем корни из интервала $(-\frac{5\pi}{6}; 6)$. Оценим левую границу: $-\frac{5\pi}{6} \approx -2.618$.
Рассмотрим первую серию $x_1 = -\frac{\pi}{6} + 2\pi k$:
- При $k=0$, $x = -\frac{\pi}{6} \approx -0.5236$. $-2.618 < -0.5236 < 6$, корень подходит.
- При $k=1$, $x = -\frac{\pi}{6} + 2\pi = \frac{11\pi}{6} \approx 5.76$. $5.76 < 6$, корень подходит.
- При $k=-1$, $x = -\frac{\pi}{6} - 2\pi = -\frac{13\pi}{6} \approx -6.807 < -2.618$, корень не подходит.
Рассмотрим вторую серию $x_2 = \frac{7\pi}{6} + 2\pi k$:
- При $k=0$, $x = \frac{7\pi}{6} \approx 3.665$. $-2.618 < 3.665 < 6$, корень подходит.
- При $k=-1$, $x = \frac{7\pi}{6} - 2\pi = -\frac{5\pi}{6}$. Этот корень совпадает с левой границей интервала, но интервал строгий, поэтому корень не входит в него.
- При $k=1$, $x = \frac{7\pi}{6} + 2\pi = \frac{19\pi}{6} \approx 9.95 > 6$, корень не подходит.
Ответ: $x = -\frac{\pi}{6}, \frac{7\pi}{6}, \frac{11\pi}{6}$.
в)Решим уравнение $sin x = \frac{\sqrt{2}}{2}$ на интервале $x \in (-4; 3)$.
Общее решение: $x = (-1)^n \frac{\pi}{4} + \pi n$, где $n \in \mathbb{Z}$.
Две серии решений:
1) $x_1 = \frac{\pi}{4} + 2\pi k$, где $k \in \mathbb{Z}$.
2) $x_2 = \pi - \frac{\pi}{4} + 2\pi k = \frac{3\pi}{4} + 2\pi k$, где $k \in \mathbb{Z}$.
Отберем корни из интервала $(-4; 3)$. Используем $\pi \approx 3.14159$.
Рассмотрим первую серию $x_1 = \frac{\pi}{4} + 2\pi k$:
- При $k=0$, $x = \frac{\pi}{4} \approx 0.785$. $-4 < 0.785 < 3$, корень подходит.
- При $k=1$, $x = \frac{\pi}{4} + 2\pi = \frac{9\pi}{4} > 3$, корень не подходит.
- При $k=-1$, $x = \frac{\pi}{4} - 2\pi = -\frac{7\pi}{4} \approx -5.498 < -4$, корень не подходит.
Рассмотрим вторую серию $x_2 = \frac{3\pi}{4} + 2\pi k$:
- При $k=0$, $x = \frac{3\pi}{4} \approx 2.356$. $-4 < 2.356 < 3$, корень подходит.
- При $k=-1$, $x = \frac{3\pi}{4} - 2\pi = -\frac{5\pi}{4} \approx -3.927$. $-4 < -3.927 < 3$, корень подходит.
- При $k=1$, $x = \frac{3\pi}{4} + 2\pi > 3$, корень не подходит.
- При $k=-2$, $x = \frac{3\pi}{4} - 4\pi < -4$, корень не подходит.
Ответ: $x = -\frac{5\pi}{4}, \frac{\pi}{4}, \frac{3\pi}{4}$.
г)Решим уравнение $sin x = \frac{1}{2}$ на интервале $x \in (-3; 6)$.
Общее решение: $x = (-1)^n \frac{\pi}{6} + \pi n$, где $n \in \mathbb{Z}$.
Две серии решений:
1) $x_1 = \frac{\pi}{6} + 2\pi k$, где $k \in \mathbb{Z}$.
2) $x_2 = \frac{5\pi}{6} + 2\pi k$, где $k \in \mathbb{Z}$.
Отберем корни из интервала $(-3; 6)$.
Рассмотрим первую серию $x_1 = \frac{\pi}{6} + 2\pi k$:
- При $k=0$, $x = \frac{\pi}{6} \approx 0.5236$. $-3 < 0.5236 < 6$, корень подходит.
- При $k=1$, $x = \frac{\pi}{6} + 2\pi = \frac{13\pi}{6} \approx 6.807 > 6$, корень не подходит.
- При $k=-1$, $x = \frac{\pi}{6} - 2\pi = -\frac{11\pi}{6} \approx -5.76 < -3$, корень не подходит.
Рассмотрим вторую серию $x_2 = \frac{5\pi}{6} + 2\pi k$:
- При $k=0$, $x = \frac{5\pi}{6} \approx 2.618$. $-3 < 2.618 < 6$, корень подходит.
- При $k=1$, $x = \frac{5\pi}{6} + 2\pi > 6$, корень не подходит.
- При $k=-1$, $x = \frac{5\pi}{6} - 2\pi = -\frac{7\pi}{6} \approx -3.665 < -3$, корень не подходит.
Ответ: $x = \frac{\pi}{6}, \frac{5\pi}{6}$.
№16.17 (с. 49)
Условие. №16.17 (с. 49)
скриншот условия

Решите неравенство:
16.17 a) $\sin t > \frac{\sqrt{3}}{2};$
б) $\sin t > -\frac{1}{2};$
в) $\sin t < \frac{\sqrt{3}}{2};$
г) $\sin t \le -\frac{1}{2}.$
Решение 1. №16.17 (с. 49)

Решение 2. №16.17 (с. 49)


Решение 3. №16.17 (с. 49)

Решение 5. №16.17 (с. 49)



