Страница 53, часть 2 - гдз по алгебре 10-11 класс задачник часть 1, 2 Мордкович, Семенов


Авторы: Мордкович А. Г., Семенов П. В., Денищева Л. О., Корешкова Т. А., Мишустина Т. Н., Тульчинская Е. Е.
Тип: Задачник
Издательство: Мнемозина
Год издания: 2019 - 2025
Уровень обучения: базовый
Часть: 2
Цвет обложки:
ISBN: 978-5-346-04509-0 (общ.), 978-5-346-04510-6 (ч. 1), 978-5-346-04511-3 (ч. 2)
Рекомендовано Министерством образования и науки Российской Федерации
Математика: алгебра и начала математического анализа, геометрия
Популярные ГДЗ в 10 классе
ч. 2. Cтраница 53

№18.5 (с. 53)
Условие. №18.5 (с. 53)
скриншот условия

18.5 a) $ \sin \left( \frac{\pi}{2} + t \right) - \cos (\pi + t) = 1; $
б) $ \sin (\pi + t) + \sin (2\pi - t) - \cos \left( \frac{3\pi}{2} + t \right) + 1,5 = 0; $
в) $ \cos \left( \frac{\pi}{2} - t \right) - \sin (\pi + t) = \sqrt{2}; $
г) $ \sin (\pi + t) + \cos \left( \frac{\pi}{2} + t \right) = \sqrt{3}. $
Решение 1. №18.5 (с. 53)

Решение 2. №18.5 (с. 53)


Решение 3. №18.5 (с. 53)

Решение 5. №18.5 (с. 53)


Решение 6. №18.5 (с. 53)
а) $ \sin(\frac{\pi}{2} + t) - \cos(\pi + t) = 1 $
Для решения данного уравнения воспользуемся формулами приведения, которые позволяют упростить тригонометрические функции с аргументами вида $ \frac{\pi k}{2} \pm t $.
1. Упростим $ \sin(\frac{\pi}{2} + t) $. Точка $ \frac{\pi}{2} $ находится на оси ординат, поэтому синус меняется на косинус. Угол $ \frac{\pi}{2} + t $ (при малых $t > 0$) находится во второй четверти, где синус положителен. Следовательно, $ \sin(\frac{\pi}{2} + t) = \cos(t) $.
2. Упростим $ \cos(\pi + t) $. Точка $ \pi $ находится на оси абсцисс, поэтому функция не меняется. Угол $ \pi + t $ находится в третьей четверти, где косинус отрицателен. Следовательно, $ \cos(\pi + t) = -\cos(t) $.
Подставим упрощенные выражения в исходное уравнение:
$ \cos(t) - (-\cos(t)) = 1 $
$ \cos(t) + \cos(t) = 1 $
$ 2\cos(t) = 1 $
$ \cos(t) = \frac{1}{2} $
Это простейшее тригонометрическое уравнение. Его решения находятся по формуле $ t = \pm \arccos(a) + 2\pi n $, где $ a = \frac{1}{2} $ и $ n \in \mathbb{Z} $.
$ \arccos(\frac{1}{2}) = \frac{\pi}{3} $
Таким образом, $ t = \pm \frac{\pi}{3} + 2\pi n, n \in \mathbb{Z} $.
Ответ: $ t = \pm \frac{\pi}{3} + 2\pi n, n \in \mathbb{Z} $
б) $ \sin(\pi + t) + \sin(2\pi - t) - \cos(\frac{3\pi}{2} + t) + 1,5 = 0 $
Применим формулы приведения для каждого слагаемого:
1. $ \sin(\pi + t) = -\sin(t) $ (угол в III четверти, синус отрицательный).
2. $ \sin(2\pi - t) = -\sin(t) $ (угол в IV четверти, синус отрицательный).
3. $ \cos(\frac{3\pi}{2} + t) = \sin(t) $ (угол в IV четверти, косинус положительный; функция меняется на кофункцию).
Подставим полученные выражения в уравнение:
$ (-\sin(t)) + (-\sin(t)) - (\sin(t)) + 1,5 = 0 $
$ -3\sin(t) + 1,5 = 0 $
$ -3\sin(t) = -1,5 $
$ \sin(t) = \frac{-1,5}{-3} = \frac{1}{2} $
Решения этого уравнения находятся по формуле $ t = (-1)^k \arcsin(a) + \pi k $, где $ a = \frac{1}{2} $ и $ k \in \mathbb{Z} $.
$ \arcsin(\frac{1}{2}) = \frac{\pi}{6} $
Таким образом, $ t = (-1)^k \frac{\pi}{6} + \pi k, k \in \mathbb{Z} $.
Ответ: $ t = (-1)^k \frac{\pi}{6} + \pi k, k \in \mathbb{Z} $
в) $ \cos(\frac{\pi}{2} - t) - \sin(\pi + t) = \sqrt{2} $
Снова используем формулы приведения:
1. $ \cos(\frac{\pi}{2} - t) = \sin(t) $ (угол в I четверти, косинус положительный; функция меняется на кофункцию).
2. $ \sin(\pi + t) = -\sin(t) $ (угол в III четверти, синус отрицательный).
Подставим упрощенные выражения в уравнение:
$ \sin(t) - (-\sin(t)) = \sqrt{2} $
$ \sin(t) + \sin(t) = \sqrt{2} $
$ 2\sin(t) = \sqrt{2} $
$ \sin(t) = \frac{\sqrt{2}}{2} $
Общее решение для данного уравнения:
$ t = (-1)^k \arcsin(\frac{\sqrt{2}}{2}) + \pi k, k \in \mathbb{Z} $
$ \arcsin(\frac{\sqrt{2}}{2}) = \frac{\pi}{4} $
Следовательно, $ t = (-1)^k \frac{\pi}{4} + \pi k, k \in \mathbb{Z} $.
Ответ: $ t = (-1)^k \frac{\pi}{4} + \pi k, k \in \mathbb{Z} $
г) $ \sin(\pi + t) + \cos(\frac{\pi}{2} + t) = \sqrt{3} $
Применяем формулы приведения:
1. $ \sin(\pi + t) = -\sin(t) $ (угол в III четверти, синус отрицательный).
2. $ \cos(\frac{\pi}{2} + t) = -\sin(t) $ (угол во II четверти, косинус отрицательный; функция меняется на кофункцию).
Подставляем в исходное уравнение:
$ -\sin(t) + (-\sin(t)) = \sqrt{3} $
$ -2\sin(t) = \sqrt{3} $
$ \sin(t) = -\frac{\sqrt{3}}{2} $
Общее решение этого уравнения имеет вид:
$ t = (-1)^k \arcsin(-\frac{\sqrt{3}}{2}) + \pi k, k \in \mathbb{Z} $
Так как $ \arcsin(-x) = -\arcsin(x) $, то $ \arcsin(-\frac{\sqrt{3}}{2}) = -\arcsin(\frac{\sqrt{3}}{2}) = -\frac{\pi}{3} $.
$ t = (-1)^k (-\frac{\pi}{3}) + \pi k = (-1)^{k+1} \frac{\pi}{3} + \pi k, k \in \mathbb{Z} $.
Ответ: $ t = (-1)^{k+1} \frac{\pi}{3} + \pi k, k \in \mathbb{Z} $
№18.6 (с. 53)
Условие. №18.6 (с. 53)
скриншот условия