Решение 6. №16.17 (с. 49)
а) Чтобы решить неравенство $\sin t > \frac{\sqrt{3}}{2}$, сначала рассмотрим уравнение $\sin t = \frac{\sqrt{3}}{2}$. Решениями этого уравнения на единичной окружности являются углы, ордината (координата y) которых равна $\frac{\sqrt{3}}{2}$.
Эти углы равны $t_1 = \arcsin\left(\frac{\sqrt{3}}{2}\right) = \frac{\pi}{3}$ и $t_2 = \pi - \arcsin\left(\frac{\sqrt{3}}{2}\right) = \pi - \frac{\pi}{3} = \frac{2\pi}{3}$.
Неравенство $\sin t > \frac{\sqrt{3}}{2}$ выполняется для тех углов $t$, ординаты которых на единичной окружности больше, чем $\frac{\sqrt{3}}{2}$. Это соответствует дуге окружности, расположенной выше прямой $y = \frac{\sqrt{3}}{2}$, то есть для углов между $\frac{\pi}{3}$ и $\frac{2\pi}{3}$.
Учитывая периодичность функции синус (период равен $2\pi$), общее решение неравенства записывается в виде двойного неравенства, к границам которого добавлено $2\pi k$, где $k$ — любое целое число ($k \in \mathbb{Z}$).
Таким образом, решение: $\frac{\pi}{3} + 2\pi k < t < \frac{2\pi}{3} + 2\pi k, k \in \mathbb{Z}$.
Ответ: $\frac{\pi}{3} + 2\pi k < t < \frac{2\pi}{3} + 2\pi k, k \in \mathbb{Z}$.
б) Решим неравенство $\sin t > -\frac{1}{2}$. Сначала найдем корни уравнения $\sin t = -\frac{1}{2}$.
На единичной окружности это углы $t_1 = \arcsin\left(-\frac{1}{2}\right) = -\frac{\pi}{6}$ и $t_2 = \pi - \left(-\frac{\pi}{6}\right) = \frac{7\pi}{6}$.
Неравенство $\sin t > -\frac{1}{2}$ выполняется для углов, ординаты которых на единичной окружности больше $-\frac{1}{2}$. Это соответствует дуге, расположенной выше прямой $y = -\frac{1}{2}$. Двигаясь по окружности против часовой стрелки, мы видим, что это дуга от точки $-\frac{\pi}{6}$ до точки $\frac{7\pi}{6}$.
С учетом периода функции синус, равного $2\pi$, общее решение имеет вид: $-\frac{\pi}{6} + 2\pi k < t < \frac{7\pi}{6} + 2\pi k, k \in \mathbb{Z}$.
Ответ: $-\frac{\pi}{6} + 2\pi k < t < \frac{7\pi}{6} + 2\pi k, k \in \mathbb{Z}$.
в) Чтобы решить неравенство $\sin t < \frac{\sqrt{3}}{2}$, воспользуемся решением пункта а). Уравнение $\sin t = \frac{\sqrt{3}}{2}$ имеет корни $t = \frac{\pi}{3}$ и $t = \frac{2\pi}{3}$ (на одном обороте).
Нас интересуют углы, для которых ордината на единичной окружности меньше $\frac{\sqrt{3}}{2}$. Это соответствует дуге окружности, расположенной ниже прямой $y = \frac{\sqrt{3}}{2}$.
Эта дуга начинается от угла $\frac{2\pi}{3}$ и, двигаясь против часовой стрелки, заканчивается в угле $\frac{\pi}{3}$ на следующем обороте, то есть в угле $\frac{\pi}{3} + 2\pi = \frac{7\pi}{3}$. Таким образом, получаем интервал $\left(\frac{2\pi}{3}; \frac{7\pi}{3}\right)$.
Учитывая периодичность, добавляем $2\pi k$ к границам интервала.
Решение: $\frac{2\pi}{3} + 2\pi k < t < \frac{7\pi}{3} + 2\pi k, k \in \mathbb{Z}$. Можно записать это и в другом виде, используя отрицательный угол: $\frac{2\pi}{3} - 2\pi = -\frac{4\pi}{3}$. Тогда интервал будет $\left(-\frac{4\pi}{3}; \frac{\pi}{3}\right)$.
Ответ: $-\frac{4\pi}{3} + 2\pi k < t < \frac{\pi}{3} + 2\pi k, k \in \mathbb{Z}$.
г) Решим неравенство $\sin t \le -\frac{1}{2}$. Сначала найдем решения уравнения $\sin t = -\frac{1}{2}$.
Как и в пункте б), это углы $t_1 = -\frac{\pi}{6}$ и $t_2 = \frac{7\pi}{6}$. Также можно представить $t_2$ в виде отрицательного угла, вычтя $2\pi$: $\frac{7\pi}{6} - 2\pi = -\frac{5\pi}{6}$.
Неравенство $\sin t \le -\frac{1}{2}$ выполняется для углов, ординаты которых на единичной окружности меньше или равны $-\frac{1}{2}$. Это соответствует дуге, расположенной на и ниже прямой $y = -\frac{1}{2}$.
На промежутке от $-\pi$ до $\pi$ это дуга от $-\frac{5\pi}{6}$ до $-\frac{\pi}{6}$ включительно. Таким образом, получаем отрезок $\left[-\frac{5\pi}{6}, -\frac{\pi}{6}\right]$.
Добавляя период $2\pi k$, получаем общее решение.
Решение: $-\frac{5\pi}{6} + 2\pi k \le t \le -\frac{\pi}{6} + 2\pi k, k \in \mathbb{Z}$.
Ответ: $-\frac{5\pi}{6} + 2\pi k \le t \le -\frac{\pi}{6} + 2\pi k, k \in \mathbb{Z}$.
№16.13 (с. 49)
Условие. №16.13 (с. 49)
скриншот условия

Сколько корней имеет заданное уравнение на заданном промежутке:
16.13 a) $sin x = 0,6, x \in \left[\frac{\pi}{4}; 3\pi\right];$
б) $sin x = -\frac{2}{3}, x \in (2; 7)?$
Решение 1. №16.13 (с. 49)

Решение 2. №16.13 (с. 49)

Решение 3. №16.13 (с. 49)

Решение 5. №16.13 (с. 49)

Решение 6. №16.13 (с. 49)
а) Требуется найти количество корней уравнения $sin(x) = 0,6$ на промежутке $x \in [\frac{\pi}{4}; 3\pi]$.
Для решения задачи проанализируем поведение функции $y = \sin(x)$ на заданном промежутке. Для начала оценим значения синуса на концах промежутка:
- При $x = \frac{\pi}{4}$, значение синуса равно $\sin(\frac{\pi}{4}) = \frac{\sqrt{2}}{2} \approx 0,707$.
- При $x = 3\pi$, значение синуса равно $\sin(3\pi) = 0$.
Разобьем заданный промежуток $[\frac{\pi}{4}; 3\pi]$ на участки монотонности функции $\sin(x)$:
- Промежуток $[\frac{\pi}{4}; \frac{\pi}{2}]$.
На этом участке функция $\sin(x)$ возрастает от $\sin(\frac{\pi}{4}) \approx 0,707$ до $\sin(\frac{\pi}{2}) = 1$. Поскольку все значения функции на этом участке больше $0,6$, то корней здесь нет. - Промежуток $(\frac{\pi}{2}; \pi]$.
На этом участке функция $\sin(x)$ убывает от $1$ до $0$. Так как $0 < 0,6 < 1$, функция $\sin(x)$ пересекает прямую $y = 0,6$ ровно один раз. Следовательно, здесь есть один корень. - Промежуток $(\pi; 2\pi]$.
На этом участке функция $\sin(x)$ принимает неположительные значения (от $0$ до $-1$ и обратно до $0$). Так как $0,6 > 0$, корней здесь нет. - Промежуток $(2\pi; \frac{5\pi}{2}]$.
На этом участке функция $\sin(x)$ возрастает от $0$ до $1$. Так как $0 < 0,6 < 1$, функция $\sin(x)$ пересекает прямую $y = 0,6$ ровно один раз. Здесь есть один корень. - Промежуток $(\frac{5\pi}{2}; 3\pi]$.
На этом участке функция $\sin(x)$ убывает от $1$ до $0$. Так как $0 < 0,6 < 1$, функция $\sin(x)$ пересекает прямую $y = 0,6$ ровно один раз. Здесь есть один корень.
Суммируя количество корней на каждом участке, получаем: $0 + 1 + 0 + 1 + 1 = 3$.
Ответ: 3.
б) Требуется найти количество корней уравнения $\sin(x) = -\frac{2}{3}$ на промежутке $x \in (2; 7)$.
Для решения задачи сопоставим числовой промежуток $(2; 7)$ с характерными точками тригонометрической окружности, используя приближенное значение $\pi \approx 3,14$:
- $\frac{\pi}{2} \approx 1,57$
- $\pi \approx 3,14$
- $\frac{3\pi}{2} \approx 4,71$
- $2\pi \approx 6,28$
- $\frac{5\pi}{2} \approx 7,85$
Отсюда видно, что:
- $2$ радиана находятся в промежутке $(\frac{\pi}{2}; \pi)$, то есть во второй четверти, где синус положителен.
- $7$ радиан находятся в промежутке $(2\pi; \frac{5\pi}{2})$, то есть в первой четверти нового оборота, где синус также положителен.
Уравнение $\sin(x) = -\frac{2}{3}$ имеет корни только тогда, когда $\sin(x)$ отрицателен, что соответствует третьей и четвертой четвертям, то есть промежутку $(\pi; 2\pi)$.
Проверим, как наш интервал $(2; 7)$ пересекается с промежутком $(\pi; 2\pi)$: Поскольку $2 < \pi \approx 3,14$ и $2\pi \approx 6,28 < 7$, то весь промежуток $(\pi; 2\pi)$ полностью содержится внутри заданного интервала $(2; 7)$.
Теперь найдем количество корней на промежутке $(\pi; 2\pi)$:
- На промежутке $(\pi; \frac{3\pi}{2})$ функция $\sin(x)$ убывает от $0$ до $-1$. Так как $-1 < -\frac{2}{3} < 0$, на этом участке есть ровно один корень.
- На промежутке $(\frac{3\pi}{2}; 2\pi)$ функция $\sin(x)$ возрастает от $-1$ до $0$. Так как $-1 < -\frac{2}{3} < 0$, на этом участке также есть ровно один корень.
Вне промежутка $(\pi; 2\pi)$, но внутри $(2; 7)$, то есть на участках $(2; \pi)$ и $(2\pi; 7)$, функция $\sin(x)$ положительна, а значит, корней уравнения $\sin(x) = -\frac{2}{3}$ там нет.
Общее количество корней равно $1 + 1 = 2$.
Ответ: 2.
№16.18 (с. 49)
Условие. №16.18 (с. 49)
скриншот условия

16.18 a) $\sin t < \frac{1}{3}$;
б) $\sin t \ge -0.6$;
В) $\sin t \ge \frac{1}{3}$;
Г) $\sin t < -0.6$.
Решение 1. №16.18 (с. 49)

Решение 2. №16.18 (с. 49)


Решение 3. №16.18 (с. 49)

Решение 5. №16.18 (с. 49)