Решите уравнение:
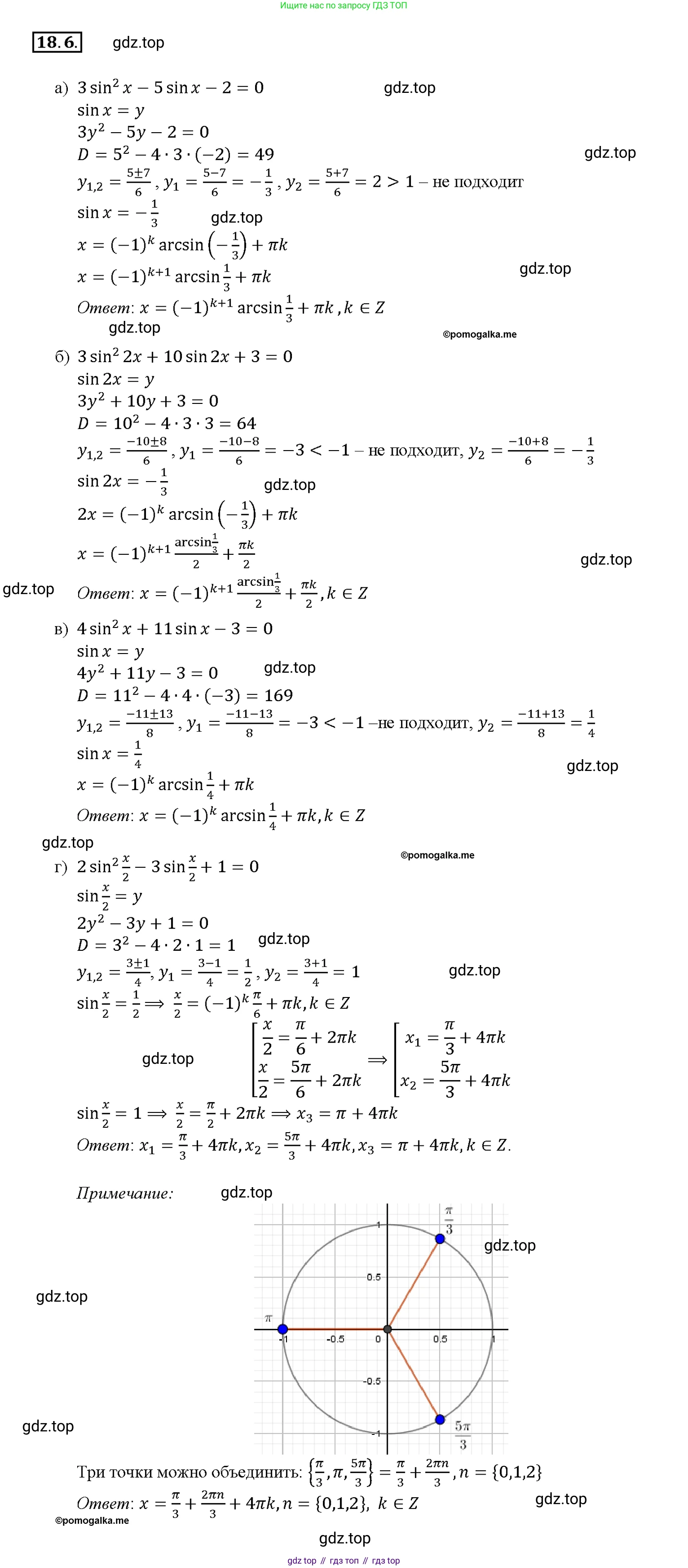
18.6 а) $3 \sin^2 x - 5 \sin x - 2 = 0;$
б) $3 \sin^2 2x + 10 \sin 2x + 3 = 0;$
в) $4 \sin^2 x + 11 \sin x - 3 = 0;$
г) $2 \sin^2 \frac{x}{2} - 3 \sin \frac{x}{2} + 1 = 0.$
Решение 1. №18.6 (с. 53)

Решение 2. №18.6 (с. 53)



Решение 3. №18.6 (с. 53)

Решение 5. №18.6 (с. 53)




Решение 6. №18.6 (с. 53)
а) $3\sin^2 x - 5\sin x - 2 = 0$
Данное уравнение является квадратным относительно $\sin x$. Выполним замену переменной. Пусть $t = \sin x$. При этом, поскольку область значений синуса $[-1; 1]$, то и $-1 \le t \le 1$.
Получаем квадратное уравнение:
$3t^2 - 5t - 2 = 0$
Решим его через дискриминант:
$D = b^2 - 4ac = (-5)^2 - 4 \cdot 3 \cdot (-2) = 25 + 24 = 49 = 7^2$
Находим корни для $t$:
$t_1 = \frac{-b + \sqrt{D}}{2a} = \frac{5 + 7}{2 \cdot 3} = \frac{12}{6} = 2$
$t_2 = \frac{-b - \sqrt{D}}{2a} = \frac{5 - 7}{2 \cdot 3} = \frac{-2}{6} = -\frac{1}{3}$
Корень $t_1 = 2$ не удовлетворяет условию $-1 \le t \le 1$, следовательно, он является посторонним.
Корень $t_2 = -\frac{1}{3}$ удовлетворяет этому условию. Выполняем обратную замену:
$\sin x = -\frac{1}{3}$
Решение этого простейшего тригонометрического уравнения записывается в виде:
$x = (-1)^k \arcsin(-\frac{1}{3}) + \pi k, \quad k \in \mathbb{Z}$
Так как $\arcsin(-a) = -\arcsin(a)$, то решение можно записать как:
$x = (-1)^{k+1} \arcsin(\frac{1}{3}) + \pi k, \quad k \in \mathbb{Z}$
Ответ: $x = (-1)^{k+1} \arcsin(\frac{1}{3}) + \pi k, \quad k \in \mathbb{Z}$.
б) $3\sin^2 2x + 10\sin 2x + 3 = 0$
Это уравнение является квадратным относительно $\sin 2x$. Сделаем замену переменной: пусть $t = \sin 2x$, где $-1 \le t \le 1$.
Получаем уравнение:
$3t^2 + 10t + 3 = 0$
Решаем его:
$D = 10^2 - 4 \cdot 3 \cdot 3 = 100 - 36 = 64 = 8^2$
$t_1 = \frac{-10 + 8}{2 \cdot 3} = \frac{-2}{6} = -\frac{1}{3}$
$t_2 = \frac{-10 - 8}{2 \cdot 3} = \frac{-18}{6} = -3$
Корень $t_2 = -3$ не удовлетворяет условию $-1 \le t \le 1$.
Корень $t_1 = -\frac{1}{3}$ подходит. Выполняем обратную замену:
$\sin 2x = -\frac{1}{3}$
Находим $2x$:
$2x = (-1)^k \arcsin(-\frac{1}{3}) + \pi k, \quad k \in \mathbb{Z}$
$2x = (-1)^{k+1} \arcsin(\frac{1}{3}) + \pi k, \quad k \in \mathbb{Z}$
Теперь выражаем $x$:
$x = \frac{(-1)^{k+1}}{2} \arcsin(\frac{1}{3}) + \frac{\pi k}{2}, \quad k \in \mathbb{Z}$
Ответ: $x = \frac{(-1)^{k+1}}{2} \arcsin(\frac{1}{3}) + \frac{\pi k}{2}, \quad k \in \mathbb{Z}$.
в) $4\sin^2 x + 11\sin x - 3 = 0$
Сделаем замену $t = \sin x$, где $-1 \le t \le 1$.
$4t^2 + 11t - 3 = 0$
Решим полученное квадратное уравнение:
$D = 11^2 - 4 \cdot 4 \cdot (-3) = 121 + 48 = 169 = 13^2$
$t_1 = \frac{-11 + 13}{2 \cdot 4} = \frac{2}{8} = \frac{1}{4}$
$t_2 = \frac{-11 - 13}{2 \cdot 4} = \frac{-24}{8} = -3$
Корень $t_2 = -3$ является посторонним, так как не входит в отрезок $[-1; 1]$.
Корень $t_1 = \frac{1}{4}$ подходит. Возвращаемся к замене:
$\sin x = \frac{1}{4}$
Решение этого уравнения:
$x = (-1)^k \arcsin(\frac{1}{4}) + \pi k, \quad k \in \mathbb{Z}$
Ответ: $x = (-1)^k \arcsin(\frac{1}{4}) + \pi k, \quad k \in \mathbb{Z}$.
г) $2\sin^2 \frac{x}{2} - 3\sin \frac{x}{2} + 1 = 0$
Сделаем замену $t = \sin \frac{x}{2}$, где $-1 \le t \le 1$.
$2t^2 - 3t + 1 = 0$
Решим это квадратное уравнение:
$D = (-3)^2 - 4 \cdot 2 \cdot 1 = 9 - 8 = 1 = 1^2$
$t_1 = \frac{3 + 1}{2 \cdot 2} = \frac{4}{4} = 1$
$t_2 = \frac{3 - 1}{2 \cdot 2} = \frac{2}{4} = \frac{1}{2}$
Оба корня, $t_1 = 1$ и $t_2 = \frac{1}{2}$, удовлетворяют условию $-1 \le t \le 1$. Поэтому рассмотрим два случая.
Случай 1: $\sin \frac{x}{2} = 1$
Это частный случай, решение которого:
$\frac{x}{2} = \frac{\pi}{2} + 2\pi k, \quad k \in \mathbb{Z}$
$x = \pi + 4\pi k, \quad k \in \mathbb{Z}$
Случай 2: $\sin \frac{x}{2} = \frac{1}{2}$
Решение:
$\frac{x}{2} = (-1)^n \arcsin(\frac{1}{2}) + \pi n, \quad n \in \mathbb{Z}$
$\frac{x}{2} = (-1)^n \frac{\pi}{6} + \pi n, \quad n \in \mathbb{Z}$
$x = (-1)^n \frac{\pi}{3} + 2\pi n, \quad n \in \mathbb{Z}$
Объединяем решения из обоих случаев.
Ответ: $x = \pi + 4\pi k, \quad k \in \mathbb{Z}$; $x = (-1)^n \frac{\pi}{3} + 2\pi n, \quad n \in \mathbb{Z}$.
№18.7 (с. 53)
Условие. №18.7 (с. 53)
скриншот условия