Решение 6. №16.18 (с. 49)
а) $ \sin t < \frac{1}{3} $
Для решения данного тригонометрического неравенства воспользуемся единичной окружностью. Сначала найдем значения $t$, для которых выполняется равенство $ \sin t = \frac{1}{3} $. На одном обороте ($[0, 2\pi)$) это углы $ t_1 = \arcsin\left(\frac{1}{3}\right) $ (в первой координатной четверти) и $ t_2 = \pi - \arcsin\left(\frac{1}{3}\right) $ (во второй координатной четверти).
На единичной окружности значение $ \sin t $ соответствует ординате (координате y) точки, отвечающей углу $t$. Неравенство $ \sin t < \frac{1}{3} $ будет выполняться для тех точек на окружности, ордината которых меньше $ \frac{1}{3} $. Геометрически это соответствует дуге окружности, которая расположена ниже горизонтальной прямой $ y = \frac{1}{3} $.
Двигаясь против часовой стрелки, эта дуга начинается от точки $ \pi - \arcsin\left(\frac{1}{3}\right) $ и заканчивается в точке $ \arcsin\left(\frac{1}{3}\right) $ на следующем обороте. Чтобы записать решение в виде одного интервала, можно использовать эквивалентные углы. Например, интервал $ \left(-\pi - \arcsin\left(\frac{1}{3}\right), \arcsin\left(\frac{1}{3}\right)\right) $ описывает искомое множество на одном из промежутков.
Так как функция синуса периодична с периодом $2\pi$, общее решение неравенства получается добавлением $2\pi k$ к границам найденного интервала, где $k$ — любое целое число.
Ответ: $ t \in \left(-\pi - \arcsin\left(\frac{1}{3}\right) + 2\pi k; \arcsin\left(\frac{1}{3}\right) + 2\pi k\right), k \in \mathbb{Z} $.
б) $ \sin t \ge -0,6 $
Сначала решим уравнение $ \sin t = -0,6 $. Его решениями являются $ t = \arcsin(-0,6) $ и $ t = \pi - \arcsin(-0,6) $. Используя свойство нечетности арксинуса $ \arcsin(-x) = -\arcsin(x) $, получаем два основных значения: $ t_1 = -\arcsin(0,6) $ (угол в четвертой четверти) и $ t_2 = \pi - (-\arcsin(0,6)) = \pi + \arcsin(0,6) $ (угол в третьей четверти).
Нам нужны все точки на единичной окружности, ордината (y) которых больше или равна $ -0,6 $. Это дуга окружности, расположенная на и выше прямой $ y = -0,6 $.
При движении против часовой стрелки эта дуга начинается в точке $ t_1 = -\arcsin(0,6) $ и заканчивается в точке $ t_2 = \pi + \arcsin(0,6) $.
С учетом периодичности функции синус, общее решение неравенства записывается в виде:
Ответ: $ t \in \left[-\arcsin(0,6) + 2\pi k; \pi + \arcsin(0,6) + 2\pi k\right], k \in \mathbb{Z} $.
в) $ \sin t \ge \frac{1}{3} $
Граничные точки интервала найдем из уравнения $ \sin t = \frac{1}{3} $. Как и в пункте а), это $ t_1 = \arcsin\left(\frac{1}{3}\right) $ и $ t_2 = \pi - \arcsin\left(\frac{1}{3}\right) $.
Нам нужны точки на единичной окружности, ордината которых больше или равна $ \frac{1}{3} $. Это соответствует дуге, расположенной на и выше прямой $ y = \frac{1}{3} $.
Эта дуга заключена между точками $ t_1 $ и $ t_2 $. При движении против часовой стрелки, интервал начинается в $ t_1 = \arcsin\left(\frac{1}{3}\right) $ и заканчивается в $ t_2 = \pi - \arcsin\left(\frac{1}{3}\right) $.
Добавляя период $2\pi$, получаем общее решение.
Ответ: $ t \in \left[\arcsin\left(\frac{1}{3}\right) + 2\pi k; \pi - \arcsin\left(\frac{1}{3}\right) + 2\pi k\right], k \in \mathbb{Z} $.
г) $ \sin t < -0,6 $
Граничные точки найдем из уравнения $ \sin t = -0,6 $. Как и в пункте б), это $ t_1 = -\arcsin(0,6) $ и $ t_2 = \pi + \arcsin(0,6) $.
Нам нужны точки на единичной окружности, ордината которых строго меньше $ -0,6 $. Это соответствует дуге, расположенной под прямой $ y = -0,6 $.
При движении против часовой стрелки, эта дуга начинается в точке $ t_2 = \pi + \arcsin(0,6) $ и заканчивается в точке $ t_1 $. Чтобы интервал был возрастающим, представим $t_1$ на следующем обороте: $ t_1' = -\arcsin(0,6) + 2\pi = 2\pi - \arcsin(0,6) $.
Таким образом, с учетом периодичности, общее решение неравенства:
Ответ: $ t \in \left(\pi + \arcsin(0,6) + 2\pi k; 2\pi - \arcsin(0,6) + 2\pi k\right), k \in \mathbb{Z} $.
№16.14 (с. 49)
Условие. №16.14 (с. 49)
скриншот условия

16.14 а) $\cos x = \frac{1}{3}, x \in (1; 6);$
б) $\cos x = -0.4, x \in (3; 11)?$
Решение 1. №16.14 (с. 49)

Решение 2. №16.14 (с. 49)

Решение 3. №16.14 (с. 49)

Решение 5. №16.14 (с. 49)