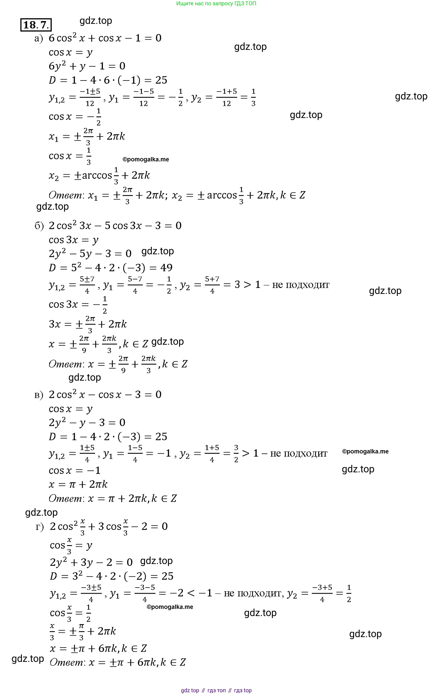
18.7 a) $6 \cos^2 x + \cos x - 1 = 0;$
б) $2 \cos^2 3x - 5 \cos 3x - 3 = 0;$
В) $2 \cos^2 x - \cos x - 3 = 0;$
Г) $2 \cos^2 \frac{x}{3} + 3 \cos \frac{x}{3} - 2 = 0.$
Решение 1. №18.7 (с. 53)

Решение 2. №18.7 (с. 53)



Решение 3. №18.7 (с. 53)

Решение 5. №18.7 (с. 53)