Решение 6. №16.14 (с. 49)
а) Требуется найти корни уравнения $ \cos x = \frac{1}{3} $ на интервале $ x \in (1; 6) $.
Общее решение уравнения $ \cos x = a $ имеет вид $ x = \pm \arccos(a) + 2\pi k $, где $ k \in \mathbb{Z} $.
В нашем случае общее решение: $ x = \pm \arccos(\frac{1}{3}) + 2\pi k $.
Для решения задачи оценим значения $ \pi $ и $ \arccos(\frac{1}{3}) $.
$ \pi \approx 3,14 $, следовательно, $ 2\pi \approx 6,28 $.
Поскольку $ 0 < \frac{1}{3} < \frac{1}{2} $, то $ \arccos(0) > \arccos(\frac{1}{3}) > \arccos(\frac{1}{2}) $, то есть $ \frac{\pi}{2} > \arccos(\frac{1}{3}) > \frac{\pi}{3} $.
Приближенно $ 1,57 > \arccos(\frac{1}{3}) > 1,05 $. Таким образом, $ \arccos(\frac{1}{3}) $ находится в заданном интервале $ (1; 6) $.
Рассмотрим две серии корней:
1. Первая серия: $ x = \arccos(\frac{1}{3}) + 2\pi k $.
При $ k = 0 $, $ x_1 = \arccos(\frac{1}{3}) $. Так как $ 1 < \arccos(\frac{1}{3}) < 2 $, этот корень принадлежит интервалу $ (1; 6) $.
При $ k = 1 $, $ x = \arccos(\frac{1}{3}) + 2\pi \approx 1,23 + 6,28 = 7,51 $, что больше 6.
При $ k = -1 $, $ x = \arccos(\frac{1}{3}) - 2\pi \approx 1,23 - 6,28 = -5,05 $, что меньше 1.
2. Вторая серия: $ x = -\arccos(\frac{1}{3}) + 2\pi k $.
При $ k = 0 $, $ x = -\arccos(\frac{1}{3}) \approx -1,23 $, что меньше 1.
При $ k = 1 $, $ x_2 = -\arccos(\frac{1}{3}) + 2\pi = 2\pi - \arccos(\frac{1}{3}) \approx 6,28 - 1,23 = 5,05 $. Этот корень принадлежит интервалу $ (1; 6) $.
При $ k = 2 $, $ x = -\arccos(\frac{1}{3}) + 4\pi \approx -1,23 + 12,56 = 11,33 $, что больше 6.
Таким образом, на заданном интервале есть два корня.
Ответ: $ \arccos(\frac{1}{3}); 2\pi - \arccos(\frac{1}{3}) $.
б) Требуется найти количество корней уравнения $ \cos x = -0,4 $ на интервале $ x \in (3; 11) $.
Общее решение уравнения: $ x = \pm \arccos(-0,4) + 2\pi k $, где $ k \in \mathbb{Z} $.
Используем свойство арккосинуса: $ \arccos(-a) = \pi - \arccos(a) $.
Тогда $ \arccos(-0,4) = \pi - \arccos(0,4) $.
Оценим значение $ \arccos(-0,4) $. Поскольку $ -1 < -0,4 < 0 $, то $ \pi > \arccos(-0,4) > \frac{\pi}{2} $.
Приближенно: $ 3,14 > \arccos(-0,4) > 1,57 $. Конкретнее, $ \arccos(-0,4) \approx 1,98 $.
Рассмотрим две серии корней и отберем те, что попадают в интервал $ (3; 11) $.
1. Первая серия: $ x = \arccos(-0,4) + 2\pi k $.
Подставим $ x $ в неравенство $ 3 < x < 11 $:
$ 3 < \arccos(-0,4) + 2\pi k < 11 $
$ 3 - \arccos(-0,4) < 2\pi k < 11 - \arccos(-0,4) $
Подставим приближенное значение $ \arccos(-0,4) \approx 1,98 $ и $ 2\pi \approx 6,28 $:
$ 3 - 1,98 < 6,28 k < 11 - 1,98 $
$ 1,02 < 6,28 k < 9,02 $
$ \frac{1,02}{6,28} < k < \frac{9,02}{6,28} $
$ 0,16 < k < 1,43 $
Единственное целое значение $ k $ в этом диапазоне — это $ k=1 $. Получаем один корень: $ x_1 = \arccos(-0,4) + 2\pi $.
2. Вторая серия: $ x = -\arccos(-0,4) + 2\pi k $.
Подставим $ x $ в неравенство $ 3 < x < 11 $:
$ 3 < -\arccos(-0,4) + 2\pi k < 11 $
$ 3 + \arccos(-0,4) < 2\pi k < 11 + \arccos(-0,4) $
Подставим приближенные значения:
$ 3 + 1,98 < 6,28 k < 11 + 1,98 $
$ 4,98 < 6,28 k < 12,98 $
$ \frac{4,98}{6,28} < k < \frac{12,98}{6,28} $
$ 0,79 < k < 2,06 $
Целые значения $ k $ в этом диапазоне — это $ k=1 $ и $ k=2 $. Получаем еще два корня: $ x_2 = -\arccos(-0,4) + 2\pi $ и $ x_3 = -\arccos(-0,4) + 4\pi $.
Всего найдено $ 1 + 2 = 3 $ корня.
Ответ: 3.
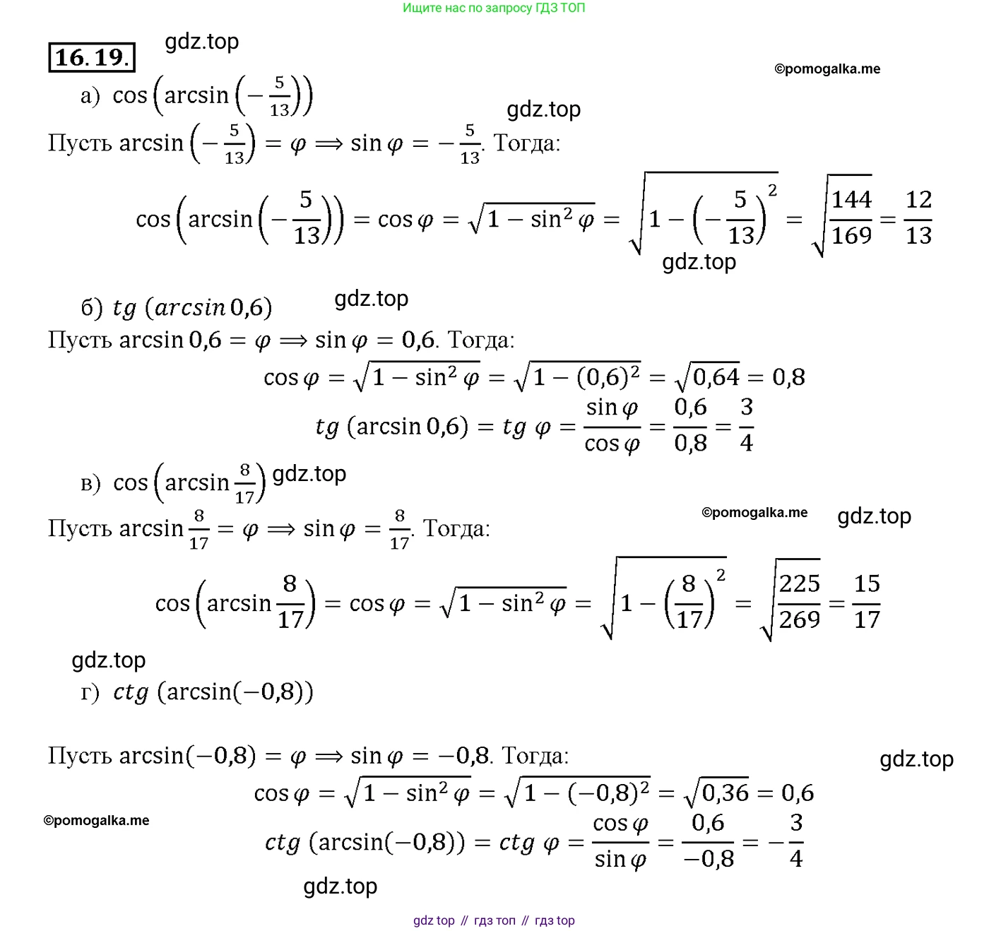
№16.19 (с. 49)
Условие. №16.19 (с. 49)
скриншот условия

16.19 a) $5 \sin^2 t > 11 \sin t + 12;$
б) $5 \sin^2 t \leq 11 \sin t + 12.$
Решение 1. №16.19 (с. 49)

Решение 2. №16.19 (с. 49)


Решение 3. №16.19 (с. 49)

Решение 5. №16.19 (с. 49)



Решение 6. №16.19 (с. 49)
а) $5\sin^2 t > 11\sin t + 12$
Перенесем все члены неравенства в левую часть:
$5\sin^2 t - 11\sin t - 12 > 0$
Сделаем замену переменной. Пусть $x = \sin t$. Так как область значений функции синус $[-1; 1]$, то $-1 \le x \le 1$.
Получаем квадратное неравенство относительно $x$:
$5x^2 - 11x - 12 > 0$
Найдем корни соответствующего квадратного уравнения $5x^2 - 11x - 12 = 0$.
Вычислим дискриминант: $D = b^2 - 4ac = (-11)^2 - 4 \cdot 5 \cdot (-12) = 121 + 240 = 361 = 19^2$.
Корни уравнения:
$x_1 = \frac{11 - 19}{2 \cdot 5} = \frac{-8}{10} = -0.8$
$x_2 = \frac{11 + 19}{2 \cdot 5} = \frac{30}{10} = 3$
Неравенство $5x^2 - 11x - 12 > 0$ выполняется, когда $x$ находится вне интервала между корнями, так как ветви параболы направлены вверх ($a=5>0$). То есть, $x < -0.8$ или $x > 3$.
Теперь учтем ограничение $-1 \le x \le 1$. Для этого решим систему:
$\begin{cases} x < -0.8 \text{ или } x > 3 \\ -1 \le x \le 1 \end{cases}$
Пересечение этих множеств дает нам промежуток $-1 \le x < -0.8$.
Возвращаемся к исходной переменной $t$:
$-1 \le \sin t < -0.8$
Решим это двойное неравенство с помощью единичной окружности. Нас интересуют точки на окружности, ордината ($y$-координата) которых находится в промежутке $[-1; -0.8)$.
Найдем углы, для которых $\sin t = -0.8$. Это $t = \arcsin(-0.8) + 2\pi n$ и $t = \pi - \arcsin(-0.8) + 2\pi n$, где $n \in \mathbb{Z}$.
Используя свойство нечетности арксинуса $\arcsin(-y) = -\arcsin(y)$, получаем:
$t = -\arcsin(0.8) + 2\pi n$ (угол в IV четверти)
$t = \pi + \arcsin(0.8) + 2\pi n$ (угол в III четверти)
Неравенство $\sin t < -0.8$ выполняется для углов, лежащих на дуге между точками $\pi + \arcsin(0.8)$ и $2\pi - \arcsin(0.8)$.
Условие $\sin t \ge -1$ выполняется для всех действительных $t$, поэтому решение двойного неравенства совпадает с решением неравенства $\sin t < -0.8$.
Таким образом, искомое множество значений $t$ представляет собой интервал, который повторяется с периодом $2\pi$.
Ответ: $t \in (\pi + \arcsin(0.8) + 2\pi n, 2\pi - \arcsin(0.8) + 2\pi n), n \in \mathbb{Z}$.
б) $5\sin^2 t \le 11\sin t + 12$
Перенесем все члены неравенства в левую часть:
$5\sin^2 t - 11\sin t - 12 \le 0$
Сделаем замену переменной. Пусть $x = \sin t$, при этом $-1 \le x \le 1$.
Получаем квадратное неравенство:
$5x^2 - 11x - 12 \le 0$
Из пункта а) мы знаем, что корни уравнения $5x^2 - 11x - 12 = 0$ равны $x_1 = -0.8$ и $x_2 = 3$.
Так как ветви параболы направлены вверх, неравенство $5x^2 - 11x - 12 \le 0$ выполняется, когда $x$ находится между корнями (включая их). То есть, $-0.8 \le x \le 3$.
Учитываем ограничение $-1 \le x \le 1$, решая систему:
$\begin{cases} -0.8 \le x \le 3 \\ -1 \le x \le 1 \end{cases}$
Пересечение этих множеств дает нам промежуток $-0.8 \le x \le 1$.
Возвращаемся к исходной переменной $t$:
$-0.8 \le \sin t \le 1$
Неравенство $\sin t \le 1$ выполняется для всех действительных значений $t$.
Следовательно, нам нужно решить только неравенство $\sin t \ge -0.8$.
На единичной окружности это соответствует точкам, ордината которых больше или равна $-0.8$.
Граничные точки соответствуют углам $t$, для которых $\sin t = -0.8$. Как мы нашли в пункте а), это $t_1 = -\arcsin(0.8)$ и $t_2 = \pi + \arcsin(0.8)$.
Решением неравенства $\sin t \ge -0.8$ является дуга, начинающаяся в точке $-\arcsin(0.8)$, проходящая через $\pi/2$ и заканчивающаяся в точке $\pi + \arcsin(0.8)$.
Таким образом, решение представляет собой отрезок, повторяющийся с периодом $2\pi$.
Ответ: $t \in [-\arcsin(0.8) + 2\pi n, \pi + \arcsin(0.8) + 2\pi n], n \in \mathbb{Z}$.
№16.15 (с. 49)
Условие. №16.15 (с. 49)
скриншот условия

Решите уравнение:
16.15 а) $(2 \cos x + 1)(2 \sin x - \sqrt{3}) = 0;$
б) $2 \cos x - 3 \sin x \cos x = 0;$
в) $4 \sin^2 x - 3 \sin x = 0;$
г) $2 \sin^2 x - 1 = 0.$
Решение 1. №16.15 (с. 49)

Решение 2. №16.15 (с. 49)



Решение 3. №16.15 (с. 49)

Решение 5. №16.15 (с. 49)