Решение 6. №18.7 (с. 53)
а) $6 \cos^2 x + \cos x - 1 = 0$
Это уравнение является квадратным относительно $\cos x$. Сделаем замену переменной. Пусть $t = \cos x$, при этом $|t| \le 1$.
Получим квадратное уравнение: $6t^2 + t - 1 = 0$.
Найдем дискриминант: $D = b^2 - 4ac = 1^2 - 4 \cdot 6 \cdot (-1) = 1 + 24 = 25$.
Найдем корни уравнения:
$t_1 = \frac{-b - \sqrt{D}}{2a} = \frac{-1 - 5}{2 \cdot 6} = \frac{-6}{12} = -\frac{1}{2}$
$t_2 = \frac{-b + \sqrt{D}}{2a} = \frac{-1 + 5}{2 \cdot 6} = \frac{4}{12} = \frac{1}{3}$
Оба корня удовлетворяют условию $|t| \le 1$. Сделаем обратную замену:
1) $\cos x = -\frac{1}{2}$
$x = \pm \arccos(-\frac{1}{2}) + 2\pi k = \pm (\pi - \frac{\pi}{3}) + 2\pi k = \pm \frac{2\pi}{3} + 2\pi k$, где $k \in \mathbb{Z}$.
2) $\cos x = \frac{1}{3}$
$x = \pm \arccos(\frac{1}{3}) + 2\pi n$, где $n \in \mathbb{Z}$.
Ответ: $x = \pm \frac{2\pi}{3} + 2\pi k, k \in \mathbb{Z}$; $x = \pm \arccos(\frac{1}{3}) + 2\pi n, n \in \mathbb{Z}$.
б) $2 \cos^2 3x - 5 \cos 3x - 3 = 0$
Сделаем замену переменной. Пусть $t = \cos 3x$, при этом $|t| \le 1$.
Получим квадратное уравнение: $2t^2 - 5t - 3 = 0$.
Найдем дискриминант: $D = b^2 - 4ac = (-5)^2 - 4 \cdot 2 \cdot (-3) = 25 + 24 = 49$.
Найдем корни уравнения:
$t_1 = \frac{-b - \sqrt{D}}{2a} = \frac{5 - 7}{2 \cdot 2} = \frac{-2}{4} = -\frac{1}{2}$
$t_2 = \frac{-b + \sqrt{D}}{2a} = \frac{5 + 7}{2 \cdot 2} = \frac{12}{4} = 3$
Корень $t_2 = 3$ не удовлетворяет условию $|t| \le 1$, поэтому он является посторонним.
Сделаем обратную замену для $t_1 = -\frac{1}{2}$:
$\cos 3x = -\frac{1}{2}$
$3x = \pm \arccos(-\frac{1}{2}) + 2\pi k = \pm \frac{2\pi}{3} + 2\pi k$, где $k \in \mathbb{Z}$.
Разделим обе части на 3, чтобы найти $x$:
$x = \pm \frac{2\pi}{9} + \frac{2\pi k}{3}$, где $k \in \mathbb{Z}$.
Ответ: $x = \pm \frac{2\pi}{9} + \frac{2\pi k}{3}, k \in \mathbb{Z}$.
в) $2 \cos^2 x - \cos x - 3 = 0$
Сделаем замену переменной. Пусть $t = \cos x$, при этом $|t| \le 1$.
Получим квадратное уравнение: $2t^2 - t - 3 = 0$.
Найдем дискриминант: $D = b^2 - 4ac = (-1)^2 - 4 \cdot 2 \cdot (-3) = 1 + 24 = 25$.
Найдем корни уравнения:
$t_1 = \frac{-b - \sqrt{D}}{2a} = \frac{1 - 5}{2 \cdot 2} = \frac{-4}{4} = -1$
$t_2 = \frac{-b + \sqrt{D}}{2a} = \frac{1 + 5}{2 \cdot 2} = \frac{6}{4} = \frac{3}{2}$
Корень $t_2 = \frac{3}{2} = 1.5$ не удовлетворяет условию $|t| \le 1$, поэтому он является посторонним.
Сделаем обратную замену для $t_1 = -1$:
$\cos x = -1$
Это частный случай, решение которого: $x = \pi + 2\pi k$, где $k \in \mathbb{Z}$.
Ответ: $x = \pi + 2\pi k, k \in \mathbb{Z}$.
г) $2 \cos^2 \frac{x}{3} + 3 \cos \frac{x}{3} - 2 = 0$
Сделаем замену переменной. Пусть $t = \cos \frac{x}{3}$, при этом $|t| \le 1$.
Получим квадратное уравнение: $2t^2 + 3t - 2 = 0$.
Найдем дискриминант: $D = b^2 - 4ac = 3^2 - 4 \cdot 2 \cdot (-2) = 9 + 16 = 25$.
Найдем корни уравнения:
$t_1 = \frac{-b - \sqrt{D}}{2a} = \frac{-3 - 5}{2 \cdot 2} = \frac{-8}{4} = -2$
$t_2 = \frac{-b + \sqrt{D}}{2a} = \frac{-3 + 5}{2 \cdot 2} = \frac{2}{4} = \frac{1}{2}$
Корень $t_1 = -2$ не удовлетворяет условию $|t| \le 1$, поэтому он является посторонним.
Сделаем обратную замену для $t_2 = \frac{1}{2}$:
$\cos \frac{x}{3} = \frac{1}{2}$
$\frac{x}{3} = \pm \arccos(\frac{1}{2}) + 2\pi k = \pm \frac{\pi}{3} + 2\pi k$, где $k \in \mathbb{Z}$.
Умножим обе части на 3, чтобы найти $x$:
$x = 3 \left(\pm \frac{\pi}{3} + 2\pi k\right) = \pm \pi + 6\pi k$, где $k \in \mathbb{Z}$.
Ответ: $x = \pm \pi + 6\pi k, k \in \mathbb{Z}$.
№18.3 (с. 53)
Условие. №18.3 (с. 53)
скриншот условия

18.3 a) $2 \cos \left(\frac{x}{2} - \frac{\pi}{6}\right) = \sqrt{3}$;
в) $2 \sin \left(3x - \frac{\pi}{4}\right) = -\sqrt{2}$;
б) $\sqrt{3} \operatorname{tg} \left(\frac{x}{3} + \frac{\pi}{6}\right) = 3$;
г) $\sin \left(\frac{x}{2} - \frac{\pi}{6}\right) + 1 = 0$.
Решение 1. №18.3 (с. 53)

Решение 2. №18.3 (с. 53)



Решение 3. №18.3 (с. 53)

Решение 5. №18.3 (с. 53)