Решение 6. №16.15 (с. 49)
а) $(2 \cos x + 1)(2 \sin x - \sqrt{3}) = 0$
Произведение двух множителей равно нулю, если хотя бы один из них равен нулю. Поэтому данное уравнение равносильно совокупности двух уравнений:
1) $2 \cos x + 1 = 0$
$2 \cos x = -1$
$\cos x = -\frac{1}{2}$
Решением этого уравнения является серия корней:
$x = \pm \arccos(-\frac{1}{2}) + 2\pi n, \quad n \in \mathbb{Z}$
$x = \pm \frac{2\pi}{3} + 2\pi n, \quad n \in \mathbb{Z}$
2) $2 \sin x - \sqrt{3} = 0$
$2 \sin x = \sqrt{3}$
$\sin x = \frac{\sqrt{3}}{2}$
Решением этого уравнения является серия корней:
$x = (-1)^k \arcsin(\frac{\sqrt{3}}{2}) + \pi k, \quad k \in \mathbb{Z}$
$x = (-1)^k \frac{\pi}{3} + \pi k, \quad k \in \mathbb{Z}$
Объединяя решения, получаем ответ.
Ответ: $x = \pm \frac{2\pi}{3} + 2\pi n, n \in \mathbb{Z}$; $x = (-1)^k \frac{\pi}{3} + \pi k, k \in \mathbb{Z}$.
б) $2 \cos x - 3 \sin x \cos x = 0$
Вынесем общий множитель $\cos x$ за скобки:
$\cos x (2 - 3 \sin x) = 0$
Произведение равно нулю, если один из множителей равен нулю. Рассматриваем два случая:
1) $\cos x = 0$
Решением этого уравнения является серия корней:
$x = \frac{\pi}{2} + \pi n, \quad n \in \mathbb{Z}$
2) $2 - 3 \sin x = 0$
$3 \sin x = 2$
$\sin x = \frac{2}{3}$
Решением этого уравнения является серия корней:
$x = (-1)^k \arcsin(\frac{2}{3}) + \pi k, \quad k \in \mathbb{Z}$
Ответ: $x = \frac{\pi}{2} + \pi n, n \in \mathbb{Z}$; $x = (-1)^k \arcsin(\frac{2}{3}) + \pi k, k \in \mathbb{Z}$.
в) $4 \sin^2 x - 3 \sin x = 0$
Вынесем общий множитель $\sin x$ за скобки:
$\sin x (4 \sin x - 3) = 0$
Произведение равно нулю, если один из множителей равен нулю. Рассматриваем два случая:
1) $\sin x = 0$
Решением этого уравнения является серия корней:
$x = \pi n, \quad n \in \mathbb{Z}$
2) $4 \sin x - 3 = 0$
$4 \sin x = 3$
$\sin x = \frac{3}{4}$
Решением этого уравнения является серия корней:
$x = (-1)^k \arcsin(\frac{3}{4}) + \pi k, \quad k \in \mathbb{Z}$
Ответ: $x = \pi n, n \in \mathbb{Z}$; $x = (-1)^k \arcsin(\frac{3}{4}) + \pi k, k \in \mathbb{Z}$.
г) $2 \sin^2 x - 1 = 0$
Преобразуем уравнение. Можно выразить $\sin^2 x$, но удобнее использовать формулу косинуса двойного угла: $\cos(2x) = 1 - 2\sin^2 x$.
Умножим исходное уравнение на -1:
$-(2 \sin^2 x - 1) = 0$
$1 - 2 \sin^2 x = 0$
Заменяем левую часть по формуле:
$\cos(2x) = 0$
Это частный случай тригонометрического уравнения. Решаем его:
$2x = \frac{\pi}{2} + \pi n, \quad n \in \mathbb{Z}$
Разделим обе части на 2, чтобы найти $x$:
$x = \frac{\pi}{4} + \frac{\pi n}{2}, \quad n \in \mathbb{Z}$
Ответ: $x = \frac{\pi}{4} + \frac{\pi n}{2}, n \in \mathbb{Z}$.
№16.20 (с. 49)
Условие. №16.20 (с. 49)
скриншот условия

16.20 a) $6 \cos^2 t + \sin t > 4$;
б) $6 \cos^2 t + \sin t \le 4$.
Решение 2. №16.20 (с. 49)


Решение 5. №16.20 (с. 49)




Решение 6. №16.20 (с. 49)
а) $6\cos^2t + \sin t > 4$
Используем основное тригонометрическое тождество $\cos^2t = 1 - \sin^2t$, чтобы привести неравенство к одной функции:
$6(1 - \sin^2t) + \sin t > 4$
Раскроем скобки и упростим:
$6 - 6\sin^2t + \sin t > 4$
Перенесем все члены в левую часть:
$-6\sin^2t + \sin t + 2 > 0$
Умножим обе части на -1, изменив знак неравенства на противоположный, чтобы коэффициент при старшем члене стал положительным:
$6\sin^2t - \sin t - 2 < 0$
Сделаем замену переменной. Пусть $x = \sin t$. Поскольку область значений синуса $[-1, 1]$, то $x \in [-1, 1]$. Неравенство принимает вид:
$6x^2 - x - 2 < 0$
Найдем корни соответствующего квадратного уравнения $6x^2 - x - 2 = 0$ с помощью дискриминанта.
Дискриминант $D = b^2 - 4ac = (-1)^2 - 4 \cdot 6 \cdot (-2) = 1 + 48 = 49 = 7^2$.
Корни уравнения:
$x_1 = \frac{-b - \sqrt{D}}{2a} = \frac{1 - 7}{12} = \frac{-6}{12} = -\frac{1}{2}$
$x_2 = \frac{-b + \sqrt{D}}{2a} = \frac{1 + 7}{12} = \frac{8}{12} = \frac{2}{3}$
Графиком функции $y = 6x^2 - x - 2$ является парабола с ветвями, направленными вверх. Неравенство $6x^2 - x - 2 < 0$ выполняется на интервале между корнями:
$-\frac{1}{2} < x < \frac{2}{3}$
Оба значения, $-\frac{1}{2}$ и $\frac{2}{3}$, находятся в пределах отрезка $[-1, 1]$, поэтому это допустимый интервал для $x = \sin t$.
Возвращаемся к исходной переменной $t$:
$-\frac{1}{2} < \sin t < \frac{2}{3}$
Решим это двойное неравенство. Нам нужно найти углы $t$, для которых значение синуса находится в интервале $(-\frac{1}{2}, \frac{2}{3})$. На единичной окружности это соответствует дугам, где ордината точки находится между $-\frac{1}{2}$ и $\frac{2}{3}$.
Это два интервала за один оборот:
1. От угла $-\frac{\pi}{6}$ (синус которого равен $-\frac{1}{2}$) до угла $\arcsin(\frac{2}{3})$ (синус которого равен $\frac{2}{3}$). С учетом периодичности: $(-\frac{\pi}{6} + 2\pi k, \arcsin(\frac{2}{3}) + 2\pi k)$.
2. От угла $\pi - \arcsin(\frac{2}{3})$ до угла $\frac{7\pi}{6}$. С учетом периодичности: $(\pi - \arcsin(\frac{2}{3}) + 2\pi k, \frac{7\pi}{6} + 2\pi k)$.
Объединяя эти два семейства интервалов, получаем окончательное решение.
Ответ: $(-\frac{\pi}{6} + 2\pi k, \arcsin(\frac{2}{3}) + 2\pi k) \cup (\pi - \arcsin(\frac{2}{3}) + 2\pi k, \frac{7\pi}{6} + 2\pi k)$, где $k \in \mathbb{Z}$.
б) $6\cos^2t + \sin t \le 4$
Преобразования этого неравенства аналогичны тем, что были в пункте а).
Используем тождество $\cos^2t = 1 - \sin^2t$:
$6(1 - \sin^2t) + \sin t \le 4$
$6 - 6\sin^2t + \sin t - 4 \le 0$
$-6\sin^2t + \sin t + 2 \le 0$
Умножим на -1 и изменим знак неравенства:
$6\sin^2t - \sin t - 2 \ge 0$
Сделаем замену $x = \sin t$, где $x \in [-1, 1]$:
$6x^2 - x - 2 \ge 0$
Корни уравнения $6x^2 - x - 2 = 0$ равны $x_1 = -\frac{1}{2}$ и $x_2 = \frac{2}{3}$.
Так как ветви параболы $y = 6x^2 - x - 2$ направлены вверх, неравенство $6x^2 - x - 2 \ge 0$ выполняется, когда $x$ находится вне интервала между корнями, включая сами корни:
$x \le -\frac{1}{2}$ или $x \ge \frac{2}{3}$
Производим обратную замену:
$\sin t \le -\frac{1}{2}$ или $\sin t \ge \frac{2}{3}$
Решим каждое из этих неравенств отдельно, учитывая, что $-1 \le \sin t \le 1$.
1. Решим неравенство $\sin t \ge \frac{2}{3}$. На единичной окружности это соответствует дуге, заключенной между углами $\arcsin(\frac{2}{3})$ и $\pi - \arcsin(\frac{2}{3})$. С учетом периодичности, решение: $[\arcsin(\frac{2}{3}) + 2\pi k, \pi - \arcsin(\frac{2}{3}) + 2\pi k]$.
2. Решим неравенство $\sin t \le -\frac{1}{2}$. На единичной окружности это соответствует дуге, заключенной между углами $\frac{7\pi}{6}$ и $\frac{11\pi}{6}$. С учетом периодичности, решение: $[\frac{7\pi}{6} + 2\pi k, \frac{11\pi}{6} + 2\pi k]$.
Объединяя решения обоих неравенств, получаем итоговый ответ.
Ответ: $[\arcsin(\frac{2}{3}) + 2\pi k, \pi - \arcsin(\frac{2}{3}) + 2\pi k] \cup [\frac{7\pi}{6} + 2\pi k, \frac{11\pi}{6} + 2\pi k]$, где $k \in \mathbb{Z}$.
№16.16 (с. 49)
Условие. №16.16 (с. 49)
скриншот условия

16.16 a) $6\sin^2 x + \sin x = 2;$
б) $3\cos^2 x = 7(\sin x + 1).$
Решение 1. №16.16 (с. 49)

Решение 2. №16.16 (с. 49)


Решение 3. №16.16 (с. 49)

Решение 5. №16.16 (с. 49)


Решение 6. №16.16 (с. 49)
а) $6\sin^2x + \sin x = 2$
Перенесем все члены уравнения в левую часть, чтобы получить квадратное уравнение относительно $\sin x$:
$6\sin^2x + \sin x - 2 = 0$
Сделаем замену переменной. Пусть $t = \sin x$. Так как область значений функции синус от -1 до 1 включительно, то должно выполняться условие $|t| \le 1$.
Получаем квадратное уравнение:
$6t^2 + t - 2 = 0$
Найдем корни этого уравнения с помощью дискриминанта:
$D = b^2 - 4ac = 1^2 - 4 \cdot 6 \cdot (-2) = 1 + 48 = 49 = 7^2$
$t_1 = \frac{-b + \sqrt{D}}{2a} = \frac{-1 + 7}{2 \cdot 6} = \frac{6}{12} = \frac{1}{2}$
$t_2 = \frac{-b - \sqrt{D}}{2a} = \frac{-1 - 7}{2 \cdot 6} = \frac{-8}{12} = -\frac{2}{3}$
Оба корня удовлетворяют условию $|t| \le 1$.
Вернемся к замене:
1) $\sin x = \frac{1}{2}$
Решения этого уравнения имеют вид:
$x = (-1)^n \arcsin\left(\frac{1}{2}\right) + \pi n, n \in \mathbb{Z}$
$x = (-1)^n \frac{\pi}{6} + \pi n, n \in \mathbb{Z}$
2) $\sin x = -\frac{2}{3}$
Решения этого уравнения имеют вид:
$x = (-1)^k \arcsin\left(-\frac{2}{3}\right) + \pi k, k \in \mathbb{Z}$
Используя свойство нечетности арксинуса $\arcsin(-a) = -\arcsin(a)$, получаем:
$x = -(-1)^k \arcsin\left(\frac{2}{3}\right) + \pi k = (-1)^{k+1} \arcsin\left(\frac{2}{3}\right) + \pi k, k \in \mathbb{Z}$
Ответ: $x = (-1)^n \frac{\pi}{6} + \pi n, n \in \mathbb{Z}$; $x = (-1)^{k+1} \arcsin\frac{2}{3} + \pi k, k \in \mathbb{Z}$.
б) $3\cos^2x = 7(\sin x + 1)$
Используем основное тригонометрическое тождество $\cos^2x = 1 - \sin^2x$, чтобы привести уравнение к одной функции $\sin x$.
$3(1 - \sin^2x) = 7(\sin x + 1)$
Раскроем скобки:
$3 - 3\sin^2x = 7\sin x + 7$
Перенесем все члены в правую часть и приведем подобные слагаемые:
$0 = 3\sin^2x + 7\sin x + 7 - 3$
$3\sin^2x + 7\sin x + 4 = 0$
Сделаем замену переменной. Пусть $y = \sin x$, где $|y| \le 1$.
$3y^2 + 7y + 4 = 0$
Найдем корни этого квадратного уравнения:
$D = b^2 - 4ac = 7^2 - 4 \cdot 3 \cdot 4 = 49 - 48 = 1$
$y_1 = \frac{-b + \sqrt{D}}{2a} = \frac{-7 + 1}{2 \cdot 3} = \frac{-6}{6} = -1$
$y_2 = \frac{-b - \sqrt{D}}{2a} = \frac{-7 - 1}{2 \cdot 3} = \frac{-8}{6} = -\frac{4}{3}$
Проверим корни на соответствие условию $|y| \le 1$.
Корень $y_1 = -1$ удовлетворяет условию.
Корень $y_2 = -\frac{4}{3}$ не удовлетворяет условию, так как $-\frac{4}{3} < -1$. Этот корень является посторонним.
Возвращаемся к замене с единственным подходящим корнем:
$\sin x = -1$
Это частный случай тригонометрического уравнения, решение которого:
$x = -\frac{\pi}{2} + 2\pi n, n \in \mathbb{Z}$
Ответ: $x = -\frac{\pi}{2} + 2\pi n, n \in \mathbb{Z}$.
Помогло решение? Оставьте отзыв в комментариях ниже.