Решение 6. №18.3 (с. 53)
а) $2 \cos\left(\frac{x}{2} - \frac{\pi}{6}\right) = \sqrt{3}$
Сначала разделим обе части уравнения на 2, чтобы выделить косинус:
$\cos\left(\frac{x}{2} - \frac{\pi}{6}\right) = \frac{\sqrt{3}}{2}$
Это простейшее тригонометрическое уравнение вида $\cos(t) = a$. Его общее решение: $t = \pm \arccos(a) + 2\pi n$, где $n \in \mathbb{Z}$.
В нашем случае $t = \frac{x}{2} - \frac{\pi}{6}$ и $a = \frac{\sqrt{3}}{2}$. Значение арккосинуса $\arccos\left(\frac{\sqrt{3}}{2}\right) = \frac{\pi}{6}$.
Подставляем значения в общую формулу:
$\frac{x}{2} - \frac{\pi}{6} = \pm \frac{\pi}{6} + 2\pi n$
Теперь выразим $x$. Для этого перенесем $-\frac{\pi}{6}$ в правую часть:
$\frac{x}{2} = \frac{\pi}{6} \pm \frac{\pi}{6} + 2\pi n$
Рассмотрим два возможных случая:
1. Используем знак "+":
$\frac{x}{2} = \frac{\pi}{6} + \frac{\pi}{6} + 2\pi n = \frac{2\pi}{6} + 2\pi n = \frac{\pi}{3} + 2\pi n$
Умножим обе части на 2, чтобы найти $x$:
$x = 2 \cdot \left(\frac{\pi}{3} + 2\pi n\right) = \frac{2\pi}{3} + 4\pi n$
2. Используем знак "-":
$\frac{x}{2} = \frac{\pi}{6} - \frac{\pi}{6} + 2\pi n = 0 + 2\pi n = 2\pi n$
Умножим обе части на 2:
$x = 4\pi n$
Таким образом, мы получили две серии решений.
Ответ: $x = \frac{2\pi}{3} + 4\pi n, \ x = 4\pi n, \ n \in \mathbb{Z}$.
б) $\sqrt{3} \tg\left(\frac{x}{3} + \frac{\pi}{6}\right) = 3$
Разделим обе части уравнения на $\sqrt{3}$:
$\tg\left(\frac{x}{3} + \frac{\pi}{6}\right) = \frac{3}{\sqrt{3}}$
Упростим правую часть, избавившись от иррациональности в знаменателе:
$\frac{3}{\sqrt{3}} = \frac{3 \cdot \sqrt{3}}{\sqrt{3} \cdot \sqrt{3}} = \frac{3\sqrt{3}}{3} = \sqrt{3}$
Получаем уравнение:
$\tg\left(\frac{x}{3} + \frac{\pi}{6}\right) = \sqrt{3}$
Общее решение уравнения $\tg(t) = a$ имеет вид $t = \arctan(a) + \pi n$, где $n \in \mathbb{Z}$.
Здесь $t = \frac{x}{3} + \frac{\pi}{6}$ и $a = \sqrt{3}$. Значение арктангенса $\arctan(\sqrt{3}) = \frac{\pi}{3}$.
Подставляем в формулу:
$\frac{x}{3} + \frac{\pi}{6} = \frac{\pi}{3} + \pi n$
Выразим $x$:
$\frac{x}{3} = \frac{\pi}{3} - \frac{\pi}{6} + \pi n = \frac{2\pi - \pi}{6} + \pi n = \frac{\pi}{6} + \pi n$
Умножим обе части на 3:
$x = 3 \cdot \left(\frac{\pi}{6} + \pi n\right) = \frac{3\pi}{6} + 3\pi n = \frac{\pi}{2} + 3\pi n$
Ответ: $x = \frac{\pi}{2} + 3\pi n, \ n \in \mathbb{Z}$.
в) $2 \sin\left(3x - \frac{\pi}{4}\right) = -\sqrt{2}$
Разделим обе части уравнения на 2:
$\sin\left(3x - \frac{\pi}{4}\right) = -\frac{\sqrt{2}}{2}$
Общее решение уравнения $\sin(t) = a$ можно представить в виде совокупности двух серий: $t = \arcsin(a) + 2\pi k$ и $t = \pi - \arcsin(a) + 2\pi k$, где $k \in \mathbb{Z}$.
В нашем случае $t = 3x - \frac{\pi}{4}$ и $a = -\frac{\sqrt{2}}{2}$. Значение арксинуса $\arcsin\left(-\frac{\sqrt{2}}{2}\right) = -\frac{\pi}{4}$.
Запишем совокупность для нашего уравнения:
$\left[ \begin{gathered} 3x - \frac{\pi}{4} = -\frac{\pi}{4} + 2\pi k \\ 3x - \frac{\pi}{4} = \pi - \left(-\frac{\pi}{4}\right) + 2\pi k \end{gathered} \right.$
Решим каждое уравнение отдельно.
1. Первое уравнение:
$3x - \frac{\pi}{4} = -\frac{\pi}{4} + 2\pi k$
$3x = 2\pi k$
$x = \frac{2\pi k}{3}$
2. Второе уравнение:
$3x - \frac{\pi}{4} = \pi + \frac{\pi}{4} + 2\pi k$
$3x - \frac{\pi}{4} = \frac{5\pi}{4} + 2\pi k$
$3x = \frac{5\pi}{4} + \frac{\pi}{4} + 2\pi k = \frac{6\pi}{4} + 2\pi k = \frac{3\pi}{2} + 2\pi k$
$x = \frac{1}{3} \left(\frac{3\pi}{2} + 2\pi k\right) = \frac{\pi}{2} + \frac{2\pi k}{3}$
Объединяем две серии решений.
Ответ: $x = \frac{2\pi k}{3}, \ x = \frac{\pi}{2} + \frac{2\pi k}{3}, \ k \in \mathbb{Z}$.
г) $\sin\left(\frac{x}{2} - \frac{\pi}{6}\right) + 1 = 0$
Перенесем 1 в правую часть уравнения:
$\sin\left(\frac{x}{2} - \frac{\pi}{6}\right) = -1$
Это частный случай уравнения $\sin(t) = a$. Решение уравнения $\sin(t)=-1$ имеет вид $t = -\frac{\pi}{2} + 2\pi n$, где $n \in \mathbb{Z}$.
В нашем случае $t = \frac{x}{2} - \frac{\pi}{6}$.
Приравниваем аргумент синуса к решению:
$\frac{x}{2} - \frac{\pi}{6} = -\frac{\pi}{2} + 2\pi n$
Теперь выразим $x$:
$\frac{x}{2} = \frac{\pi}{6} - \frac{\pi}{2} + 2\pi n$
Приводим дроби к общему знаменателю:
$\frac{x}{2} = \frac{\pi - 3\pi}{6} + 2\pi n = -\frac{2\pi}{6} + 2\pi n = -\frac{\pi}{3} + 2\pi n$
Умножим обе части на 2:
$x = 2 \cdot \left(-\frac{\pi}{3} + 2\pi n\right) = -\frac{2\pi}{3} + 4\pi n$
Ответ: $x = -\frac{2\pi}{3} + 4\pi n, \ n \in \mathbb{Z}$.
№18.8 (с. 53)
Условие. №18.8 (с. 53)
скриншот условия

18.8 a) $2\sin^2 x + 3\cos x = 0;$
б) $8\sin^2 2x + \cos 2x + 1 = 0;$
В) $5\cos^2 x + 6\sin x - 6 = 0;$
Г) $4\sin 3x + \cos^2 3x = 4.$
Решение 1. №18.8 (с. 53)

Решение 2. №18.8 (с. 53)



Решение 3. №18.8 (с. 53)

Решение 5. №18.8 (с. 53)




Решение 6. №18.8 (с. 53)
а) $2\sin^2 x + 3\cos x = 0$
Чтобы решить это уравнение, приведем его к одной тригонометрической функции. Используем основное тригонометрическое тождество $\sin^2 x + \cos^2 x = 1$, из которого следует, что $\sin^2 x = 1 - \cos^2 x$.
Подставим это выражение в исходное уравнение:
$2(1 - \cos^2 x) + 3\cos x = 0$
Раскроем скобки и приведем подобные слагаемые:
$2 - 2\cos^2 x + 3\cos x = 0$
Умножим уравнение на -1 для удобства:
$2\cos^2 x - 3\cos x - 2 = 0$
Это квадратное уравнение относительно $\cos x$. Сделаем замену переменной: пусть $t = \cos x$. Так как область значений функции косинус от -1 до 1, то $|t| \le 1$.
$2t^2 - 3t - 2 = 0$
Найдем дискриминант: $D = b^2 - 4ac = (-3)^2 - 4 \cdot 2 \cdot (-2) = 9 + 16 = 25$.
Корни квадратного уравнения:
$t_1 = \frac{-b + \sqrt{D}}{2a} = \frac{3 + 5}{4} = 2$
$t_2 = \frac{-b - \sqrt{D}}{2a} = \frac{3 - 5}{4} = -\frac{1}{2}$
Выполним обратную замену. Корень $t_1 = 2$ не удовлетворяет условию $|t| \le 1$, поэтому уравнение $\cos x = 2$ не имеет решений.
Для второго корня $t_2 = -\frac{1}{2}$ имеем:
$\cos x = -\frac{1}{2}$
Решения этого уравнения: $x = \pm \arccos(-\frac{1}{2}) + 2\pi n$, где $n \in \mathbb{Z}$.
Так как $\arccos(-\frac{1}{2}) = \frac{2\pi}{3}$, получаем:
$x = \pm \frac{2\pi}{3} + 2\pi n, n \in \mathbb{Z}$.
Ответ: $x = \pm \frac{2\pi}{3} + 2\pi n, n \in \mathbb{Z}$.
б) $8\sin^2 2x + \cos 2x + 1 = 0$
Используем основное тригонометрическое тождество для угла $2x$: $\sin^2 2x = 1 - \cos^2 2x$.
Подставим в уравнение:
$8(1 - \cos^2 2x) + \cos 2x + 1 = 0$
$8 - 8\cos^2 2x + \cos 2x + 1 = 0$
$-8\cos^2 2x + \cos 2x + 9 = 0$
$8\cos^2 2x - \cos 2x - 9 = 0$
Сделаем замену $t = \cos 2x$, где $|t| \le 1$.
$8t^2 - t - 9 = 0$
Найдем дискриминант: $D = (-1)^2 - 4 \cdot 8 \cdot (-9) = 1 + 288 = 289 = 17^2$.
Корни уравнения:
$t_1 = \frac{1 + 17}{16} = \frac{18}{16} = \frac{9}{8}$
$t_2 = \frac{1 - 17}{16} = \frac{-16}{16} = -1$
Корень $t_1 = \frac{9}{8}$ не подходит, так как $\frac{9}{8} > 1$.
Рассмотрим второй корень $t_2 = -1$:
$\cos 2x = -1$
Это частный случай, решения которого: $2x = \pi + 2\pi n, n \in \mathbb{Z}$.
Разделим обе части на 2, чтобы найти $x$:
$x = \frac{\pi}{2} + \pi n, n \in \mathbb{Z}$.
Ответ: $x = \frac{\pi}{2} + \pi n, n \in \mathbb{Z}$.
в) $5\cos^2 x + 6\sin x - 6 = 0$
Используем тождество $\cos^2 x = 1 - \sin^2 x$, чтобы привести уравнение к функции синуса.
$5(1 - \sin^2 x) + 6\sin x - 6 = 0$
$5 - 5\sin^2 x + 6\sin x - 6 = 0$
$-5\sin^2 x + 6\sin x - 1 = 0$
$5\sin^2 x - 6\sin x + 1 = 0$
Сделаем замену $t = \sin x$, где $|t| \le 1$.
$5t^2 - 6t + 1 = 0$
Найдем дискриминант: $D = (-6)^2 - 4 \cdot 5 \cdot 1 = 36 - 20 = 16 = 4^2$.
Корни уравнения:
$t_1 = \frac{6 + 4}{10} = \frac{10}{10} = 1$
$t_2 = \frac{6 - 4}{10} = \frac{2}{10} = \frac{1}{5}$
Оба корня удовлетворяют условию $|t| \le 1$. Выполним обратную замену для каждого корня.
1) $\sin x = 1$. Это частный случай, $x = \frac{\pi}{2} + 2\pi n, n \in \mathbb{Z}$.
2) $\sin x = \frac{1}{5}$. Общее решение: $x = (-1)^k \arcsin(\frac{1}{5}) + \pi k, k \in \mathbb{Z}$.
Ответ: $x = \frac{\pi}{2} + 2\pi n, n \in \mathbb{Z}$; $x = (-1)^k \arcsin(\frac{1}{5}) + \pi k, k \in \mathbb{Z}$.
г) $4\sin 3x + \cos^2 3x = 4$
Используем тождество $\cos^2 3x = 1 - \sin^2 3x$.
$4\sin 3x + 1 - \sin^2 3x = 4$
$-\sin^2 3x + 4\sin 3x - 3 = 0$
$\sin^2 3x - 4\sin 3x + 3 = 0$
Сделаем замену $t = \sin 3x$, где $|t| \le 1$.
$t^2 - 4t + 3 = 0$
Решим квадратное уравнение. По теореме Виета (или через дискриминант) находим корни:
$D = (-4)^2 - 4 \cdot 1 \cdot 3 = 16 - 12 = 4 = 2^2$.
$t_1 = \frac{4 + 2}{2} = 3$
$t_2 = \frac{4 - 2}{2} = 1$
Корень $t_1 = 3$ не подходит, так как $3 > 1$.
Рассмотрим второй корень $t_2 = 1$:
$\sin 3x = 1$
Это частный случай, решение которого: $3x = \frac{\pi}{2} + 2\pi n, n \in \mathbb{Z}$.
Разделим обе части на 3:
$x = \frac{\pi}{6} + \frac{2\pi n}{3}, n \in \mathbb{Z}$.
Ответ: $x = \frac{\pi}{6} + \frac{2\pi n}{3}, n \in \mathbb{Z}$.
№18.4 (с. 53)
Условие. №18.4 (с. 53)
скриншот условия

18.4 a) $\cos\left(\frac{\pi}{6} - 2x\right) = -1;$
б) $\text{tg}\left(\frac{\pi}{4} - \frac{x}{2}\right) = -1;$
в) $2 \sin\left(\frac{\pi}{3} - \frac{x}{4}\right) = \sqrt{3};$
г) $2 \cos\left(\frac{\pi}{4} - 3x\right) = \sqrt{2}.$
Решение 1. №18.4 (с. 53)

Решение 2. №18.4 (с. 53)


Решение 3. №18.4 (с. 53)

Решение 5. №18.4 (с. 53)



Решение 6. №18.4 (с. 53)
а) Решим уравнение $ \cos(\frac{\pi}{6} - 2x) = -1 $.
Это частный случай тригонометрического уравнения. Значение косинуса равно -1, когда его аргумент равен $ \pi + 2\pi k $, где $ k $ — любое целое число ($ k \in \mathbb{Z} $).
Следовательно, имеем уравнение:
$ \frac{\pi}{6} - 2x = \pi + 2\pi k $
Выразим из него $ x $:
$ -2x = \pi - \frac{\pi}{6} + 2\pi k $
$ -2x = \frac{6\pi - \pi}{6} + 2\pi k $
$ -2x = \frac{5\pi}{6} + 2\pi k $
Разделим обе части на -2:
$ x = -\frac{5\pi}{12} - \pi k $
Поскольку $ k $ — любое целое число, мы можем заменить $ -k $ на $ n $ ($ n \in \mathbb{Z} $) для удобства записи.
$ x = -\frac{5\pi}{12} + \pi n $
Ответ: $ x = -\frac{5\pi}{12} + \pi n, n \in \mathbb{Z} $.
б) Решим уравнение $ \text{tg}(\frac{\pi}{4} - \frac{x}{2}) = -1 $.
Значение тангенса равно -1, когда его аргумент равен $ -\frac{\pi}{4} + \pi k $, где $ k \in \mathbb{Z} $.
$ \frac{\pi}{4} - \frac{x}{2} = -\frac{\pi}{4} + \pi k $
Выразим $ x $:
$ -\frac{x}{2} = -\frac{\pi}{4} - \frac{\pi}{4} + \pi k $
$ -\frac{x}{2} = -\frac{2\pi}{4} + \pi k $
$ -\frac{x}{2} = -\frac{\pi}{2} + \pi k $
Умножим обе части на -2:
$ x = \pi - 2\pi k $
Заменив $ -k $ на $ n $ ($ n \in \mathbb{Z} $), получаем:
$ x = \pi + 2\pi n $
Ответ: $ x = \pi + 2\pi n, n \in \mathbb{Z} $.
в) Решим уравнение $ 2\sin(\frac{\pi}{3} - \frac{x}{4}) = \sqrt{3} $.
Сначала разделим обе части на 2:
$ \sin(\frac{\pi}{3} - \frac{x}{4}) = \frac{\sqrt{3}}{2} $
Общее решение уравнения $ \sin(y) = a $ имеет вид $ y = (-1)^k \arcsin(a) + \pi k $, где $ k \in \mathbb{Z} $.
Для нашего случая $ \arcsin(\frac{\sqrt{3}}{2}) = \frac{\pi}{3} $.
$ \frac{\pi}{3} - \frac{x}{4} = (-1)^k \frac{\pi}{3} + \pi k $
Рассмотрим два случая в зависимости от четности $ k $:
1. Если $ k $ — четное число, т.е. $ k = 2n $ ($ n \in \mathbb{Z} $), то $ (-1)^{2n} = 1 $.
$ \frac{\pi}{3} - \frac{x}{4} = \frac{\pi}{3} + 2\pi n $
$ -\frac{x}{4} = 2\pi n $
$ x = -8\pi n $. Можно также записать как $ x = 8\pi m, m \in \mathbb{Z} $.
2. Если $ k $ — нечетное число, т.е. $ k = 2n + 1 $ ($ n \in \mathbb{Z} $), то $ (-1)^{2n+1} = -1 $.
$ \frac{\pi}{3} - \frac{x}{4} = -\frac{\pi}{3} + \pi(2n+1) $
$ \frac{\pi}{3} - \frac{x}{4} = -\frac{\pi}{3} + 2\pi n + \pi $
$ \frac{\pi}{3} - \frac{x}{4} = \frac{2\pi}{3} + 2\pi n $
$ -\frac{x}{4} = \frac{2\pi}{3} - \frac{\pi}{3} + 2\pi n $
$ -\frac{x}{4} = \frac{\pi}{3} + 2\pi n $
$ x = -\frac{4\pi}{3} - 8\pi n $
Ответ: $ x = -8\pi n $; $ x = -\frac{4\pi}{3} - 8\pi n $, где $ n \in \mathbb{Z} $.
г) Решим уравнение $ 2\cos(\frac{\pi}{4} - 3x) = \sqrt{2} $.
Разделим обе части на 2:
$ \cos(\frac{\pi}{4} - 3x) = \frac{\sqrt{2}}{2} $
Используя свойство четности косинуса $ \cos(-y) = \cos(y) $, перепишем уравнение: $ \cos(3x - \frac{\pi}{4}) = \frac{\sqrt{2}}{2} $.
Общее решение уравнения $ \cos(y) = a $ имеет вид $ y = \pm\arccos(a) + 2\pi k $, где $ k \in \mathbb{Z} $.
Для нашего случая $ \arccos(\frac{\sqrt{2}}{2}) = \frac{\pi}{4} $.
$ 3x - \frac{\pi}{4} = \pm\frac{\pi}{4} + 2\pi k $
Разобьем решение на два случая:
1. Со знаком «+»:
$ 3x - \frac{\pi}{4} = \frac{\pi}{4} + 2\pi k $
$ 3x = \frac{\pi}{4} + \frac{\pi}{4} + 2\pi k $
$ 3x = \frac{\pi}{2} + 2\pi k $
$ x = \frac{\pi}{6} + \frac{2\pi k}{3} $
2. Со знаком «-»:
$ 3x - \frac{\pi}{4} = -\frac{\pi}{4} + 2\pi k $
$ 3x = 2\pi k $
$ x = \frac{2\pi k}{3} $
Ответ: $ x = \frac{2\pi k}{3} $; $ x = \frac{\pi}{6} + \frac{2\pi k}{3} $, где $ k \in \mathbb{Z} $.
№18.9 (с. 53)
Условие. №18.9 (с. 53)
скриншот условия

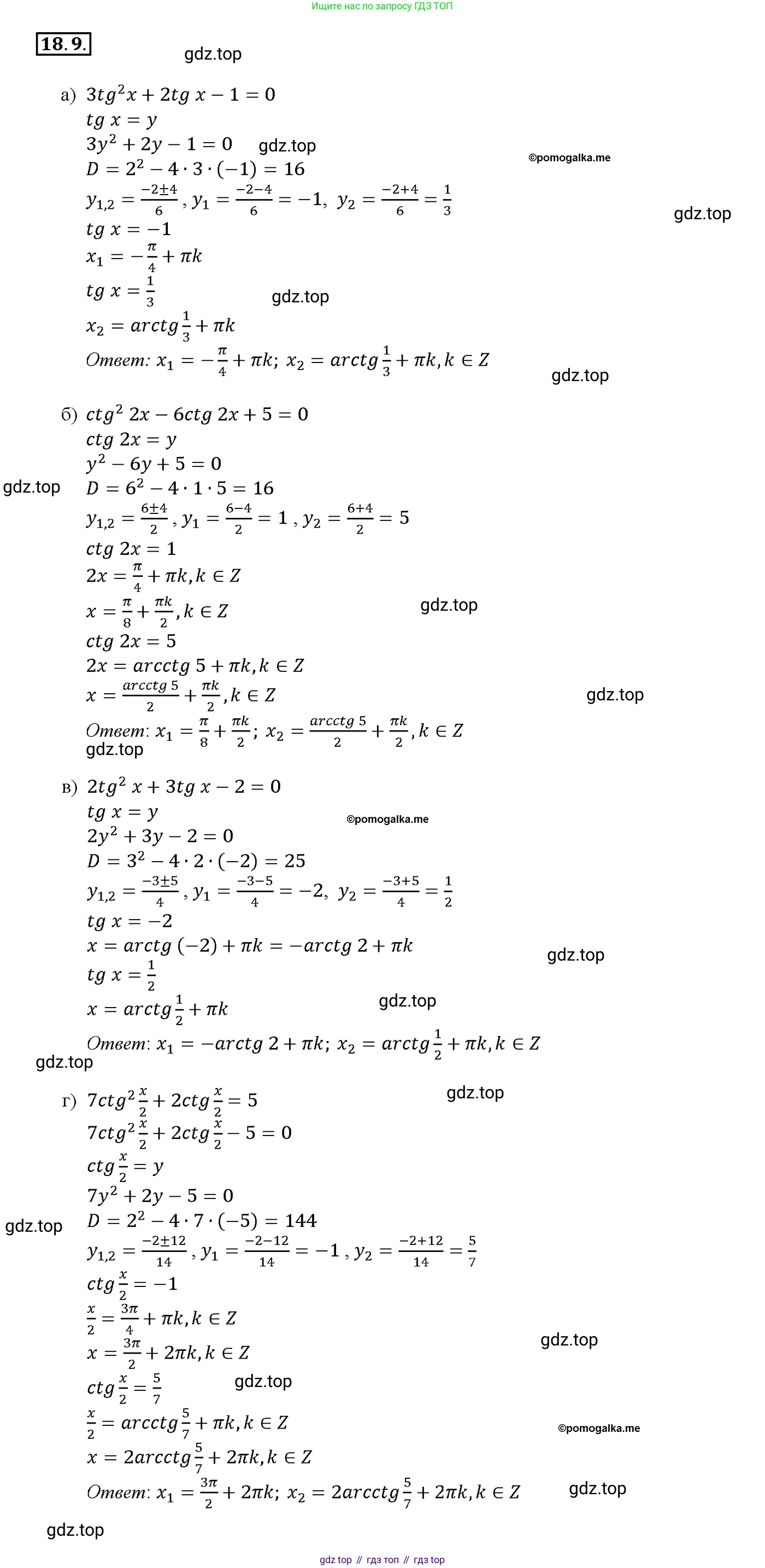
18.9 a) $3 \text{tg}^2 x + 2 \text{tg} x - 1 = 0;$
б) $\text{ctg}^2 2x - 6 \text{ctg} 2x + 5 = 0;$
В) $2 \text{tg}^2 x + 3 \text{tg} x - 2 = 0;$
Г) $7 \text{ctg}^2 \frac{x}{2} + 2 \text{ctg} \frac{x}{2} = 5.$
Решение 1. №18.9 (с. 53)

Решение 2. №18.9 (с. 53)



Решение 3. №18.9 (с. 53)

Решение 5. №18.9 (с. 53)




Решение 6. №18.9 (с. 53)
Исходное уравнение: $3\operatorname{tg}^2x + 2\operatorname{tg}x - 1 = 0$.
Это уравнение является квадратным относительно $\operatorname{tg}x$. Для его решения введем замену: пусть $y = \operatorname{tg}x$. Тогда уравнение можно переписать в виде:
$3y^2 + 2y - 1 = 0$.
Найдем корни этого квадратного уравнения с помощью дискриминанта.
Дискриминант: $D = b^2 - 4ac = 2^2 - 4 \cdot 3 \cdot (-1) = 4 + 12 = 16$.
Корни уравнения для $y$:
$y_1 = \frac{-b - \sqrt{D}}{2a} = \frac{-2 - \sqrt{16}}{2 \cdot 3} = \frac{-2 - 4}{6} = \frac{-6}{6} = -1$.
$y_2 = \frac{-b + \sqrt{D}}{2a} = \frac{-2 + \sqrt{16}}{2 \cdot 3} = \frac{-2 + 4}{6} = \frac{2}{6} = \frac{1}{3}$.
Теперь выполним обратную замену, чтобы найти $x$.
1) $\operatorname{tg}x = -1$.
Решением этого простейшего тригонометрического уравнения является серия корней:
$x = \operatorname{arctg}(-1) + \pi n$, где $n \in \mathbb{Z}$.
$x = -\frac{\pi}{4} + \pi n$, где $n \in \mathbb{Z}$.
2) $\operatorname{tg}x = \frac{1}{3}$.
Решением этого уравнения является серия корней:
$x = \operatorname{arctg}\left(\frac{1}{3}\right) + \pi k$, где $k \in \mathbb{Z}$.
Ответ: $x = -\frac{\pi}{4} + \pi n, \quad x = \operatorname{arctg}\left(\frac{1}{3}\right) + \pi k, \quad n, k \in \mathbb{Z}$.
Исходное уравнение: $\operatorname{ctg}^2{2x} - 6\operatorname{ctg}{2x} + 5 = 0$.
Это квадратное уравнение относительно $\operatorname{ctg}{2x}$. Введем замену: пусть $y = \operatorname{ctg}{2x}$. Уравнение примет вид:
$y^2 - 6y + 5 = 0$.
Это приведенное квадратное уравнение, его корни легко найти по теореме Виета: $y_1 + y_2 = 6$ и $y_1 \cdot y_2 = 5$. Отсюда $y_1 = 1$, $y_2 = 5$.
Выполним обратную замену.
1) $\operatorname{ctg}{2x} = 1$.
$2x = \operatorname{arcctg}(1) + \pi n$, где $n \in \mathbb{Z}$.
$2x = \frac{\pi}{4} + \pi n$.
$x = \frac{\pi}{8} + \frac{\pi n}{2}$, где $n \in \mathbb{Z}$.
2) $\operatorname{ctg}{2x} = 5$.
$2x = \operatorname{arcctg}(5) + \pi k$, где $k \in \mathbb{Z}$.
$x = \frac{1}{2}\operatorname{arcctg}(5) + \frac{\pi k}{2}$, где $k \in \mathbb{Z}$.
Ответ: $x = \frac{\pi}{8} + \frac{\pi n}{2}, \quad x = \frac{1}{2}\operatorname{arcctg}(5) + \frac{\pi k}{2}, \quad n, k \in \mathbb{Z}$.
Исходное уравнение: $2\operatorname{tg}^2x + 3\operatorname{tg}x - 2 = 0$.
Это квадратное уравнение относительно $\operatorname{tg}x$. Пусть $y = \operatorname{tg}x$.
$2y^2 + 3y - 2 = 0$.
Найдем дискриминант: $D = b^2 - 4ac = 3^2 - 4 \cdot 2 \cdot (-2) = 9 + 16 = 25$.
Корни уравнения для $y$:
$y_1 = \frac{-3 - \sqrt{25}}{2 \cdot 2} = \frac{-3 - 5}{4} = \frac{-8}{4} = -2$.
$y_2 = \frac{-3 + \sqrt{25}}{2 \cdot 2} = \frac{-3 + 5}{4} = \frac{2}{4} = \frac{1}{2}$.
Возвращаемся к переменной $x$.
1) $\operatorname{tg}x = -2$.
$x = \operatorname{arctg}(-2) + \pi n = -\operatorname{arctg}(2) + \pi n$, где $n \in \mathbb{Z}$.
2) $\operatorname{tg}x = \frac{1}{2}$.
$x = \operatorname{arctg}\left(\frac{1}{2}\right) + \pi k$, где $k \in \mathbb{Z}$.
Ответ: $x = -\operatorname{arctg}(2) + \pi n, \quad x = \operatorname{arctg}\left(\frac{1}{2}\right) + \pi k, \quad n, k \in \mathbb{Z}$.
Исходное уравнение: $7\operatorname{ctg}^2\frac{x}{2} + 2\operatorname{ctg}\frac{x}{2} = 5$.
Перенесем все члены в левую часть, чтобы получить стандартный вид квадратного уравнения:
$7\operatorname{ctg}^2\frac{x}{2} + 2\operatorname{ctg}\frac{x}{2} - 5 = 0$.
Это квадратное уравнение относительно $\operatorname{ctg}\frac{x}{2}$. Пусть $y = \operatorname{ctg}\frac{x}{2}$.
$7y^2 + 2y - 5 = 0$.
Найдем дискриминант: $D = b^2 - 4ac = 2^2 - 4 \cdot 7 \cdot (-5) = 4 + 140 = 144$.
Корни уравнения для $y$:
$y_1 = \frac{-2 - \sqrt{144}}{2 \cdot 7} = \frac{-2 - 12}{14} = \frac{-14}{14} = -1$.
$y_2 = \frac{-2 + \sqrt{144}}{2 \cdot 7} = \frac{-2 + 12}{14} = \frac{10}{14} = \frac{5}{7}$.
Выполним обратную замену.
1) $\operatorname{ctg}\frac{x}{2} = -1$.
$\frac{x}{2} = \operatorname{arcctg}(-1) + \pi n$, где $n \in \mathbb{Z}$.
$\frac{x}{2} = \frac{3\pi}{4} + \pi n$.
$x = 2 \cdot \left(\frac{3\pi}{4} + \pi n\right) = \frac{3\pi}{2} + 2\pi n$, где $n \in \mathbb{Z}$.
2) $\operatorname{ctg}\frac{x}{2} = \frac{5}{7}$.
$\frac{x}{2} = \operatorname{arcctg}\left(\frac{5}{7}\right) + \pi k$, где $k \in \mathbb{Z}$.
$x = 2\operatorname{arcctg}\left(\frac{5}{7}\right) + 2\pi k$, где $k \in \mathbb{Z}$.
Ответ: $x = \frac{3\pi}{2} + 2\pi n, \quad x = 2\operatorname{arcctg}\left(\frac{5}{7}\right) + 2\pi k, \quad n, k \in \mathbb{Z}$.
Помогло решение? Оставьте отзыв в комментариях ниже.